Agron. Mesoam. 29(2):325-341. Mayo-agosto, 2018

ISSN 2215-3608, doi:10.15517/ma.v29i2.29511

http://www.revistas.ucr.ac.cr/index.php/agromeso

Respuesta foliar y radical del maíz a la fertilización biológica-química en un suelo Luvisol

Foliar and radical response of maize to biological-chemical fertilization in a Luvisol soil

David Montejo-Martínez2, Fernando Casanova-Lugo2, Martín García-Gómez3, Iván Oros-Ortega2, Víctor Díaz-Echeverría2, Emilio Raymundo Morales-Maldonado4

Resumen

Una alternativa para sustituir el uso excesivo de fertilizantes químicos es el empleo de microorganismos del suelo. Usar bacterias fijadoras de nitrógeno (N) y hongos formadores de micorrizas puede mejorar el crecimiento de diferentes cultivos. El objetivo de este trabajo fue evaluar la influencia de Rhizophagus intraradices y Azospirillum brasilense, y la adición de fertilizantes químicos sobre la respuesta foliar y radical en el cultivo de maíz en suelo Luvisol. El estudio se realizó de octubre 2014 a enero de 2015 en el Instituto Tecnológico de la Zona Maya del Estado de Quintana Roo, México. Se estableció un cultivo de maíz con un diseño de bloques completos al azar, y cuatro tratamientos con cuatro repeticiones: micorriza y Azospirillum (MA), micorriza y Azospirillum + fertilizante químico 50% (MA + FQ50%), fertilizante químico 100% (FQ100%) en dosis de 142–70–00 kg/ha y un testigo. Se midió la altura y diámetro del tallo de las plantas. Además, se monitoreó el número y longitud de raíces por medio de la técnica del minirrizotrón en cinco profundidades a diferentes edades de las plantas. Al final del periodo experimental se cuantificó la biomasa foliar y radical. Los tratamientos de FQ100% y MA+FQ50% presentaron mayor altura total y diámetro del tallo de las plantas. Estos mostraron el mayor número y longitud de raíces finas, en comparación con los demás tratamientos. No obstante, el tratamiento con MA+FQ50% mantuvo la mayor cantidad de biomasa al final del cultivo.

Palabras clave: fertilidad del suelo, biomasa, microorganismo, dinámica de raíces, Zea mays L.

Abstract

An alternative to replace the excessive use of chemical fertilizers is the use of soil microorganisms. In this regard, using nitrogen fixing bacteria (N) and mycorrhizal fungi may improve the growth of different crops. The objective was to evaluate the influence of Rhizophagus intraradices and Azospirillum brasilense, as well as the addition of chemical fertilizers on foliar and root response of maize crop in Luvisol soil. The study was conducted from October 2014 to January 2015 at the Technological Institute of the Mayan Zone, Quintana Roo, Mexico. A corn culture was established by a randomized complete block design, and four treatments with four replicates: Mycorrhiza and Azospirillum (MA), Mycorrhiza and Azospirillum + 50% chemical fertilizer, (MA + FQ50%), 100% chemical fertilizer FQ100%) in doses of 142-70-00 kg / ha and a control. Stem height and diameter of the plants were measured. In addition, the number and length of roots were monitored by means of the minirhizotron technique at five depths and at different ages of the plants. At the end of the experimental period, leaf and root biomass were quantified. Treatments of FQ100% and MA + FQ50% presented higher total height and higher stem diameter of the plants. Also, these showed the highest number and length of fine roots, compared to the other treatments. However, treatment with MA + FQ50% kept the highest amount of biomass at the end of the crop.

Keywords: soil fertility, biomass, microorganisms, root dynamics, Zea mays L.

1 Recibido: 26 de junio, 2017. Aceptado: 16 de noviembre, 2017. Este trabajo formó parte de los resultados de la tesis de ingeniería en agronomía del primer autor y de un proyecto financiado con recursos propios del Instituto tecnológico de la Zona Maya, México.

