Agron. Mesoam. 29(1):123-140. Enero-abril, 2018
ISSN 2215-3608, doi:10.15517/ma.v29i1.28027
http://www.revistas.ucr.ac.cr/index.php/agromeso
Genetic and environmental factors that have an effect in dairy cattle foot injuries in Costa Rica
Marvin Solano-López2, Bernardo Vargas-Leitón2, Alejandro Saborío-Montero3, Derling Pichardo-Matamoros2
Las lesiones podales (LP) constituyen uno de los problemas de salud más importantes en los hatos lecheros. El objetivo fue evaluar el efecto de factores genéticos y ambientales sobre la ocurrencia de lesiones podales en ganado lechero de Costa Rica. Se analizaron 130 844 vacas (417 895 lactancias) de 358 hatos usuarios del programa VAMPP (Veterinary Automated Management and Production control Programme) en el periodo 1990 a 2015. La frecuencia de reportes de LP fue de 16,7% y 7,0% por vaca y lactancia, respectivamente. Las LP más frecuentes fueron separación de línea blanca (34,3%), laminitis (13,0%) y úlcera de la suela (12,8%). Se realizó un análisis por regresión logística sobre la variable LP, mediante la cual se determinó efectos significativos de los factores: zona, hato dentro de zona, número de parto, tipo racial, periodo y mes de parto, etapa de lactancia, tamaño de hato; y el efecto aleatorio de vaca. Las vacas más propensas a LP pertenecieron a la zona bosque húmedo premontano (OR=1,76), tenían cuatro partos (OR=1,29), eran de raza Holstein (OR=1,77), parieron entre 1995 y 1999 (OR=1,73), abril (OR=1,20), estaban en segundo mes de lactancia (OR=22,2) y provenían de hatos con al menos 100 vacas (OR=1,22). La heredabilidad para LP estimada por modelos lineal y de umbral, fue de 0,02±0,002 y 0,05±0,004, respectivamente; y los estimados de repetibilidad fueron 0,03±0,001 y 0,05, respectivamente. Las vacas con LP presentaron 16,1 días abiertos adicionales. Hubo un alto impacto de esta enfermedad en los hatos lecheros evaluados.
Palabras claves: factor de riesgo, salud animal, regresión logística, heredabilidad.
Foot injuries are one of the most important health problems in dairy herds. The objective of this study was to evaluate the effect of genetic and environmental factors on the occurrence of foot injuries (FI) in Costa Rica’s dairy cattle. A total of 130 844 cows (417 895 lactations) from 358 herds users of the VAMPP (Veterinary Automated Management and Production control Programme) software were analyzed between 1990 and 2015. The frequency of FI reports was 16.7% and 7.0% per cow and lactation, respectively. The most frequent FI were white line separation (34.3%), laminitis (13.0%), and sole ulcer (12.8%). FI was analyzed by a logistic regression, which determined significant effects of the following factors: zone, herd within zone, calving number, racial type, period and calving month, lactation stage, herd size, and the cow random effect. Cows with the highest propensity to suffer FI events came from the humid premontane forest zone (OR=1.76), were in the fourth calving (OR=1.29), Holstein breed (OR=1.77), calved between 1995 and 1999 (OR=1.73), April (OR=1.20), were in the second month of lactation (OR=22.2), and came from herds with at least 100 cows (OR=1.22). The heritability for FI, estimated by linear and threshold models, were 0.02±0.002 and 0.05±0.004, respectively; and the repeatability estimates were 0.03±0.001 and 0.05, respectively. Cows with FI presented 16.1 additional days open. There is a high impact of this disease in the evaluated dairy herds.
Keywords: risk factor, animal health, logistic regression, heritability.
1 Recibido: 28 de febrero, 2017. Aceptado: 11 de mayo, 2017. Este trabajo se llevó a cabo dentro del marco del proyecto de investigación SIA 0247-16 de la Universidad Nacional, Costa Rica.
2 Universidad Nacional de Costa Rica, Posgrado Regional en Ciencias Veterinarias Tropicales, Campus Benjamín Núñez. Lagunilla, Heredia, Costa Rica. marvinjs89@hotmail.es, bernardo.vargas.leiton@una.cr, derlingmat@yahoo.es
3 Universidad de Costa Rica, Centro de Investigaciones en Nutrición Animal y Escuela de Zootecnia. San José, Costa Rica. alejandro.saboriomontero@ucr.ac.cr
Las lesiones podales (LP) constituyen uno de los problemas de salud más importantes en los hatos lecheros, después de las alteraciones reproductivas y la mastitis (Flor y Tadich, 2008). Las patologías que causan claudicación están entre las enfermedades o alteraciones más dolorosas que afectan a los bovinos (Greenough, 2009).
La prevalencia de lesiones podales en hatos lecheros es muy variable, depende de las características del sistema de producción. En Nueva Zelanda se mencionan incidencias del 2 al 38% dependiendo de los rodeos (Tranter y Morris, 1991). En Australia, en un estudio con 73 hatos se reportó que el 88% de los establecimientos presentaban lesiones podales y el hato más afectado tenía el 30% de incidencia (Harris et al., 1988). En Canadá, la prevalencia de cojera a nivel de hato varió de 0 a 69%, con una media de 21 % (Solano et al., 2015). En condiciones pastoriles en el sur de Chile, las prevalencias de afecciones podales estuvieron en un rango entre 9 y 32% (Flor, 2006). En general, los valores reportados indican una alta prevalencia de este tipo de afecciones dentro de las explotaciones de ganado lechero.
Las vacas cojas presentan una menor producción de leche (Rowlands y Lucey, 1986; Green et al., 2002). El 10% de los animales que sufren lesiones podales son sacrificados en forma prematura (Greenough, 2009). La mediana de días abiertos fue cuarenta días más larga en vacas cojas comparadas con vacas sanas (Hernández et al., 2001). Se ha estimado que una vaca con claudicación le cuesta al productor entre US$350 y US$527 por caso (Greenough, 2009). El costo promedio por caso de úlcera de la suela, dermatitis digital y podredumbre de pezuña fue de US$216, US$133 y US$121, respectivamente (Cha et al., 2010). En Estados Unidos, Canadá y el Reino Unido se determinó que el costo por vaca coja llegó a US$389 anualmente (Bargai, 2000).
La incidencia de LP en un hato puede variar con la edad y la raza de las vacas, el terreno, condiciones climáticas y manejo del hato (Rowlands y Lucey, 1986; Harris et al., 1988). Otros factores tales como la estación del año, la etapa de la lactancia y la conformación de la pezuña también contribuyen a la incidencia de cojeras (Green et al., 2002; Vermunt y Parkinson, 2002). Las LP surgen como consecuencia de la interacción de diferentes factores de riesgo que, al alcanzar un punto crítico, desencadenan la enfermedad (Shearer et al., 2005).
