Agronomía Costarricense 43(1): 135-148. ISSN:0377-9424 / 2019

www.mag.go.cr/rev agr/index.html www.cia.ucr.ac.cr

Technical note

SITE CHARACTERISTICS THAT DETERMINE THE GROWTH
AND PRODUCTIVITY OF TEAK (
Tectona grandis L. f.)
OF YOUNG PLANTATIONS IN GUATEMALA

Edwin Vaides-López1/*, Alfredo Alvarado-Hernández**, Roberto Moya-Fernández*

Keywords: Teak; Tectona grandis; site index; site characteristics; Guatemala; Central America.

Palabras clave: Teca; Tectona grandis; índice de sitio; características del sitio; Guatemala; Centro América.

Recibido: 22/02/18 Aceptado: 31/07/18

RESUMEN

Características de sitio que determinan el crecimiento y la productividad de teca (Tectona grandis L.f.) de plantaciones jóvenes en Guatemala. El estudio se realizó en plantaciones jóvenes con edades entre 2,6 y 7 años ubicadas en los departamentos de El Petén, Alta Verapaz, Izabal, Zacapa, Suchitepéquez, Retalhuleu y Escuintla. Se evaluaron diferentes calidades de sitio y de productividad, basada en el incremento medio anual en altura y volumen total. En todos los sitios evaluados, se determinaron las características fisiográficas, climáticas, de suelo y silviculturales que más influyen en el crecimiento y productividad de la especie. MAI en altura total (MAIHTOT) y MAI Volumen total (MAIVOL) fue correlacionado con todas las variables dependientes. El análisis se hizo mediante gráficos para plotear y separar los cuadrantes en niveles críticos. Se encontró que los sitios con mejor crecimiento y productividad se encuentran a elevaciones menores a 220 msnm, con pendientes <40%, en paisajes que van de ondulados a planos, con poca o mediana pedregosidad externa y que no presentan problemas de inundación. Estos sitios presentan una temperatura media anual cercana a 26ºC, precipitación promedio anual entre 1900-2850 mm, pH del suelo mayor a 5,5, porcentaje de saturación de bases >43% en el horizonte superficial (0 a 20 cm) y terrenos con ninguna o poca compactación. Para sitios con pH <5,5 en el mismo horizonte, los mejores valores de crecimiento y productividad se observaron en suelos con valores <5% de saturación de acidez y >62% de saturación de calcio.

ABSTRACT

The study was conducted on teak plantations between 2.6 and 7 years of age. Site properties were evaluated around Guatemala for productivity, based on the average annual height and total volume increase. A total of 113 permanent monitoring plots (PMP) from the departments of El Petén, Alta Verapaz, Izabal, Zacapa, Suchitepéquez, Retalhuleu and Escuintla were studied. Physiographic, climatic, soil, and silvicultural characteristics which influence the growth and productivity for this species were also determined. MAI in total height (MAITOTH) and MAI in total volume (MAIVOL) was correlated with all dependent variables. The analysis was carried out using graphics by scattering plots and separation of quadrants to define critical levels. The sites with greater growth and productivity were found at elevations of less than 220 m.a.s.l., on slopes of less than 40%, landscapes flat to hilly, low to medium rocky surface, and non-flooded and well-drained areas. These sites also have an average annual temperature of around 26ºC, 1900-2850 mm average annual rainfall, soil pH greater than 5.5, base saturation percentage greater than 43% in the top soil (0 to 20 cm), and land with little or no compaction. On sites with a pH <5.5 in the same layer, the best growth and productivity values were observed on soil with acidity saturation <5% and soil calcium saturation >62%.

1 Autor para correspondencia. Correo electrónico: eevaides@correo.url.edu.gt

* Universidad de Rafael Landívar, Alta Verapaz, Guatemala.

** Universidad de Costa Rica, San José, Costa Rica.

INTRODUCTION

Teak is planted extensively outside its natural distribution area; only in Latin America between 150 000-200 000 ha of plantations of this species by the year 2000 (Ugalde 2003) and by 2010 around 278 000 ha is estimated (Kollert & Kleine 2017). In Central America by the year 2000 about 76 000 ha of teak had been planted (FAO 2002), and it is estimated that by 2010 there were about 115 000 ha (Kollert & Kleine 2017). These plantations are considered important for the forestry sector since the products of silvicultural thinning are retailed in international markets (Moya 2002). De Camino et al. (2002) estimated that in Central America there was a potential to plant no less than 100 000 ha, of which 25 percent are located in Guatemala, 25 percent in Nicaragua, 20 percent in Costa Rica, 15 percent in El Salvador, and 15 percent in Panama.

The increased interest in planting this species for production purposes in the region occurs without having sufficient local information on growth and productivity; although in countries like Guatemala, it has a growing demand as a priority species promoted in reforestation projects among different forest incentives programs of the Instituto Nacional de Bosques (INAB) [National Forestry Institute] (consultation in INAB office in 2017). For the Guatemalan Forest Action Plan (PAFG 2002) forest plantations have been booming with these programs, highlighting that a little over 17% of the total surface is planted with teak. By 2010, a teak-planted area of 28 000 ha in Guatemala (Kollert & Cherubini 2012) was reported.