2 Instituto Tecnológico de la Zona Maya, Tecnológico Nacional de México. Carretera Chetumal-Escárcega Km 21.5 Ejido Juan Sarabia, C.P. 77965, Quintana Roo, México. dmarmolejo01@hotmail.com, fernando215_45@hotmail.com, ivanoros@hotmail.com, vdecheverria@gmail.com

3 Instituto Tecnológico Superior de Champotón, Tecnológico Nacional de México. Carretera Champotón - Isla Aguada Km. 2, Col. El Arenal, CP. 24400, Champotón, Campeche, México. mggomez@hotmail.com

4 Instituto Tecnológico Superior de Huichapan, Tecnológico Nacional de México. Dom. Conocido s/n., El Saucillo, Municipio de Huichapan, Hidalgo, México. ermorales@iteshu.edu.mx (autor para correspondencia).

Introducción

En México, el maíz (Zea mays L.) junto con la calabaza (Cucurbita pepo L.), el frijol (Phaseolus vulgaris) y el chile (Capsicum annuum), constituyen unidades de producción que fueron la base de la alimentación en Mesoamérica (Molina y Córdova, 2006). En el país, el cultivo de maíz es crucial para la seguridad alimentaria familiar, pero aún se requiere aumentar su productividad. El déficit anual en la producción de maíz alcanza los diez millones de dólares, y el gasto es de US $2,5 mil millones al año. La importación de maíz amarillo cubre un tercio del consumo total nacional y proviene principalmente de Estados Unidos, mientras que, la mayor parte del maíz blanco es producido por tres millones de productores nacionales, y la mayoría de las unidades de producción de pequeña y mediana escalas operan a menos de 50% de su potencial (Turrent et al., 2012).

El Estado de Quintana Roo, tiene 79 926 hectáreas sembradas con maíz y un rendimiento promedio de 890 kg/ha, el cual está por debajo de la media nacional (3190 kg/ha) de producción (SAGARPA-INIFAP, 2007). Para el desarrollo óptimo de los cultivos se requiere la aplicación de fertilizantes químicos, debido a que, el suelo no proporciona los nutrientes necesarios para el crecimiento del cultivo por su naturaleza tropical. No obstante, el uso irracional de estos productos sintéticos contamina los mantos acuíferos y contribuyen a la desertificación del suelo, además afectan las funciones de los microorganismos rizosféricos que ayudan al crecimiento, desarrollo y nutrición de las plantas (Caamal-Maldonado et al., 2001).

El incremento del uso de los fertilizantes, fuentes de energía no renovables, se convirtió en un factor limitante para aumentar los rendimientos agrícolas (Dibut, 2005). Se necesitan 1,3 mg de combustible para fijar 1 mg de nitrógeno atmosférico (N2), con alta presión y temperatura a través del proceso industrial de Haber-Bosch, para obtener fertilizantes químicos nitrogenados. Para producir los 77 millones de mg de fertilizantes nitrogenados usados cada año en el mundo se requieren 100 millones de miligramos de combustible. Además, en el año 2020 solo para la producción de cereales se estima serán requeridos 160 millones de mg de fertilizante nitrogenado (Dibut y Martínez, 2006). Por tanto, la producción industrial de fertilizantes no puede satisfacer las necesidades del mercado, cuando su aplicación en exceso conduce a diversos problemas de contaminación del suelo, el agua subterránea, la eutrofización de los lagos y las emisiones de óxido nitroso (N2O), que contribuyen al efecto invernadero atmosférico (Armenta-Bojórquez et al., 2010).