Los factores genéticos también pueden influir en la incidencia de LP. Las vacas de raza Holstein están más predispuestas a sufrir cojeras que las de raza Jersey y en general, todas las razas bovinas que tengan una disminución del ángulo dorsal o pezuñas muy cortas son propensas a sufrir lesiones podales (Olivieri y Rutter, 2003). Además de los factores raciales, existe evidencia de predisposición genética a sufrir de lesiones podales. Se han reportado valores de heredabilidad para problemas podales de 0,10 a partir de un modelo lineal y 0,22 a partir de un modelo de umbral (Boettcher et al., 1998). Se obtuvieron valores de heredabilidad de 0,07 para dermatitis digital, 0,09 para ulceración única, 0,10 para trastornos de pared, y 0,12 para hiperplasia interdigital (Koenig et al., 2005). Algunas características de conformación del pie relacionadas con la incidencia de LP, también presentan cierto nivel de heredabilidad (Rutter, 2009), entre ellas el ángulo podal (0,07), calidad de hueso (0,17) y la posición de patas posteriores (0,11).
El objetivo fue evaluar el efecto de factores genéticos y ambientales sobre la ocurrencia de lesiones podales (LP) en ganado lechero de Costa Rica.
La presente investigación utilizó un diseño de estudio observacional longitudinal histórico. Se usó la información disponible en la base de datos VAMPP-bovino (Pérez et al., 1989) del proyecto Consultoría Regional en Informática para la Producción Animal Sostenible (CRIPAS), se abarcó el periodo comprendido entre el 01/01/1990 al 31/12/2015. Esta información proviene de hatos lecheros que ingresan la información de sus animales (eventos productivos, reproductivos y sanitarios) al programa VAMPP, para luego enviarla periódicamente al proyecto CRIPAS, donde es sometida a revisión y edición para su análisis posterior. Los hatos participantes tienen diferentes periodos de seguimiento, que pueden variar desde pocos meses hasta más de veinticinco años. Asimismo, los periodos de seguimiento de las vacas y de las lactancias son de longitud variable. A partir de esta fuente se identificaron los eventos de LP reportados a lo largo de la vida productiva de las vacas, tomando como punto de partida la fecha de su primer parto. Se seleccionaron solamente los primeros eventos de lesiones podales reportados dentro de cada lactancia.
Dado que no todos los hatos reportaban de manera consistente los eventos de lesiones podales (LP), se realizó además una preselección de los hatos que cumplieron los siguientes criterios: al menos un año de seguimiento en VAMPP, al menos cinco animales por año bajo monitoreo continuo en VAMPP, y una incidencia global mínima de LP de 1%. Estos criterios se establecieron con el fin de asegurar tamaños mínimos de grupos por hato y año, y también para excluir del análisis los hatos que no registraron del todo los eventos de lesiones podales, o que solo lo hicieron de manera esporádica.
Se extrajo información complementaria a los eventos de LP tal como la ubicación geográfica del hato de procedencia, códigos de diagnóstico asociados al evento, la genealogía del animal, tipo racial, fechas de nacimiento y eventos reproductivos.
El análisis de los factores potencialmente asociados a la ocurrencia de LP se realizó mediante un modelo de regresión logística (Kleinbaum y Klein, 2010), se asumió una distribución de probabilidad binomial para el evento LP, con una función de enlace logit. El modelo se resolvió utilizando el módulo para modelos lineales mixtos generalizados (GLIMMIX) del programa estadístico SAS (SAS, 2009), se usó el método iterativo de estimación denominado pseudo-verosimilitud residual.
El modelo evaluado se describe a continuación:
|
LogitP (LP=1|X)= |
β0 + β1ZA + β2HA(ZA) + β3PP + β4MP+ β5RA + β6NP+ β7TH + β8EL+an + ε |
[1] |
Donde:
|
LogitP (LP=1|X) |
= |
probabilidad de ocurrencia de un evento de lesión podal (0: No evento, 1= Evento). |
|
β0 |
= |
intercepto. |
|
ZA |
= |
efecto ambiental fijo de zona agroecológica (Holdridge, 1987). Categorizado según combinaciones de provincias de humedad (bosque húmedo: bh, bosque muy húmedo: bmh, bosque seco: bs) y según faja altitudinal (tropical: t, premontano: p, montano bajo: mb y montano: m). |
|
HA(ZA) |
= |
efecto ambiental fijo de hato de procedencia (1,2…n), anidado dentro de zona. |
|
PP |
= |
efecto ambiental fijo del periodo de parto (≤1994, 1995 a 1999, 2000 a 2004, 2005 a 2009, ≥2010). |
|
MP |
= |
efecto ambiental fijo del mes de parto (1: enero, 2: febrero,.. 12: diciembre). |
|
RA |
= |
efecto fijo de grupo racial (Jersey:J8, Holstein×Jersey:H×J, Holstein:H8, Holstein×Pardo Suizo:H×PS, Pardo Suizo:PS8, Jersey×Pardo Suizo:J×PS, Guernsey:G8, Holstein×PardoSuizo×Jersey:H×PS×J, cruces varios entre razas lecheras con razas Bos indicus: LE×BI, otros cruces: OTROS). |
|
NP |
= |
efecto fijo del número de parto (1, 2, 3, ..≥7 ). |
|
TH |
= |
efecto fijo del tamaño del hato ( según número promedio de vacas en producción: ≤20. 21-40, 41-60, 61-80, 81-100 y ≥100. |
|
EL |
= |
efecto fijo de la etapa de la lactancia (en periodos mensuales, desde 1 hasta ≥15). |
|
an |
= |
efecto aleatorio de la vaca, que incorpora la correlación existente entre distintos partos de una misma vaca. |
|
ξ |
= |
efecto residual aleatorio (NID, 0, 1). |
Con base en el modelo anterior se obtuvieron estimados de ajuste del modelo completo y estimados de significancia estadística para todos los efectos evaluados. Para las diferentes categorías de los efectos fijos que resultaron significativos (P<0,05), se obtuvieron los odds ratio (OR) o razones de posibilidades, que compararon la propensión relativa a sufrir lesiones podales entre una determinada categoría vs. la categoría de referencia (OR= 1), que para este estudio fue asignada como la categoría de menor propensión.
Para la estimación de parámetros genéticos el modelo [١] fue modificado y analizado como modelo genético, del tipo denominado modelo animal multirracial con repetibilidad (Van Radden et al., 2007), el cual fue resuelto mediante el programa ASREML (Gilmour et al., 2014). Este programa utiliza una técnica de verosimilitud aproximada denominada PQL (Penalized Quasi-Likelihood), la cual está basada en series de aproximación a la verosimilitud de primer orden de Taylor (Gilmour et al., 2014). El efecto de hato dentro de zona fue sustituido por el efecto fijo de hato. El efecto aleatorio de la vaca (an) se ligó a una matriz de parentesco construida a partir de la información genealógica disponible en la base de datos VAMPP. En la genealogía se incluyó hasta un máximo de diez generaciones de ancestros.
Adicionalmente, se agregaron al modelo los siguientes factores aleatorios:
|
hs |
= |
efecto aleatorio de la interacción de hato×semental. Se requirió un mínimo de tres hijas para cada semental evaluado. |
|
pe |
= |
efecto aleatorio del ambiente permanente ligado a mediciones repetidas de LP en distintos partos de una misma vaca. |
Para este análisis se utilizó solamente la información de las razas Holstein, Jersey y sus cruces, dado que fueron las categorías raciales que contaron con suficiente información en términos de sementales y hembras evaluados, distribuidos en múltiples generaciones. Por último, este modelo genético se resolvió asumiendo dos distribuciones de probabilidad diferentes para el evento analizado: distribución normal (modelo lineal) y distribución binomial (modelo de umbral).