Teak is planted for commercial purposes in the warm tropics in areas of less than 1000 m.a.s.l. (Briscoe 1995), height which is considered by Chávez & Fonseca (1991) for Central America as one of the limiting factors for the growth of the species. Table 1 summarizes the different variables that have been evaluated in teak plantations in Central America and that have some relation with the growth and productivity of this species, which were important to define the methodology of this study.

Table 1. Summary of physiographic, climatic and soil variables that have been evaluated for site characterization in teak plantations of Central America.

Different types of variables

Reference

Physiographic

Climate

Soil

Slope

Soil depth and compaction

Drainage

Calcium and magnesium

Chávez and Fonseca (1991)

Drainage

Hernández et al. (1993)

Topographical position

Precipitation

Water deficit

Soil depth

Calcium and Iron

Vásquez and Ugalde (1994)

Temperature

Water deficit

Compaction

Calcium

Vallejos (1996)

Slope Landscape

Precipitation

Temperature

Water deficit

Montero et al. (2001)

Calcium and acidity saturation

Mollinedo (2003)

Calcium and acidity saturation

Alvarado and Fallas (2004)

Slope, elevation

Precipitation

Thiele (2008)

Soil depth and compaction

Arias et al. (2012)

Phosphorus (P)

Alvarado and Mata (2013)

The overall objective of this study was to identify site characteristics such as physiographic, climatic, soil and plantation management that influences the growth and productivity of Tectona grandis in reforestation projects established in various regions of Guatemala.

MATERIALS AND METHODS

The evaluation of teak plantations of ages between 2.7 and 7.0 years in Guatemala was carried out in the forest regions: II (Alta and Baja Verapaz), III (Northeast), VIII (El Petén) and IX (South Coast) in an area of 2211 ha. Site information was collected as composed samples in a network of Permanent Monitoring Plots (PMP) established in teak plantations benefited of the INAB Forest Incentive Program. At each plot, information was collected observing physiographic variables, climatic data, in addition to taking soil samples at depths of 0-20 cm and 20-40 cm.

Sample size and analyzed variables

The number of plots to be assessed was established based on the possibility of having the complete fertility analysis of 148 soil samples distributed in the area planted in the forest regions. A total of 113 PMP were assessed, collecting 74 soil samples at depths of 0-20 and 20-40 cm, from 37 farms that presented high and low site growth. Each experimental unit consisted of a PMP, taking the age of the plantation and the dominant height of the trees as a reference and differentiating the sites with low and high growth in each lot of the plantation. If no PMP were established in these areas, they were then established. The shape of the plots is rectangular to facilitate the location, demarcation and sense of measurement of the trees in consecutive measurements in the monitoring. The size of each PMP varied from 500 to 1000 m2 according to the network of plots established by INAB in each of the projects.

At the time of the measurement of each PPM, the previous use of the soil, fertilization of the plantation, cleaning, shoot removal, thinning, pruning, and pest and disease control were evaluated. The variables evaluated by region were segregated by physiographic conditions, climate, soil and silvicultural practices. Within the physiographic variables the following were evaluated, elevation above sea level, dominant slope, landscape type, flooding risk, surface stoniness, suffered erosion, appearance or slope exposure, topographic position and surface drainage.

As climatic variables the following subvariables were considered: mean annual precipitation, mean annual temperature and hydric deficit at 100 mm and 50 mm, defining water deficit as the number of months where precipitation was less than the indicated values. It is important to mention that dry months for Guatemala frequently occur between the months of January to April. The values for each PMP were obtained from Grid MAIges generated for Guatemala by the CATIE-ESPREDE project, of MAGA (Ministry of Agriculture, Livestock and Food) in Guatemala.

To obtain the soil variables, soil pits were opened at the center of each PMP to a depth of 0.50 m and a surface of 0.50 m2, obtaining samples in each at 0-20 cm and 20-40 cm. The samples were analyzed for pH, P, K, Ca, Mg, Cu, Zn, Fe, Mn, Na, organic matter, clay, silt and sand, CIC and exchangeable acidity. Regarding pH, a potentiometric method, water: soil ratio of 2.5:1 in the laboratory; for the P, K, Ca, Mg, Cu, Zn, Fe and Mn variables, the North Carolina extracting solution or Mehlich 1 (double acid) was used. P was determined by colorimetric technique using ascorbic acid as a reducer, the K was determined by emission and the other elements by atomic absorption. For CIC and interchangeable bases (Ca, Mg, Na and K), the 1 N ammonium acetate method at pH 7, was used. Organic matter was obtained through the modified Walkley and Black wet digestion method; exchangeable acidity extracted with KCl 1 normal and titrated with normal 0.01 NaOH. Regarding texture the Bouyucos method was used with initial readings at 40 seconds and final readings at 2 hours.