Una alternativa para sustituir el uso excesivo de fertilizantes químicos es el empleo de microorganismos del suelo. Al respecto, usar bacterias fijadoras de nitrógeno (N) y hongos formadores de micorrizas mejoran el crecimiento de diferentes cultivos (Robles y Barea, 2004; Díaz et al., 2008). Los hongos formadores de micorrizas arbusculares (MA) son los más utilizados como bioinoculantes en la agricultura, ya que favorecen la absorción de nutrimentos esenciales como fósforo, nitrógeno y agua, y brindan protección a la planta contra organismos patógenos (Smith y Read, 2008). La inoculación de maíz, trigo y sorgo con bacterias nitrificadoras del género Azospirillum aumentó el rendimiento de 20 a 70% en promedio, en varias regiones agronómicas de México (Dobbelaere et al., 2002).

Los sistemas radicales son difíciles de estudiar, debido a su entorno subterráneo, la complejidad de su interacción con el medio y la diversidad funcional. No existe una metodología estandarizada y precisa para estudiar raíces, lo que dificulta la comprensión de las funciones y respuestas de los sistemas radicales (Pierret et al., 2005). La combinación entre la complejidad de los sistemas radicales y de limitantes metodológicos, traen como consecuencia un conocimiento limitado y fragmentado. Es necesario estudiar los sistemas radicales de las plantas a través de métodos no destructivos. El minirrizotrón es una herramienta de estudio no destructiva que permite la repetición de observaciones de una gran cantidad de raíces a lo largo del tiempo (Johnson et al., 2001). Su uso permite examinar procesos biológicos: 1) desarrollo de la raíz en el perfil del suelo (Liedgens et al., 2000), 2) movimiento radical (Pregitzer et al., 2008), 3) parasitismo radical (Eizenberg et al., 2005), y 4) proliferación de hifas de hongos (Vargas y Allen, 2008).

Los inoculantes simbióticos como hongos micorrízicos arbusculares y bacterias, y la adición de fertilizantes químicos en dosis medias (50% de lo recomendado), pueden favorecer el crecimiento aéreo y de raíces de plantas de maíz. El objetivo del presente estudio fue evaluar la influencia de Rhizophagus intraradices y Azospirillum brasilense, y la adición de fertilizantes químicos sobre la respuesta foliar y radical en el cultivo de maíz en suelo Luvisol.

Materiales y métodos

El estudio se realizó de octubre 2014 a enero de 2015 en el Instituto Tecnológico de la Zona Maya del Estado de Quintana Roo, ubicado en el Ejido Juan Sarabia, km 21,5 carretera Chetumal-Escárcega; en 18° 30’ 57,2” N y 88° 29’ 21,04” O (INEGI, 2014). En la zona de estudio el clima está clasificado como cálido con lluvias en verano (Aw1), temperatura media entre 18,8 ºC y 33 ºC y precipitación anual de 1100 a 1300 mm con estación de lluvia de mayo a noviembre (García, 2004). En el Cuadro 1 se muestran los valores promedio de los análisis realizados en dos muestras de suelo tipo Luvisol del sitio.

Cuadro 1. Análisis físicoquímico de muestras de suelo Luvisol tomadas a una profundidad de 0 a 30 cm en el mes de octubre de 2014 en el Instituto Tecnológico de la Zona Maya, en el sur de Quintana Roo, México.

Table 1. Physicochemical analysis of Luvisol soil samples taken at a depth of 0 to 30 cm in October 2014, at the technological Institute of the Mayan Zone in the south of Quintana Roo, Mexico.

La siembra se realizó de forma manual a espeque en temporal, en suelo húmedo. La separación entre surcos fue de 0,80 m y entre plantas de 0,20 m, una semilla por cepa. Se utilizó semilla de maíz mejorado VS-536, el cual es un híbrido comercial utilizado por los productores del sur y sureste de México, y que representa más del 60% de la superficie cultivable de maíz en el Estado de Quintana Roo. Esta variedad presenta un rendimiento esperado que va de 1,5 a 5,5 t/ha en condiciones de temporal (SAGARPA-INIFAP, 2007). Las semillas fueron sembradas a una densidad de población aproximada de 62 500 plantas por hectárea.