Los parámetros de heredabilidad (h2) y repetibilidad (r) se obtuvieron a partir de los componentes de varianza para efectos aleatorios obtenidos del modelo anterior, se utilizaron las siguientes fórmulas:
Donde:
h2 = índice de heredabilidad.
r = índice de repetibilidad.
σ2a = varianza genética aditiva.
σ2pe = varianza atribuida a ambiente permanente.
σ2F = varianza fenotípica.
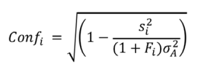
Se obtuvieron además los estimados de valores de cría (mejores estimadores lineales insesgados/BLUP) para los animales dentro de la población y sus correspondientes valores de confiabilidad, la cual se estimó mediante la fórmula:
Donde:
Confi = valor de confiabilidad para el BLUP del i-ésimo individuo.
Si = error estándar reportado para el BLUP del i-ésimo individuo.
Fi = coeficiente de consanguinidad del i-ésimo individuo.
σ2A = varianza genética obtenida a partir de la matriz de parentescos (A).
Los valores de cría fueron expresados como desviaciones con respecto al promedio de una población de referencia que estuvo constituida por todas las vacas nacidas en el año 2000.
Se construyó un modelo de regresión similar a [1] con el fin de evaluar el posible efecto de la variable categórica LP (0= sin LP, 1= con LP) sobre la variable dependiente días abiertos, se asumió una distribución lognormal, y se ajustó además por los factores fijos de zona, finca dentro de zona, número de parto, grupo racial, mes y año de parto; y el efecto aleatorio de la vaca. De esta manera se obtuvo un estimado de la diferencia en días abiertos en partos con o sin evento de LP reportado.
Una vez realizados los procedimientos de edición y la aplicación de los criterios de inclusión se contó con información de 417 895 partos procedentes de 130 844 vacas localizadas en 358 hatos. Se contabilizaron 21 682 vacas y 29 434 lactancias con al menos un caso de LP, lo que corresponde a incidencias de 16,7% y 7,0%, por vaca y lactancia, respectivamente. Entre las vacas afectadas 74,7% (n=16 192) presentaron una sola lactancia afectada por LP, 17,8% (n=3 853) presentaron dos, y el restante 7,5% (n=1 637) presentaron tres o más lactancias afectadas por LP.
En el presente estudio, solamente el 17,2% (n=5 078) de los eventos de LP contó con un reporte de diagnóstico específico sobre el tipo de lesión. La LP más importante para este estudio fue la separación de la línea blanca, con un 34,3%, seguida por laminitis (13,0%) y úlcera de la suela (12,8%).
El modelo de regresión logística convergió satisfactoriamente después de ocho iteraciones. El valor obtenido para el estadístico (chi-cuadrado generalizado/grados de libertad) fue 1,12, lo cual denota un ajuste adecuado de la distribución de probabilidad logit asumida para el evento, sin evidencia marcada de sobredispersión de residuales.
Los resultados del modelo indicaron que todos los factores fijos evaluados se asociaron de forma significativa (P<0,0001) con la ocurrencia de lesiones podales. Para el factor aleatorio de la vaca el componente de varianza estimado fue de 1,12, con un error estándar de 0,002.
Las zonas en que se presentó mayor propensión a lesiones podales fueron el bosque húmedo premontano (bh-p) y bosque muy húmedo premontano (bmh-p), mientras que la de menor propensión fue el bosque muy húmedo montano (bmh-m, Figura 1). Todas las zonas, excepto bh-p y bmh-p presentaron OR con amplios intervalos de confianza que no difieren significativamente de la zona de referencia (bmh-m).
Figura 1. Razones de posibilidades (odds ratio, con intervalos de confianza 95%) para la ocurrencia de lesiones podales en hatos lecheros, en función de la zona agroecológica. Costa Rica. Periodo 1990-2015.
Zonas: bh-mb: bosque húmedo montano bajo; bh-p: bosque húmedo premontano, bh-t: bosque húmedo tropical, bmh-mb: bosque muy húmedo montano bajo, bmh-p: bosque muy húmedo premontano, bmh-t: bosque muy húmedo tropical, bp-mb: bosque pluvial montano bajo, bs-t: bosque seco tropical; bmh-m: bosque muy húmedo montano.
Figure 1. Odds ratio (with 95% confidence intervals) for the occurrence of foot injuries taking into consideration the agroecological zone. Costa Rica. Period 1990-2015.
Zones: bh-mb: humid lower montane forest; bh-p: humid premontane forest, bh-t: humid tropical forest, bmh-mb: Perhumid lower montane forest, bmh-p: Perhumid premontane forest, bmh-t: Perhumid tropical forest, bp-mb: rain lower montane forest, bs-t: tropical dry forest; bmh-m: Perhumid montane forest.
La variación entre hatos dentro de zona fue aún mayor que la variación entre zonas. A nivel de hato, la incidencia promedio de LP con base en lactancias fue de 5,6% (desviación estándar 0,06); oscilando entre un mínimo de 1% y un máximo de 33%.
Con respecto al número de parto se observó que las vacas más propensas a lesiones podales fueron aquellas con tres hasta seis partos, donde la propensión mantuvo un nivel similar (Figura 2). Una menor propensión se observó para las vacas de primer parto, mientras que las menos propensas fueron las de dos y con al menos siete partos.
Figura 2. Razones de posibilidades (odds ratio, con intervalos de confianza 95%) para la ocurrencia de lesiones podales en hatos lecheros, en función del número de parto. Costa Rica. Periodo 1990-2015.
Figure 2. Odds ratio (with 95% confidence intervals) for the occurrence of foot injuries taking into consideration the calving number. Costa Rica. Period 1990-2015.
En cuanto al factor racial, el grupo más propenso a sufrir lesiones podales fue la raza Holstein, mientras que los grupos menos propensos fueron los conformados por cruces entre razas lecheras y Bos indicus, y otros grupos raciales heterogéneos (Figura 3). Entre las dos razas lecheras más comunes en Costa Rica, se observó que la Holstein presentó una marcada mayor propensión que la Jersey. Se observó además que el OR del grupo Holstein×Jersey fue similar al de Jersey, lo que sugiere un efecto marcado de heterosis para este rasgo, es decir, la propensión a LP del cruce es mucho menor que el promedio de las razas paternas. El porcentaje de heterosis basado en los OR sería de 22,6% [(1,13-1,46)/1,46]. En el caso del cruce Holstein×Pardo Suizo este efecto también fue favorable, pero menos marcado, con un estimado de heterosis de 5%.
Figura 3. Razones de posibilidades (odds ratio, con intervalos de confianza 95%) para la ocurrencia de lesiones podales en hatos lecheros, en función de la raza. Costa Rica. Periodo 1990-2015.