Other variables such as base saturation, Ca: Mg ratio, ECEC (bases + interchangeable acidity), acidity saturation [(interchangeable acidity/ECEC) * 100] and calcium saturation [(Ca/ECEC) * 100] were calculated. In addition to the variables measured from the soil laboratory. Other variables such as such as thickness of the organic horizon, effective depth, and compaction and related to the previous use of the soil, internal drainage and internal stoniness were taken from field observation based on the researcher’s experience.

Filed evaluation of silvicultural variables included: total height, diameter at 1.30 m, planting date, measurement date, and initial number of trees planted per ha. The measurements were registered and processed to obtain the following variables: age of the plantation in months, current number of trees per ha, survival, site index at a base age of 10 years there on IS10 (based on Vallejos & Ugalde 1998), dominant height, basal area, average diameter at breast height, average total height, MAI in total height, MAI in DBH, MAI in basal area, total volume and MAI in total volume with bark, using a 0.45 form factor. Management and plantation establishment variables were also taken into account.

Data Analysis

A graphic analysis and correlation were carried out to estimate the behavior of each of the dependent variables, MAI in total height (MAITOTH) and MAI in total volume (MAIVOL), with the rest of physiographic, climatic, soil and silvicultural variables, to observe the different behaviors in the different evaluated sites as indicated by Kershaw et al. (2016). The analysis was carried out through scatter plots and separation of quadrants, thus allowing to define the critical levels for the growth and productivity of the species from the lines dividing the quadrants.

RESULTS AND DISCUSSION

The data employed in this work includes sites planted with teak all over Guatemala to ensure the waiter range of values for the variables compared. This process introduces also noise since other indirect environmental characteristics are considerate as not affecting the properties of teak plantations. In the fallowing paragraphs it is described the most noticeable effect of physiographic, climatic and soil variables on teak growth characteristics.

Physiographic variables

It was determined that site landscape and dominant topography positively correlated, but site elevation and slope negatively correlated with the teak growth variables. In this regard, Thiele (2008) states that these and clMAItic variables correlate better with the quality of the sites for teak than the chemical and physical variables of soils, and that often it is common to find good sites that do not show their true potential due to problems derived from poor plantation management.

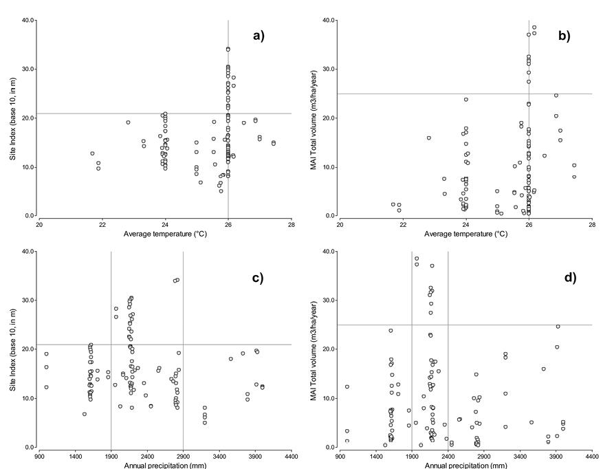
Elevation: The graphic representation of data allowed us to infare that the range of height variation in which the evaluated PMP are located oscillated between 20 and 800 m.a.s.l., highlighting that above 220 m.a.s.l., site indexes (SI10) over 19.5 m or plantations with a productivity of over 16.5 m3.ha-1.year -1 were absent (Figure 1a and 1b). The best MAI increments in total height (values greater than 2.5 m.year -1) took place below 200 m.a.s.l. Despite the results encountered no statistically significant correlation was found for elevation and site or productivity.

Fig. 1. Growth and productivity values (SI10 and MAI in total volume) with respect to elevation (a and b) and in relation to the land slope (c and d) of PMP in plantations of Tectona grandis in Guatemala.

Slope: The compared stands (Figure 1c and 1d) on slopes from 2% to 75% did not showed any significant correlation between slope and growth or productivity. However, as the slope of the terrain increased SI10 values and MAI in total volume decreased. No sites with SI10 over 19 m or productivity over 13 m3.ha-1.year -1 were found on slopes greater than 40%. It was found that most PMP on sites with high and excellent productivity dominated on slopes below 20%, with the exception of 2 PMP located on moderate slopes at Chahal, Alta Verapaz in soils with appropriate depth, un-compacted and good fertility. The effect of altitude on the growth of several tropical forest species has been mentioned by Heaney & Proctor (1989) and Soethe et al. (2008) who associate it with differences in the addition of waste and its decay rate at elevations between 100 and 3000 m.a.s.l.