Para el estudio se empleó un diseño de bloques completos al azar (DBCA) con cuatro tratamientos y cuatro repeticiones. Cada unidad experimental consistió de 4 x 4 m (16 m2), donde la parcela útil estuvo en el centro de la unidad experimental, para evitar el efecto de borde. Los tratamientos fueron: 1) Azospirillum y micorrización con R. intraradices (MA); 2) Azospirillum y micorrización con R. intraradices + fertilización química al 50% (MA+FQ50%); 3) fertilización química al 100% (FQ100%), y 4) control (sin fertilización e inoculación).

Fertilización

La aplicación del fertilizante biológico se realizó bajo condiciones protegidas, para ello la semilla de maíz se humedeció con un adherente; en 250 ml de agua se agregó el adherente y se agitó para obtener una mezcla homogénea. Seguido se aplicó la bacteria y después el hongo micorrízico, en dosis de 1,0 kg R. intraradices y 350 g A. brasilense en 20 kg de semilla, a temperatura menor de 30 °C (Aguirre-Medina, 2006). Para la aplicación de fertilizante químico se utilizó una dosis de 142–70–00 kg/ha, que representa el 100%, para ello, se aplicó una fuente de fertilizante de fosfato diamónico (DAP) más urea. El 50% de N se aplicó a los trece días después de siembra (DDS) y el 100% de P, y el 50% de N faltante se aplicó a los 50 DDS.

Variables de respuesta

La altura de la planta se obtuvo con un flexómetro, desde el nivel del suelo hasta el ápice de la planta. El diámetro del tallo se obtuvo con un vernier electrónico de precisión. Estos datos se tomaron en las dos hileras centrales de cada parcela, a los 30, 60 y 90 DDS.

El crecimiento y dinámica de raíces se determinó a través de un minirrizotrón (Figura 1), el cual es un método in situ no destructivo (Johnson et al., 2001). Con este método se puede conocer el crecimiento de las raíces en diferentes edades y profundidades del suelo en el cultivo de maíz. Los parámetros de medición utilizados fueron el número y la longitud de raíces finas por cm2 de suelo. La instalación de este equipo fue en el centro de cada parcela y se insertó un tubo de PVC de 6,35 cm de diámetro a una inclinación de 45°. Cada tubo contó con cinco agujeros de 5,08 cm de diámetro, donde se tomaron las muestras de raíces. Dichos tubos se instalaron quince días después de la emergencia del maíz. Posteriormente, se dejó un periodo de adaptación de quince días antes de iniciar las mediciones de raíces. Las profundidades de medición fueron de 0-10 cm, 10-20 cm, 20-30 cm, 30-40 cm y 40-50 cm, equivalentes en la proyección vertical, al ángulo de 45° del tubo de PVC. A los treinta días después del establecimiento se inició la captura de imágenes con el endoscopio, el cual se introdujo dentro del tubo de PVC. Posteriormente, las imágenes se etiquetaron y almacenaron en formato JPG en un ordenador, para su posterior procesamiento con el software RootSnap® (CID Bio-Science, Inc. Version 1.2.9.30; Washington, USA).

Figura 1. Minirrizotrón elaborado a bajo costo para el muestreo de raíces de maíz, el cual está conformado por: a) receptor de imágenes (computadora portátil); b) endoscopio (hecho con PVC); c) difusor (cámara web comercial con leds) y d) pared del minirrizotrón (elaborado con PVC hidráulico).

Figure 1. Minirhizotron elaborated at low cost for sampling of roots of maize, which is integrated by: a) receiver of images (laptop); b) endoscope (made with PVC); c) diffuser (commercial webcam with leds) and d) wall of minirhizotron (made with hydraulic PVC).