Grupos raciales: Jersey=J8, Holstein×Jersey=H×J, Holstein=H8, Holstein×Pardo Suizo=H×PS, Pardo Suizo=PS8, Jersey×Pardo Suizo=J×PS, Guernsey=G8, Holstein×PardoSuizo×Jersey= H×PS×J, cruces de razas lecheras con razas Bos indicus= LE×BI, otros cruces= OTROS.
Figure 3. Odds ratio (with 95% confidence intervals) for the occurrence of foot injuries taking into consideration the breed type. Costa Rica. Period 1990-2015.
Breed types: Jersey=J8, Holstein×Jersey=H×J, Holstein=H8, Holstein×Brown Swiss=H×PS, Brown Swiss=PS8, Jersey×Brown Swiss=J×PS, Guernsey=G8, Holstein×Brown Swiss= H×PS×J, crosses between dairy and Bos indicus breeds= LE×BI, other crosses= OTHERS.
Se determinó que las vacas que parieron en los meses comprendidos entre marzo y agosto presentaron mayor propensión a LP (Figura 4), con estimados de OR cercanos a 1,20. Por el contrario, los meses de parto donde la propensión fue menor fueron noviembre y diciembre.
Figura 4. Razones de posibilidades (odds ratio, con intervalos de confianza 95%) para la ocurrencia de lesiones podales en hatos lecheros, en función del mes de parto. Costa Rica. Periodo 1990-2015.
Figure 4. Odds ratio (with 95% confidence intervals) for the occurrence of foot injuries taking into consideration the calving month. Costa Rica. Period 1990-2015.
En cuanto al periodo de parto (Figura 5), la mayor propensión a LP se observó en las vacas que parieron entre los años 1995 a 1999, y la menor propensión en vacas paridas ≥2010. A partir del 2000 la tendencia fue decreciente, y una reducción más marcada en el periodo más reciente.
Figura 5. Razones de posibilidades (odds ratio, con intervalos de confianza 95%) para la ocurrencia de lesiones podales en hatos lecheros, en función del periodo de parto. Costa Rica. Periodo 1990-2015.
Figure 5. Odds ratio (with 95% confidence intervals) for the occurrence of foot injuries taking into consideration the calving period. Costa Rica. Period 1990-2015.
En relación a la etapa de lactancia, la propensión a primeros eventos de lesiones podales fue significativamente mayor en el segundo mes posparto (Figura 6). A partir de este punto, la reducción en la propensión es consistente conforme aumentan los meses posparto, para finalizar con valores cercanos a 1 después del décimo mes.
Figura 6. Razones de posibilidades (odds ratio, con intervalos de confianza 95%) para la ocurrencia de lesiones podales en hatos lecheros, en función del estadio de la lactancia. Costa Rica. Periodo 1990-2015.
Figure 6. Odds ratio (with 95% confidence intervals) for the occurrence of foot injuries taking into consideration the lactation stage (in months). Costa Rica. Period 1990-2015.
Se observó que la propensión de eventos de lesiones podales tendió a ser mayor en hatos más grandes (>60 vacas), mientras que los grupos menos propensos fueron los conformados por hatos con menos de cuarenta vacas (Figura 7).
Figura 7. Razones de posibilidades (odds ratio, con intervalos de confianza 95%) para la ocurrencia de lesiones podales en hatos lecheros, en función de su tamaño. Costa Rica. Periodo 1990-2015.
Figure 7. Odds ratio (with 95% confidence intervals) for the occurrence of foot injuries taking into consideration the herd size. Costa Rica. Period 1990-2015.
Para el análisis genético se contó con 320 923 partos de 98 215 vacas de razas Holstein, Jersey y Holstein×Jersey procedentes de 357 hatos. La incidencia de LP en este conjunto de datos fue de 6,33%. El archivo genealógico incluyó un total de 110 495 individuos que abarcaron un máximo de diez generaciones. Se identificaron un total de 24 334 animales consanguíneos con un promedio de consanguinidad de 2,1% (desviación estándar 2,9).
En el análisis genético, el modelo lineal convergió de manera adecuada y resultó en estimados de varianza congruentes para todos los componentes, mientras que el modelo de umbral presentó problemas para la estimación del componente de ambiente permanente (pe), el cual se fijó por el algoritmo PQL a un valor límite de 0, incongruente con las expectativas (Cuadro 1).
Cuadro 1. Componentes de varianza para efectos aleatorios y parámetros genéticos derivados según el modelo animal lineal (distribución normal) y de umbral (distribución binomial) en hatos lecheros. Costa Rica. Periodo 1990-2015.
Table 1. Variance components for random effects and genetic parameters derived from the animal linear model (normal distribution) and the threshold model (binomial distribution) in dairy herds. Costa Rica. Period 1990-2015.
Los estimados obtenidos de heredabilidad y repetibilidad fueron bajos por ambos modelos (0,02 y 0,05). No obstante, se observó un rango amplio de variación en los valores de cría para propensión a LP, desde un mínimo de -0,05 hasta un máximo de +0,12, en el caso del modelo lineal (Cuadro 2), es decir, diferencias de hasta un 17% en la propensión genética a LP. Por otra parte, la correlación entre estimados de valores de cría obtenidos por ambos modelos fue alta (r=0,93; P<0,01), lo que indica que ambos métodos producen un ranqueo genético altamente coincidente de los animales en la población.
Cuadro 2. Promedios, mínimos y máximos de valores de cría y confiabilidad para propensión a lesiones podales, en vacas de la población total y por grupo racial, según los modelos lineal y de umbral en hatos lecheros en Costa Rica. Periodo 1990-2015.
Table 2. Means, minimum and maximum breeding values and reliability propensity to foot injuries, taking into consideration the whole studied cow population and their breed type, according to the linear and threshold models. Costa Rica. Period 1990-2015.
Debido a que el efecto de raza fue incluido como efecto fijo en modelo genético, los valores de cría obtenidos representan las desviaciones en propensión genética dentro del grupo racial respectivo (Cuadro 2). Las confiabilidades obtenidas fueron relativamente bajas, debido a que se trata de un evento poco frecuente. La confiabilidad varió principalmente en función del número de registros de LP y el número de partos disponibles por vaca.
La incidencia de LP obtenida en el presente estudio se encuentra dentro del rango reportado por estudios previos, los cuales varían ampliamente. Se han reportado valores de 2,71% en Argentina (Confalonieri et al., 2008), 5% en el Reino Unido (Bargai, 2000), 30% en USA/Florida (Hernández et al., 2001), 23,9% en USA/Wisconsin (Cook, 2003), y 30,3% en Brasil/Belo Horizonte (Molina et al., 1999). El origen multifactorial de las LP y la diversidad de ambientes entre estudios, puede explicar en parte esta gran variabilidad entre las incidencias reportadas. Diferentes formas de calcular y expresar las incidencias, por ejemplo por lactancia o por vaca, también pueden contribuir a la alta variabilidad.
En el presente estudio es posible que además exista un subregistro del evento, a pesar del uso del criterio mínimo de inclusión (1%) a nivel de hato. La dependencia de un sistema de información administrado mayormente por los productores representa una limitante, ya que no existe certeza absoluta en el reporte de todos los eventos y en su correcto diagnóstico. Sin embargo, estudios similares han validado el uso de sistemas de información de hato para estimación de incidencia de enfermedades y parámetros genéticos en ganado lechero (Zwald et al., 2004; Parker-Gaddis et al., 2012). Dichos estudios concluyen que, si bien tiende a existir subestimación de las incidencias, las tendencias y asociaciones observadas generalmente coinciden con estudios más controlados.