Sites Landscape: A significant difference was found (p<0,001) for teak growth and productivity in different landscape positions. The best sites are found in well-drained alluvial terraces, where there is an average of 29.7 m of SI10 and 33.3 m3.ha-1.year -1 of MAI in total volume. The sites with lower SI10 values were found on hills and rough terrains were SI10 is greater than 18 m and MAI total volume less than 7 m3.ha-1.year -1. This is to be expected on sites that have erosion problems, which causes the loss of the A horizon and exposure of subsurface horizons with less availability of humidity, lower fertility and lower pH values, variables that negatively affect the growth of teak (Alvarado & Mata 2013).

Topography: This variable showed significant differences (p=0,0049) only in relation to the productivity of teak, with best sites in slightly inclined topographies. Terrains with flat topography and lower slope show the best growth and productivity despite the great variability of PMP in this kind of topography. PMPs located in rounded peaks and in steep topography show the lowest growth and productivity values (less than 20 m for a site index at a 10 years base and 16 m3.ha-1.year -1 of MAI in total volume). In some cases in Central America, this type of relief is associated with shallow soils, stony or with strong winds, factors that negatively affect the growth of teak (Alvarado 2012).

Stones at the surface: The best growth of this species was found (p=0.045) at sites with low (<30%) and intermediate (30 a 60%) stoniness. The lowest growth were found in the high stoniness category (>60%), partly due to the reduction of the soil volume for the roots to explore and absorb water and nutrients.

Flood risk: No differences in growth were attributed to flooding, considering that 101 of the sites studied never flooded, 3 flooded once a year, and only 1 site flooded from 1 to 3 times per year. Field observations indicate that sites flooded more than 3 times per year, most of the trees did not survive (e.g. Fray Bartolomé de las Casas in Alta Verapaz), and those that survived showed low growth and productivity values (8.32 m of SI10 (site index at a10 years old base line) and 0.32 m3.ha-1.year -1 of MAI in total volume). Although the flood and drainage variables of the terrain are closely related, there may be sites that flood but have good drainage conditions that do not cause limitations to the growth of teak except those that are prone to flooding and have drainage problems severely limits its growth.

Other variables: The variables that include erosion, appearance or exposure of the plot, position of the plot and superficial drainage did not show any common characteristic or tendency that allows inferring that they are determinants for the growth and productivity of teak plantations in Guatemala (more information can be found in Fernández-Moya et al. 2014). The physiographic variables showed results that match previous findings of Chávez & Fonseca (1991) and Montero et al. (2001); topography variable responded as reported by Vásquez & Ugalde (1994) and the landscape variable with results of Montero et al. (2001). According to Behling (2009) soil depth also affects fine roots distribution of teak in shallow soils manly in eroded areas in steppe lands.

Climatic Variables

Temperature: A slight correlation was found between annual mean ambient temperature and the SI10 (r=0.23; p=0.01) and the productivity expressed by the MAI in total volume (r=0.26; p=0.01). A tendency was observed to increase the values of SI10 with the rise in temperature. Growths with SI10 greater than 21 m and productivity greater than 25 m3.ha-1.year -1 were found in places with temperatures close to 26ºC (Figure 2a and 2b) matching with previous findings of Vallejos (1996) and Montero et al. (2001).

Fig. 2. Average growth and productivity values in relation to the annual mean temperature (a and b) and in relation to the average annual precipitation (c and d), in plantations of Tectona grandis in Guatemala.

Precipitation: This variable did not show a statistically significant correlation with respect to growth and productivity, but in the graphical analysis (Figure 2c) it is appreciated that the best values of SI10 occurred at an annual precipitation range between 1940 and 2850 mm; below and above this range no sites with values above 22 m
of SI10 were found. The best productivity sites were found with annual average rainfall values between 1940 and 2200 mm (Figure 2d), and within this range, all sites with excellent productivity were found. Within this precipitation range, some PMPs with low productivity exist, indicating that this variable by itself does not determine the growth of teak, but contributes with others to reduce productivity as previously found (Vásquez & Ugalde 1994, Montero et al. 2001). The sites with a precipitation range between 1940 and 2200 mm annually, temperature close to 26ºC, and that show the best growth are located in Rio Dulce, Livingston in Izabal, Chahal in Alta Verapaz and Masagua in Escuintla. The hydric deficit variable was not related to the plantations evaluated in Guatemala, possibly due to the low variability range of the data. Bacilieri et al. (1998) considers that the optimal for the species is to have at least 4 dry months with less than 60 mm of precipitation, average precipitations between 1250 and 3750 mm per year and average annual temperatures ranging between 22-27°C.

Soil Variables

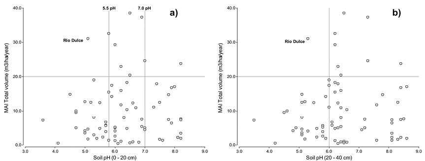
Soil reaction (pH): The best teak sites found above pH values of 5.5 with the exception of a PMP located in Rio Dulce, Livingston, Izabal. The same applies for the 2 depths evaluated (Figure 3), in which MAI values in total volume above 20 m3.ha-1.year -1 were found. The exceptional PMP with excellent productivity probably did so in part due to its calcium saturation (63.9%) which is considered high for teak performance by Alvarado & Fallas (2004). Mollinedo (2003) found in Panama that below a pH of 5.5 in the topsoil (0–20 cm) MAI values in total volume of up to 14 m3.ha-1.year-1 can be obtained. In the present study, it was found growths of up to
14 m3.ha-1.year -1, at Livingston, Izabal (pH below 5.1).
Sites with MAI in volume exceeding 25 m3.ha-1.year -1 were found in a pH range between 5.5-7.0 in PMPs located at Chahal, Alta Verapaz, Masagua, Escuintla and Patulul, Suchitepéquez. Sites with lower growth values and soils with pH values of less than 5.5 were observed in Panzós, Fray Bartolomé de las Casas and Chahal at Alta Verapaz, and Livingston, Izabal. In the studied region, the soil pH tends to decrease with depth probably due to the effect of ion mobilization, chemical dissolution and chemical weathering (Zech & Drechsel 1991, Bebarta 1999). This phenomenon has been studied in teak plantations (Samndi & Jibreen 2012) because of the relevance of acidity on the plantations growth particularly in genetic improvement programs (Favare et al. 2012, Wehr et al. 2017).

Fig. 3. Average productivity values at 0-20 cm (a) and 20-40 cm (b) soil depths as related to soil pH, in Tectona grandis plantations in Guatemala.

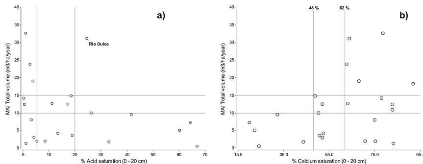
Soil acidity: This variable was measured as exchangeable acidity (EA) and acidity saturation (AS) for sites with soil pH values below 5.5. Exchangeable acidity increased with soil depth in all sites and with site index at a 10 years base age, but decreased with MAIVOL. Showing a positive relation among increasing soil depth, site index and exchangeable acidity. On the contrary, exchangeable acidity decreased with MAIVOL. No values were found above the 15.5 m height of SI10 on sites with more than 2.90 cmol(+).100 mg-1 of exchangeable acidity or values greater than 13 m3.ha-1 year -1 of MAI in total volume at a depth of 0-20 cm. The same happens on sites with more than 1.30 cmol(+).100 mg-1 exchangeable acidity and more than 1.80 cmol(+).100 mg-1 of exchangeable acidity to 20-40 cm of soil depth. Comparing with exchangeable acidity values reported for teak plantations in Brazil (Oliveira 2003) and Panama (Mollinedo et al. 2005), it is recommended to maintain the acidity saturation level below 8% as recommended in teak plantations of Costa Rica (Alvarado & Fallas 2004).

Teak productivity values tended to decrease as acidity saturation in the soil increased (Figure 4a). At the first soil depth, no sites were found with high and excellent productivity when acidity saturation exceeded 19% with the exception of a PMP located at Rio Dulce, Livingston, Izabal. When topsoil acidity saturation values exceed 5, no MAI values were found with total volume above 15 m3.ha-1.year -1; this acidity saturation value can be considered as the critical level that limits teak growth. This variable can be modified by amending the soil with lime (Alvarado & Fallas 2004) as far as no extreme acidity values exist in the top- and sub- soil horizons of the profile.

Fig. 4. Average productivity values at first depth in relation to the percentage of acidity saturation (a) and the percentage of calcium saturation (b), in Tectona grandis plantations in Guatemala, on sites with a pH lower than 5.5.

Exchangeable bases: To study this variable, available Ca content, Ca saturation, Mg, Na and K contents and Ca/Mg ratio were taken into account (Table 2). Within these variables, the contents of Ca, Mg, Na, K and the Ca/Mg ratio did not present statistically significant relationships or any behavior that would explain the growth and productivity of teak. Although no high correlation values were found, the variable calcium saturation at both depths presented a positive relationship with respect to site productivity, increasing the MAI values in total volume as this variable increased (Figure 4b). The calcium saturation values decreased as the soil depth increased, similarly to findings in teak plantations in Nigeria (Samndi & Jibreen 2012). In the first depth, it was observed that sites with a Ca saturation value of less than 48%, high and excellent productivity were not achieved. No MAI values in total volume greater than 15 m3.ha-1.year -1 were found on sites with Ca saturation percentage of less than 62%. Data from this study coincided with results obtained in teak plantations for Costa Rica (Alvarado & Fallas 2004) but presented discrepancies with the data reported in Panama (Mollinedo 2003).

Table 2. Acidity and calcium saturation values, in percentage, limits for the adequate growth of teak, in soils with a pH of less than 5.5 for Central America.

Variable

Guatemala*

Panama**

Costa Rica***

Acidity saturation (%)

5.0

8.0

5.8

Calcium saturation (%)

62.0

40.0

67.5

*Vaides 2004, **Mollinedo 2003, ***Alvarado & Fallas 2004.