La mayor incidencia de enfermedad de la línea blanca ha sido también reportada previamente. Un estudio en Nueva Zelanda reportó esta enfermedad como la lesión podal de mayor importancia en los hatos lecheros, con una prevalencia del 39% (Tranter y Morris, 1991). En Chile, la enfermedad de línea blanca fue también la más frecuente, con una incidencia del 54,9% (Flor y Tadich, 2008). Esta afección fue reportada como habitual en los sistemas intensivos y extensivos de producción bovina (Greenough, 2009). La línea blanca está compuesta por el tejido córneo más blando de la pezuña, por lo tanto, es más vulnerable a los cuerpos extraños. La afección es de alta incidencia en reproductores de carne y leche, asociada en ocasiones a laminitis, y muy frecuente en novillas lecheras luego del parto (Greenough, 2009).
Las diferencias en incidencia de LP entre zonas podrían estar ligadas a factores climáticos. Las zonas bmh-p y bh-p comprenden la faja altitudinal entre los 500 y 1500 msnm, con rango de temperatura entre 18-24°C y niveles de precipitación entre 1000-2000 (húmedo) o entre 2000-4000 (muy húmedo) mm anuales (Holdridge, 1987; Vargas y Ulloa, 2008). Son zonas intermedias tanto en altitud, como en temperatura y humedad, donde se encuentran ubicados un 34,5% de los hatos analizados. La alta precipitación y humedad, en conjunción con la temperatura, se han asociado con una disminución de la resistencia mecánica de la uña, favoreciendo un mayor desgaste y una mayor posibilidad de penetración por cuerpos extraños y proliferación de patógenos (Vermunt y Parkinson, 2002).
No obstante lo anterior, la alta variabilidad entre hatos dentro de una misma zona sugiere el impacto marcado que tienen las prácticas de manejo, así como las circunstancias específicas de cada sistema de producción sobre la incidencia de LP. En el presente estudio no se contó con información precisa de estas variables de manejo a nivel de hato; no obstante, un estudio previo con 1086 hatos, reportó que el sistema de alojamiento predominante a nivel local fue el pastoreo durante todo el año (72,6%), seguido por combinaciones de pastoreo con distintos niveles de estabulación (26,4%) y por último, el estabulado completo (1%) (Vargas-Leitón et al., 2013). En países donde se realiza pastoreo durante todo el año, las cojeras en vacas de lechería están muy asociadas a la longitud, calidad y diseño de los caminos (Leonard et al., 1994). El confinamiento parcial o total de las vacas por largos períodos de tiempo también aumenta la presentación de problemas podales (Greenough, 2009). Es probable que gran parte de las lesiones podales reportadas en el presente estudio estén ligadas a estos factores. La frecuencia del recorte de pezuñas y la forma de conducir los animales hasta el ordeño son también ejemplos de factores específicos de cada hato. Por otra parte, en el presente estudio pueden existir además, diferencias marcadas en el nivel de registro de eventos LP entre distintos hatos.
Se ha reportado mayor incidencia de cojeras conforme aumenta la parición (Solano et al., 2015). En dicho estudio, la prevalencia más baja de cojera se produjo en vacas de primer (14%) y segundo parto (18%), respectivamente, mientras que las vacas con cuatro o más partos tuvieron una prevalencia de 32%, y la prevalencia más alta (38%) fue para las vacas con siete o más partos. Según Espejo et al. (2006) y Sarjokari et al. (2013) las vacas más viejas son más grandes, están predispuestas a la recaída de ciertas lesiones podales, y han estado expuestas por mayores intervalos de tiempo en comparación con las vacas más jóvenes. Se sugiere además que, a mayor número de partos, existe una disminución en el grosor de la zona amortiguadora, lo que causa lesiones en los pies tales como úlceras de la suela y enfermedad de la línea blanca (Espejo et al., 2006; Bicalho et al., 2009).
En el presente estudio las vacas más viejas (≥7 partos) presentaron un OR bajo, similar al de vacas de uno y dos partos. Cabe señalar que en esta categoría están las vacas que han permanecido en el hato hasta edad avanzada, generalmente por su mejor rendimiento y mayor resistencia a enfermedades, lo que puede haber influido en este resultado. Al tratarse de un estudio observacional, la distribución etárea de la población se puede ver afectada por sesgos de selección (Law et al., 2012). En este caso, las vacas con problemas de salud tienden a abandonar el hato o ser descartadas a edades más tempranas.
La mayor propensión a LP de las vacas Holstein ha sido también reportada en otros estudios. Las probabilidades de aparición de cojeras en hatos con predominancia de raza Holstein tendieron a ser mayores que en hatos con razas combinadas (Ranjbar et al., 2016). Las vacas Jersey y el ganado cruzado presentaron un menor riesgo de cojera en comparación con las vacas Holstein (Alban, 1995; Baranski et al, 2008; Barker et al., 2010). Se sugiere que las pezuñas del ganado lechero Holstein-Friesian están más predispuestas a daños con respecto a las pezuñas más pequeñas, duras y compactas de la raza Jersey (Pinsent, 1981). En rodeos lecheros neozelandeses la alta incidencia de cojeras se vinculó a una menor pigmentación de uña, lo cual es más común en ganado Holstein-Friesian que en Jersey (Chesterton et al., 1989). Otro factor que puede influir es el mayor tamaño y peso de las vacas Holstein. Se menciona que por cada 100 kg de incremento en el peso vivo se aumentan 1,9 veces los cuadros clínicos de lesiones podales (Well et al., 1993).
El aumento en incidencia de LP observado para las vacas paridas entre los meses de marzo a agosto podría estar asociado al incremento en las lluvias y la entrada de la época lluviosa. La excesiva humedad del suelo puede provocar un desgaste más rápido de la pezuña, por lo que, queda predispuesta al daño mecánico (Greenough, 2009). Esta tendencia ha sido reportada también en otros estudios (Jubb y Malmo, 1991). Por otra parte, el aumento en precipitación también puede disminuir el consumo de materia seca proveniente de los pastos y con ello reducir la proporción de fibra en la dieta, lo que puede conllevar a desbalances metabólicos (acidosis) y laminitis (Olivieri y Rutter, 2003; Luna-Tortós y Cedeño-Guerra, 2015).
Por otra parte, las tendencias interanuales pueden estar ligadas a varios factores, tanto climáticos como de manejo. Los factores climáticos pueden tener cambios notables entre distintos años o periodos. Es importante mencionar que en el periodo (1995-1999) ocurrieron afectaciones causadas por fenómenos climáticos relacionados con alta pluviosidad (IMN, 2008). La humedad presente en estos periodos pudo ser un factor predisponente para las altas incidencias de lesiones podales. Por el contrario, entre los años 2010 a 2014, se observaron tendencias a la reducción en los niveles de precipitación, lo que también pudo contribuir a la menor incidencia de LP. Otro factor a considerar es que la población de hatos no fue uniforme a lo largo de todos los periodos, sino que ha ido en aumento.