Phosphorus (P), Copper (Cu), Manganese (Mn), Zinc (Zn) and Iron (Fe): Statistically, the availability of the elements considered here for the 2 soil depths evaluated, showed no correlation with the growth and productivity of teak plantations in Guatemala. The data is relevant since indicates an unlikely answer to the addition of any of these elements to the soil (Kishore 1987, SMAI 2010); Montero et al. (2017) also found similar results for Gliricidia sepium and Cedrela odorata attributing the results to the lack of correlation between some of these plant nutrient absorption and the “availability” of the same elements in the soil.

Other soil variables: The organic matter content, CIC, ECEC and texture variables did not show trends that could help in determining differences between the growth and productivity on teak plantations in Guatemala. The results of the base saturation percentage showed, for the 2 depths, that low productivity sites have less than 43% base saturation. This characteristic of the productivity scattering values and base saturation percentage is shown in Figure 5.

Fig. 5. Average productivity values at first depth with respect to the percentage of soil base saturation, in Tectona grandis plantations in Guatemala.

Field observation variables: Land compaction (high, medium, none) caused differences in growth and productivity in teak. The SI10 showed through ANOVA analysis differences with compaction (p= 0.0066), best sites 17,30 m found in soils without compaction, 13.37 m in medium compaction, and 12.09 m on sites with high compaction. Productivity with a p=0.0071 showed differences regarding compaction, finding sites with low productivity in soils with high and medium compaction (3.03 and 4.91 m3.ha-1.year -1, respectively) and sites with medium and high productivity on sites with low or no compaction (11.86 m3.ha-1.year -1 on average). This is because in compact soils the root growth of the plants is limited and, therefore, the possibility of water and nutrient absorption decreases. A more precise compaction measurement is required to corroborate what was found in the present study.

Silvicultural variables

Plantation management variables (current land use, pruning, wedding, shoot removal, thinning, and fertilization) did not allow the authors to establish differences in teak growth and productivity due to the lack of silvicultural practices utilized in the plantations affecting future wood quality of the trees with time. In 2 sites, fertilizer was applied without a previous evaluation of an ideal dose according to the current state of the soil. The shoot removal and pruning of these plantations is necessary to contribute to the good growths found, mainly in places where high and excellent productivity are priority one, because there are really thick basal branches on the tree shafts, which decreases the quality of the plantation, taking into account the expected product of the same.

In 100% of the plantations, weed control was conducted in the first 2 years after teak establishment were reported. In some places it is necessary to carry out a higher number of weeds removal per year due to the rapid growth of weeds in spite of the better growth of the trees that help suppression of weeds under the canopy after the second year of growth. On sites with low growth, it is necessary to continue with reducing weed abundance because undesirable plants compete for nutrients with the teak.

When thinnings were evaluated, very few projects had this type of silvicultural operations, making it necessary to carry them out on the sites with high growth rates, higher than 3 years, where it was possible to observe a high competition regarding tree crown. Although it is known that a reduction in the lateral expansion of crowns produces a reduction in diameter growth, no differences in this variable were observed, due to the current age of the plantations and the diversity of the sites evaluated. As observed, due to the lack of thinning in the fastest growing plantations, tree crown recession is shown in plantations over 4 years old, which has not shown differences in teak growth, but generally there is a deterioration regarding tree stem quality.

CONCLUSIONS AND RECOMMENDATIONS

The analysis of the physiographic variables studied on the teak plantations in Guatemala, reveals the preference regarding sites to plant on lands at an elevation of less than 220 m.a.s.l., with a slope that does not exceed 40%, in places where the landscapes go from wavy to plain, with low or medium external stoniness and that do not face flood problems for long periods of time.

Sites with better productivity were found in lands with a mean annual temperature close to 26ºC and precipitation ranges between 1900 and 2850 mm per year.

The soil variables allow complemented the criteria to select the sites for future planting, finding as the main selection factor the soil reaction, were site with high and excellent productivity had a pH greater than 5.5, and at least 43% of base saturation with little or no compaction.

It was observed that soil acidity with levels below pH 5.5, 2.90 cmol(+).mg-1 of exchangeable acidity and 5% of acidity saturation showed the best growth rates, contrasting with the presence of calcium saturation higher than 62%.

It is necessary to carry out thinning in the plantations, mainly in those that present the highest values of site index and productivity, to avoid a decrease in their growth. No differences were found in growth and productivity caused by the application or lack of application of silvicultural treatments.

Forest producers and technicians should be aware of different sites with different productivity, so they become aware and use better judgment when deciding to choose sites to plant or to implement forest incentives projects.

It would be appropriate to apply this methodology in other regions in order to determine the characteristics that determine the growth and productivity of other species, especially when priority species are defined for forest incentive programs.

It is important to consider all available variables to evaluate a chosen site to plant any species, because the success of reforestation projects relies on this. This guarantees the proper investment of the forester and government in private reforestation projects and forest incentives in Guatemala.