En el presente estudio el efecto más marcado se observó en el periodo de la lactancia, lo cual también ha sido reportado previamente en otros estudios. Las lesiones podales ocurrieron, en promedio, a los 72,6 días post parto (García-Bracho et al., 2009). De igual forma, en Nueva Zelanda la mayor ocurrencia de lesiones podales se dio antes de los 110 días posparto (Margerison y López, 2011).
Estos resultados pueden estar asociados a desequilibrios metabólicos originados en desórdenes nutricionales (Olivieri y Rutter, 2003). Generalmente, la vaca alcanza su pico de producción alrededor del segundo mes de lactancia, con un consecuente incremento en su consumo de concentrado. En muchas ocasiones este consumo no es regulado por un programa de adaptación, de tal modo que bruscamente se ponen a disposición del animal altas cantidades de carbohidratos fácilmente fermentables y proteínas, lo que puede conllevar a la aparición de acidosis ruminal o láctica, que a su vez, pueden afectar la circulación podal y desencadenar en casos de laminitis (Bergsten, 2003). En un estudio local realizado en veintitrés vacas de distintos hatos, se determinó un 52% de prevalencia de acidosis ruminal no aguda y un 13% de acidosis aguda (Luna-Tortós y Cedeño-Guerra, 2015).
A nivel local, a pesar de que la mayoría de las explotaciones tienen acceso a pastoreo durante todo el año, existe también una alta dependencia del concentrado. En un estudio con 1086 hatos, el suministro promedio de concentrado fue de 4,5 kg por vaca por día, con una producción de 10,9 kg de leche (Vargas-Leitón et al., 2013), lo que implica una relación promedio de leche:concentrado de 2,5:1, que sin duda es alta. Lo anterior sugiere que muchas de las lesiones podales observadas en el presente estudio podrían tener también un origen nutricional. Los problemas de laminitis de origen nutricional son causados principalmente por sustancias producidas por alteración en el proceso de fermentación ruminal, y en menor frecuencia, por sustancias tóxicas presentes en los alimentos mal ensilados o conservados (Olivieri y Rutter, 2003). Otras prácticas nutricionales que se han mencionado como asociadas a problemas de laminitis son: dietas bajas en fibra total y efectiva, pasturas tiernas en crecimiento rápido, bajo consumo de pasturas, dietas muy altas en silo de maíz picado fino, dietas altas en concentrado y alimentación de concentrado y pasto por separado (Olvieri y Rutter, 2003).
Se menciona además que los cambios en el puerperio y el inicio de la actividad ovárica conllevan a una mayor interacción entre las vacas, así como a cambios de comportamiento y suspensión del apetito (Greenough, 2009). Como parte de la actividad sexual las vacas se montan entre sí, lo que puede ser una factor que determine la aparición de lesiones podales, sobretodo si los pisos e instalaciones no son los más adecuados. Por el contrario, después del décimo mes posparto una gran parte de las vacas están secas y en la mayoría de los casos reducen marcadamente su desplazamiento dentro de la finca, por lo que, están menos propensas a sufrir lesiones podales por trauma.
Se ha reportado una mayor incidencia de lesiones podales en rodeos lecheros de alta producción con manejo intensivo, en los cuales existía un mayor confinamiento y una mayor densidad animal (Greenough, 2009). Una prevalencia de cojeras de 33% en hatos grandes (299±57 vacas) y 28,7% en hatos pequeños (28±19 vacas) fueron reportados en Chile (Flor y Tadich, 2008). La mayor densidad en hatos grandes puede también promover mayor interacción entre las vacas y una menor disponibilidad de espacio para el descanso, principalmente en ambientes estabulados. Las mayores poblaciones dificultan además la detección y el control de este tipo de afecciones.
Con relación al índice de heredabilidad, los valores reportados en otros estudios tienden a ser mayores. Se reportaron valores de heredabilidad para problemas podales de 0,10 y 0,22, obtenidos a partir de un modelo lineal y de umbral, respectivamente (Boettcher et al., 1998). Otro estudio encontró valores de heredabilidad para cojeras de 0,15 y 0,22, respectivamente, para ambos modelos (Weber et al., 2013). Por otra parte, se reportaron valores de heredabilidad de 0,07 para dermatitis digital, 0,09 para ulceración única, 0,10 para trastornos de pared, y 0,12 para hiperplasia interdigital (Koenig et al., 2005). Una de las razones para la baja heredabilidad de LP obtenida en el presente estudio, puede ser la gran heterogeneidad de condiciones ambientales presentes a nivel local, lo que minimiza la proporción de varianza genética aditiva en relación con la varianza fenotípica. No puede desestimarse además el posible efecto del subregistro del evento de LP.
Por otra parte, los problemas en la estimación de componentes de varianza por el modelo de umbral podrían estar ligados al algoritmo PQL. Se ha mencionado que la técnica PQL puede generar sesgos de estimación para algunos tipos de modelos mixtos lineales generalizados (Jang y Lim, 2009; Gilmour et al. 2014). Para datos agrupados de manera binaria con grupos contemporáneos pequeños en tamaño, los sesgos de estimación pueden sobrepasar el 50% (Rodríguez y Goldman, 2001). Es posible que esta sea la razón por la cual el modelo de umbral no logra una estimación congruente del efecto de ambiente permanente en el presente estudio.
Una manera de cuantificar el impacto de LP es a través de su efecto sobre los días abiertos. En el presente estudio se observó un efecto altamente significativo (P<0,0001) de LP sobre la variable días abiertos. El estimado de días abiertos para vacas sin y con evento de LP, ajustado por los demás efectos incluidos en el modelo, fue de 115,2 y 131,3 d, respectivamente; es decir, una diferencia de 16,1 d. En un estudio previo, la mediana de días abiertos fue cuarenta días más larga en vacas cojas comparadas con vacas sanas (Hernández et al., 2001). Vargas-Leitón y Cuevas-Abrego (2009) estimaron una pérdida de US$3,1, asociado a cada día abierto adicional, lo que extrapolado al presente estudio representaría una pérdida de US$48,3 por cada lactancia con evento de LP reportado. Si a esto se agrega el costo por tratamiento de la enfermedad, se obtiene que el impacto económico es de magnitud considerable, aún cuando existe subregistro del evento.
De acuerdo con los resultados del estudio los factores ambientales deben ser prioritarios en la prevención de LP. Hubo una alta variación en la incidencia de LP entre zonas y principalmente entre hatos, así como tendencia a incremento en los meses de mayor precipitación. Por lo anterior, las medidas de manejo orientadas a mejorar las condiciones de infraestructura y alojamiento, que proporcionen en la medida de lo posible un ambiente limpio y seco, pueden reducir la incidencia de LP a corto plazo. Las prácticas de manejo preventivo, tales como el recorte funcional de pezuñas al menos una vez al año, son también indispensables en las explotaciones lecheras.
Otros factores que incidieron en la propensión a LP se relacionaron con el animal, tales como la raza y composición genética, el número de parto o la etapa de la lactancia. De acuerdo con los resultados, las vacas de raza Holstein de partos intermedios en etapas tempranas de lactancia, constituyen un grupo de alta propensión a LP, por lo que, deben recibir mayor atención en programas de control de LP. El mantenimiento del nivel y calidad de fibra en la dieta, así como la adaptación paulatina al concentrado, sobretodo en la primera fase de la lactancia, puede contribuir también a la reducción de esta problemática. El nivel de carbohidratos no estructurales no debería superar el 35 a 40% de la materia seca de la ración.
Dado que el índice de heredabilidad para LP fue bajo en esta población, el progreso que puede lograrse mediante selección es lento. Sin embargo, ya que el impacto económico que tiene LP es alto, es conveniente identificar y descartar las vacas con tendencia a reincidir en LP. A nivel de hato también es importante corregir paulatinamente problemas de conformación en rasgos de pies y patas, mediante el uso de sementales mejoradores para estas características.
Alban, L. 1995. Lameness in Danish dairy cows: frequency and possible risk factors. Prev. Vet. Med. 22:213-225. doi:10.1016/0167-5877(94)00411-B
Baranski, W., T. Janowski, and S. Zdunczyk. 2008. Incidence of reproduction disorders, clinical mastitis and lameness in cross-breed HF×BW cows and Jersey cows maintained in the same conditions. Medycyna. Wet. 64:1201-1204.
Bargai, U. 2000. Lameness in a dairy herd: an epidemiologic model. The compendium of continuing education. Food Anim. Pract. 2:58-67.
Barker, Z., K.A. Leach, H.R. Whay, N.J. Bell, and D.C. Main. 2010. Assessment of lameness prevalence and associated risk factors in dairy herds in England and Wales. J. Dairy Sci. 93:932-941. doi:10.3168/jds.2009-2309
Bergsten, C. 2003. Causes, risk factors, and prevention of Laminitis and related claw lesions. Acta Vet. Scand. 98:157-166. doi:10.1186/1751-0147-44-S1-S157
Bicalho, R.C., V.S. Machado, and L.S. Caixeta. 2009. Licking in dairy cattle: Is it a debilitating disease or debilitated cattle disease? A cross-sectional study of the lameness prevalence and thickness of the digital cushion. J. Dairy Sci. 92:3175-3184. doi: 10.3168/jds.2008-1827
Boettcher, P.J., J.C. Dekkers, L.D. Warnick., and S.J. Wells. 1998. Genetic analysis of clinical lameness in dairy cattle. J. Dairy Sci. 81:1148-1156. doi:10.3168/jds.S0022-0302(98)75677-2
Cha, E., J.A. Hertl, D. Bar, and Y.T. Gröhn. 2010. The cost of different types of lameness in dairy cows calculated by dynamic programming. Prev. Vet. Med. 97:1-8. doi:10.1016/j.prevetmed.2010.07.011
Chesterton, R.N., D.U. Pfiffer, R.S. Morris, and C.M. Tanner. 1989. Environmental and behavioural factors affecting the prevalence of foot lameness in New Zealand dairy herds - a case control study. N. Z. Vet. J. 37:135-142. doi:10.1080/00480169.1989.35587
Confalonieri, O.E., A.L. Soraci, J.A. Passucci, E.M. Rodríguez, H.M. Becaluba, y M.O. Tapia. 2008. Prevalencia y detección de factores de riesgo de patologías podales y su influencia en la producción láctea en bovinos de la cuenca lechera mar y sierras de Tandil. Analecta Vet. 28:15-20.
Cook, N.B. 2003. Prevalence of lameness among dairy cattle in Wisconsin as a function of housing type and stall surface. J. Am. Vet. Med. Assoc. 223:1324-1328. doi:10.2460/javma.2003.223.1324
Espejo, L.A., M.I. Endres, and A.J. Salfer. 2006. Prevalence of lameness in high-yielding Holstein cows housed in freestall stables in Minnesota. J. Dairy Sci. 89:52-58. doi:10.3168/jds.S0022-0302(06)72579-6
Flor, E. 2006. Claudicaciones en vacas de rebaños lecheros de la décima región Chile: prevalencia, lesiones y factores de riesgo. Tesis MSc, Universidad Austral de Chile, Valdivia, CHI.
Flor, E., y N. Tadich. 2008. Claudicaciones en vacas de rebaños lecheros grandes y pequeños del sur de Chile. Arch. Med. Vet. 40:125-134. doi:10.4067/S0301-732X2008000200003
García-Bracho, D., M. Hahn, D. Pino, I. Vivas, M. Leal, y K. Clerc. 2009. Prevención de enfermedades podales mediante el recorte funcional de la pezuña al momento del secado en vacas lecheras confinadas en el trópico. Rev. Cient. (Maracaibo) 19:147-152.
Gilmour, A., R. Gogel, B. Cullis, S. Welham, and R. Thompson. 2014. ASReml user guide. Release 4.1. VSN International Ltd, Hemel Hempstead, GBR.
Green, L.E., V.J. Hedges, Y.H. Schukken, R.W. Blowey, and A.J. Packington, 2002. The impact of clinical lameness on the milk yield of dairy cows. J. Dairy Sci. 85:2250-2256. doi:10.3168/jds.S0022-0302(02)74304-X
Greenough, P. 2009. Laminitis y claudicaciones en bovinos: cómo encarar esta problemática. Inter-Medica S.A.I.C.I., Ciudad Autónoma de Buenos Aires, ARG.
Harris, D.J., C.D. Hibburt, G.A. Anderson, P.J. Younis, D.H. Fitspatrick, A.C. Dunn, I.W. Parsons, and N.R. McBeath. 1988. The incidence, cost and factors associated with foot lameness in dairy cattle in south-western Victoria. Aust. Vet. J. 65:171-176. doi:10.1111/j.1751-0813.1988.tb14294.x
Hernandez, J., J.K. Shearer, and D.W. Webb. 2001. Effect of lameness on the calving-to-conception interval in dairy cows. J. Am. Vet. Med. Assoc. 218:1611-1614. doi:10.2460/javma.2001.218.1611
Holdridge, L. 1987. Ecología basada en zonas de vida. Instituto Interamericano de Ciencias Agrícolas, San José, CRC.
IMN (Instituto Meteorológico Nacional). 2008. Clima, variabilidad y cambio climático en Costa Rica. Segunda Comunicación Nacional. INM, San José, CRC.
Jang, W., and J. Lim. 2009. A numerical study of PQL estimation biases in generalized linear mixed models under heterogeneity of random effects. Commun Stat.-Simul. C. 38:692-702. doi:10.1080/03610910802627055
Jubb, T., and J. Malmo.1991. Lesions causing lameness requiring veterinary treatment in pasture-fed dairy cows in east Gippsland. Australian Vet. J. 68:21-24. doi:10.1111/j.1751-0813.1991.tb09836.x
Kleinbaum, D., and M. Klein. 2010. Logistic regression a self-learning text. Statistics for biology and health. 3rd ed. Springer, NY, USA.
Koenig, S., A.R. Sharifi, H. Wentrot, D. Landmann, M. Eise, and H. Simianer. 2005. Genetic parameters of claw and foot disorders estimated with logistic models. J. Dairy Sci. 88:3316-3325. doi:10.3168/jds.S0022-0302(05)73015-0
Law, G.R., Baxter, P.D., and M.S. Gilthorpe. 2012. Selection bias in epidemiological studies. En: T. Yu-Kan, and D.C. Greewood, editors, Modern methods for epidemiology. Springer Science & Business Media, Dordrecht, HOL. p. 57-91.