LITERATURE CITED

Alvarado, A. 2012. Nutrición y fertilización de Tectona grandis. Capítulo 18. In Alvarado, A; J Raigosa, J (eds.). Nutrición y fertilización forestal en regiones tropicales. San José, Costa Rica, Asociación Costarricense de la Ciencia del Suelo. p. 213-340.

Alvarado, A; Fallas, JL. 2004. La saturación de acidez y el encalado sobre el crecimiento de la teca (Tectona grandis L.f.) en suelos ácidos de Costa Rica. Agronomía Costarricense 28(1):81-87.

Alvarado, A; Mata R. 2013. Condiciones de sitio y la silvicultura de la teca. Capítulo 5. In Camino de, R; Morales, J (eds.). 2013. Las plantaciones de teca en América Latina: mitos y realidades. Centro Agronómico Tropical de Investigación y Enseñanza (CATIE), División de Investigación y Desarrollo Serie técnica, Boletín Técnico Nº. 397. Turrialba, Costa Rica. p. 54-83.

Arias, D; Mata, R; Herrera, W; Calvo, J. 2012. Síndrome del decaimiento lento de la teca (SDLT) en Costa Rica. Kurú, Revista Forestal Centroamericana 6(16):2.

Bacilieri, R; Alloysius, D; Lapongan, J. 1998. Rendimiento crecimiento de teca. In Actas del Seminario sobre especies maderables de alto valor para la plantación y establecimiento de teca y caobas, 1-2 de diciembre de 1998. Tawau, Sabah. 27-34 p. (Informe de Trabajo JIRCAS Nº. 16).

Bebarta, KC. 1999. Teak ecology, silviculture, management and profitability. International Book Distributors. Dehra Dum, India. Chapter 5. p. 103-125.

Behling, M. 2009. Nutrição, partição de biomassa e crescimento de povoamentos de teca em Tangará da Sierra-MT. Tesis Ph.D. Minas Gerais, Brasil, Universidade Federal de Viçosa. 156 p.

Briscoe, CB. 1995. Silvicultura y manejo de teca, melina y pochote. CATIE / MADELEÑA. Serie técnica. Informe técnico Nº. ٢٧٠. Turrialba, C.R. 43 p.

Chávez, E; Fonseca, W. 1991. Teca: Tectona grandis L.f., especie de árbol de uso múltiple en América Central. Proyecto Madeleña CATIE-ROCAP. Serie técnica, Informe técnico Nº. 179. Turrialba, C.R. 47 p.

De Camino, RV; Alfaro, MM; Sage LF. 2002. Teak (Tectona grandis) in Central America. Forest Plantation Working Papers (eds). Working Paper 19. Forest Resources Development Service, Forest Resources Division. FAO, Rome (unpublished). sp.

FAO (Organización de las Naciones Unidas para la Agricultura y la Alimentación). 2002. evaluación de los recursos forestales mundiales 2002. Roma, IT, FAO. 468 p. (Informe principal. Estudio FAO Montes, Nº. 140).

Favare, LG; Guerini, LA; Backles, C. 2012. Níveis crescentes de saturação por bases e desemvolvimento inicial de teca em um latossolo de textura média. Ciência Florestal, Santa Maria 4:693-702.

Fernández-Moya, J; Alvarado, A; Forsythe, W; Ramírez, L; Algeet-Abarquero, N; Marchamalo-Sacristán, M. 2014. Soil erosion under teak (Tectona grandis L.f.) plantations: general patterns, assumptions and controversies. Catena 123:236-242.

Heaney, A; Proctor, J. 1989. Chemical elements in litter in forests on Volcán Barba, Costa Rica. In Proctor, J (ed.) Mineral nutrients in tropical forest and savannah ecosystems. Blackwell Scientific Publications. Oxford, England. The British Ecological Society, Special Publ. Nº. 9. p. 255-271.

Hernández, R; Torres, A; Márquez, O; Franco, W. 1993. Contenido foliar de nutrimentos y crecimiento en plantaciones de teca en Ticoporo, Venezuela. Turrialba, CR. Revista Turrialba 43(1)11-15.

Kershaw Jr, JA; Ducey, MJ; Beers, TW; Husch, B. 2016. Forest Mensuration. John Wiley & Sons. 630 p.

Kishore, N.1987. Preliminary studies on the effect of phosphatic fertilizers on teak plantation. Indian Forester 113(6):391-394.

Kollert, W; Cherubini, L. 2012. Teak resources and market assessment 2010. FAO Planted Forests and Trees Working Paper FP/47/E, Rome. 42 p.

Kollert, W; Kleine, M. 2017. The global teak study. Analysis, Evaluation and Future Potential of Teak resources. IUFRO World Series Volume 36. Vienna. 108 p.

Mollinedo, MS. 2003. Relación suelo-planta, factores de sitio y respuesta a la fertilización, en plantaciones jóvenes de teca (Tectona grandis L. f.) en la zona oeste, cuenca del canal de Panamá. Tesis M.Sc. Turrialba, CR. CATIE. 89 p.

Mollinedo, MS; Ugalde, L; Alvarado, A; Verjans, JM; Rudy LC. 2005. Relación suelo-árbol y factores de sitio, en plantaciones jóvenes de teca (Tectona grandis), en la zona oeste de la cuenca del Canal de Panamá. Agronomía Costarricense 29(1):67-75.

Montero, FM; López, MA; Jiménez, M; Cetina, VM; Platas, DE; López, CJ. 2017. Gliricidia sepium and fertilization affect growth, nutrient status, and incidence of Hypsipyla grandella in a Cedrela odorata plantation (en línea). Costa Rica. Agroforest Syst. Consultado 13 dic. 2017. Disponible en https://doi.org/10.1007/s10457-017-0175-5

Montero, M; Ugalde, L; Kanninen, M. 2001. Relación del índice de sitio con los factores que influyen en el crecimiento de Tectona grandis L.F. y Bombacopsis quinata (Jacq.) Dugand en Costa Rica. Turrialba, Costa Rica. CATIE, Revista Forestal Centroamericana 35:13-28.

Moya, AR. 2002. Influencia del cambium, tasa de crecimiento y nivel de precipitación sobre la densidad básica de la teca en Costa Rica. Madera y Bosques 8(1):39-49.

Oliveira, JRV de. 2003. Sistema para cálculo de balanço nutricional e recomendação de calagem de povoamentos de teça- NUTRITECA. Tesis M.Sc. Universidad Federal de Viçosa. Viçosa, Brasil, 79 p.

PAFG (Plan de Acción Forestal para Guatemala, GM). 2002. Documentación y evaluación de cinco modalidades de aplicación del Programa de Incentivos Forestales de Guatemala. PAFG, FAO/GCP/GUA/008/NET. 61 p.

Samndi, AM; Jibrin, JM. 2012. Pedogenesis and classification of soils under teak (Tectona grandis Linn. f) plantation of various ages in the southern Guinea savanna of Nigeria. Asian Journal of Agricultural Sciences 4(1):16-25.

SMAI, SA. 2010. Relación del suelo con el crecimiento inicial y contenido foliar de teca (Tectona grandis L. f.), y adaptación de leguminosas para control de arvenses bajo un sistema de fertirriego en Campeche, México. Tesis M.Sc. Centro Agronómico Tropical de Investigación y Enseñanza, Turrialba, Costa Rica. 76 p.

Soethe, N; Lehmann, J; Engels, C. 2008. Nutrient availability at different altitudes in a tropical montane forest in Ecuador. Journal of Tropical Ecology 24:397-406.

Thiele, H. 2008. Variables edáficas que afectan el crecimiento de la teca (Tectona grandis L f) en la vertiente Pacífica de Costa Rica. Tesis M.Sc. Universidad de Costa Rica, San José, Costa Rica. 184 p.

Ugalde, L. 2003. Advancements on management and teak productivity in Central America. In Bhat, KM; Nair, KKN, Bhat, KN; Muralidharan, EM; Sharma, JK (eds.). Quality Timber Productions of Teak from sustainable forest management. Peechi, Kerala, India. 2-5 diciembre 2003. p. 93-103.

Vaides, EE. 2004. Características de sitio que determinan el crecimiento y la productividad de teca (Tectona grandis L.f.) en plantaciones forestales de diferentes regiones en Guatemala. Tésis Magíster Scientiae. CATIE. Turrialba, CR. 81 p.

Vallejos, OS. 1996. Productividad y relaciones del índice de sitio con variables fisiográficas, edafoclimáticas y foliares para Tectona grandis L.f., Bombacopsis quinatum (Jacq), Dugand y Gmelina arborea Roxb, en Costa Rica. Tésis M.Sc. CATIE. Turrialba, CR. 147 p.

Vallejos, OS; Ugalde, L. 1998. Índice de sitio dasométrico y ambiental para Tectona grandis, L.f., Bombacopsis quinatum (Jacq) Dugand y Gmelina arborea Roxb. Creciendo en Costa Rica. In Primer Congreso Latinoamericano, El manejo sustentable de los recursos forestales, desafío del siglo XX. Valdivia, Chile, 22 al 28 de noviembre. sp.

Vásquez, W; Ugalde, L. 1994. Rendimiento y calidad de sitio para Gmelina arborea Roxb., Tectona grandis L. f., Bombacopsis quinatun (Jacq.) Dugand y Pinus caribaea en Guanacaste, Costa Rica. Informe final, Convenio de Cooperación Proyecto Forestal Chorotega (IDA/FAO). Proyecto Madeleña-3. Turrialba, CR. 132 p.

Wehr, JB; Blamey, FPC; Smith, TE; Menzies, NW. 2017. Growth and physiological responses of teak (Tectona grandis Linn. f.) clones to Ca, H and Al stresses in solution and acid soils. New Forests 48(1):137-152.

Zech, W; Drechsel, P. 1991. Relationships between growth, mineral nutrition and site factors of teak (Tectona grandis) plantations in the rainforest zone of Liberia. Forest Ecology and Management 41:221-235.