Leonard, F.C., J. O’Connell, and K. O’Farrell. 1994. Effect of different housing conditions on behaviour and foot lesions in Friesian heifers. Vet. Rec. 134:490-494. doi:10.1136/vr.134.19.490
Luna-Tortós, C., y H. Cedeño-Guerra. 2015. Prevalencia e impacto de las enfermedades metabólicas en hatos lecheros de Costa Rica. Presentado en: XXI Congreso Nacional Lechero. 20 oct-21 oct., San José, CRC. Presentación 4.
Margerison, J., and C. López. 2011. Survey of individual cow records to identify factors associated with lameness in three farms in New Zealand. Presented at: 16th Symposium and 8th Conference on lameness in ruminants. 28 Feb.-3 Mar., Rotorua, NZL.
Molina, L.R., A.U. Carvalho, E.J. Facury-Filho, P.M. Ferreira, e V.C.P. Ferreira. 1999. Prevalência e classificação das afecções podais em vacas lactantes na bacia leiteira de Belo Horizonte, Brasil. Arq. Bras. Med. Vet. Zootec. 29:905-909. doi:10.1590/S0102-09351999000200004
Olivieri, G.O., y B. Rutter. 2003. Afecciones podales en bovinos. Monografía final del curso Nutrición en la Intensificación. Sitio Argentino de Producción Animal, ARG. http://www.produccion-animal.com.ar/sanidad_intoxicaciones_metabolicos/patologias_pezunas/61-afecciones_podales.pdf (consultado 09 jun. 2015).
Parker-Gaddis, K.L., J.B. Cole, J.S. Clay, and C. Maltecca. 2012. Incidence validation and relationship analysis of producer-recorded health event data from on-farm computer systems in the United States. J. Dairy Sci. 95:5422-5435. doi: 10.3168/jds.2012-5572
Pérez, E., M.T. Baayen, E. Capella, and H. Barkema. 1989. Development of a livestock information system for Costa Rica. In: H. Kuil et al., editors, Livestock production and diseases in the tropics. Proceedings of the 4th International Conference. Institute for Tropical Veterinary Medicine, Utrecht, HOL. p. 221-224.
Pinsent, P. 1981. The management and husbandry aspects of foot lameness in cattle. Bovine Pract. 16:61-64.
Ranjbar, S., A. Rabiee, A. Gunn, and J.K. House. 2016. Identifying risk factors associated with lameness in pasture-based dairy herds. J. Dairy Sci. 99:7495-7505. doi:10.3168/jds.2016-11142
Rodríguez, G., and N. Goldman. 2001. Improved estimation procedures for multilevel models with binary response: A case study. J. R. Statist. Soc. A. 164:339-355. doi:10.1111/1467-985X.00206
Rowlands, G., and S. Lucey. 1986. Changes in milk yield in dairy cows associated with metabolic and reproductive disease and lameness. Prev. Vet. Med. 4:205-222. doi:10.1016/0167-5877(86)90024-3
Rutter, B. 2009. Importancia del pie bovino en el tambo. Academia Nacional de Agronomía y Veterinaria, Buenos Aires, ARG.
Sarjokari, K., K. Kaustell, T. Hurme, T. Kivinen, A. Peltoniemi, H. Saloniemi, and P. Rajala-Schultz. 2013. Prevalence and risk factors for lameness in insulated free stall barns in Finland. Liv. Sci. 156:44-52. doi:10.1016/j.livsci.2013.06.010
SAS. 2009. The SAS system for Windows. Release 9.4. SAS Inst., Cary, NC, USA.
Shearer, J.K., S.R. Van-Amstel, and A. González. 2005. Manual of foot care in cattle. Hoard’s Dairyman Books, WI, USA.
Solano, L., H.W. Barkema, E.A. Pajor, S. Mason, S.J. LeBlanc, J.C. Zaffino-Heyerhoff, C.G.R. Nash, D.B. Haley, E. Vasseur, D. Pellerin, J. Rushen, A.M. de-Passillé, and K. Orsel. 2015. Prevalence of lameness and associated risk factors in Canadian Holstein-Friesian cows housed in freestall barns. J. Dairy Sci. 98:6978-6991. doi:10.3168/jds.2015-9652
Tranter, W.P., and R.S. Morris. 1991. A case study of lameness in three dairy herds. N. Z. Vet. J. 39:88-96. doi:10.1080/00480169.1991.35668
VanRaden, P.M., M.E. Tooker, J.B. Cole, G.R. Wiggans, and J.H. Megonigal. 2007. Genetic evaluations for mixed-breed populations. J. Dairy Sci. 90:2434-2441. doi:10.3168/jds.2006-704
Vargas, B., y J. Ulloa. 2008. Relación entre curvas de crecimiento y parámetros reproductivos en grupos raciales lecheros de distintas zonas agroecológicas de Costa Rica. Liv. Res. Rural Dev. 20(8) Art. 122. http://www.lrrd.org/lrrd20/8/varg20122.htm
Vargas-Leitón, B., y M. Cuevas-Abrego. 2009. Modelo estocástico para estimación de valores económicos de rasgos productivos y funcionales en ganado lechero. Agrociencia 43:881-893.
Vargas-Leitón, B., O. Solís-Guzmán, F. Saénz-Segura, y H. León-Hidalgo. 2013. Caracterización y clasificación de hatos lecheros en Costa Rica mediante análisis multivariado. Agron. Mesoam. 24:257-275. doi:10.15517/am.v24i2.12525
Vermunt, J.J., and T.J. Parkinson. 2002. Claw lameness in dairy cattle: New Zealand based research. N. Z. Vet. J. 50:88-89. doi:10.1080/00480169.2002.36276
Weber, A., E. Stamer, W. Junge, and G. Thaller. 2013. Genetic parameters for lameness and claw and leg diseases in dairy cows. J. Dairy Sci. 96:3310-3318. doi:10.3168/jds.2012-6261
Well, S.J., A.M. Trent, W.E. Marsh, P.G. McGovern, and R.A. Robinson. 1993. Individual cow risk factors for clinical lameness in lactating dairy cows. Prev. Vet. Med. 17:95-109. doi:10.1016/0167-5877(93)90059-3
Zwald, N.R., K.A. Weigel, Y.M. Chang, R.D. Welper, and J.S. Clay. 2004. Genetic selection for health traits using producer-recorded data. I. Incidence rates, heritability estimates, and sire breeding values. J. Dairy Sci. 87:4287-4294. doi:10.3168/jds.S0022-0302(04)73573-0

Factores genéticos y ambientales que inciden en lesiones podales del ganado lechero en Costa Rica by Agronomía Mesoamericana is licensed under a Creative Commons Attribution-NonCommercial-NoDerivs 3.0 Costa Rica License.
Based on a work at http://revistas.ucr.ac.cr/index.php/agromeso/index.
Permissions beyond the scope of this license may be available at pccmca@ucr.ac.cr