La biomasa foliar y radical se cuantificó al final del periodo experimental (a los 90 DDS), por el método de extracción, esta metodología fue descrita ampliamente por Casanova et al. (2010) y consiste en remover las plantas completas del suelo a través de excavaciones manuales. La biomasa foliar y de raíces de la planta de maíz se separó y pesó con una balanza electrónica de precisión. Posteriormente, las muestras se secaron con una estufa de circulación de aire forzado a 60 °C durante 48 h, para determinar el contenido de materia seca.

Análisis estadístico

Los datos de altura de la planta, diámetro de tallo, número de hojas, biomasa foliar y de raíces, se compararon con ANDEVA de una vía; para número y longitud de raíces finas se usó un ANDEVA de dos vías y se analizó el efecto de los tratamientos y la profundidad del suelo. Las medias de los tratamientos se compararon con la prueba de Tukey (p≤0,05).

Resultados

Altura total, diámetro del tallo y número de hojas

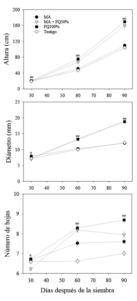
A los 30 DDS, la altura de las plantas de maíz fue similar (p<0,05) entre los tratamientos. No obstante, a los 60 DDS los tratamientos de FQ100% y MA+FQ50%, presentaron mayor crecimiento en altura (p<0,001) en comparación con el testigo y MA. Esta misma tendencia de crecimiento se mantuvo a los 90 DDS (Figura 2). Con respecto al diámetro del tallo se encontró que, a los treinta días, los tratamientos mostraron diferencias significativas (p=0,015), debido a que el tratamiento MA presentó el mayor diámetro del tallo en comparación a los demás tratamientos. A los noventa días se observó un incrementó en el diámetro para los tratamientos FQ100% y MA+FQ50%, presentaron diferencias (p<0,001) con los tratamientos MA y Testigo (Figura 2). A los treinta días el número de hojas presentó diferencia significativa (p =0,05) entre los tratamientos, donde el tratamiento FQ100% presentó mayor número de hojas en comparación con los tratamientos MA+FQ50% y Testigo. Pero el tratamiento FQ100% fue igual en el número de hojas que en el tratamiento MA. A los sesenta días los tratamientos mostraron diferencias significativas (p<0,001), debido a que, las plantas de los tratamientos FQ100% y MA+FQ50% mostraron mayor número de hojas que las del resto de los tratamientos. Sin embargo, a los noventa días los tratamientos produjeron diferencias significativas (p<0,001), ya que, el tratamiento FQ100% produjo un mayor número de hojas que los otros tratamientos (Figura 2).

Figura 2. Crecimiento en altura total, diámetro del tallo y número de hojas promedio de plantas de maíz VS-536 con tratamientos de micorriza y Azospirillum (MA), micorriza y Azospirillum + fertilizante químico 50%, (MA + FQ50%), fertilizante químico 100% (FQ100%) en dosis de (142–70–00 kg/ha) y un testigo en un suelo Luvisol, en el periodo de octubre 2014 a enero de 2015 en el sur de Quintana Roo, México. ns= no significativo; o= p≤0,05; oo= p≤0,01.

Figure 2. Growth in total height, stem diameter and average number of leaves of VS-536 maize plants with mycorrhiza and Azospirillum (MA), mycorrhiza y Azospirillum + chemical fertilizer 50%, (MA + FQ50%), chemical fertilizer 100% (FQ100%) in doses of(142–70–00 kg/ha) and a control in a Luvisol soil, from October 2014 to January 2015 in the south of Quintana Roo, Mexico. ns = not significant; o = p≤0.05; oo = p≤0.01.

Peso de biomasa foliar y radical

La biomasa foliar al inicio del periodo experimental (30 DDS), presentó diferencias significativas entre los tratamientos (p =0,05), debido a que, el Testigo y MA+FQ50% produjeron mayor cantidad de biomasa (4,13 y 3,374 g MS/planta), en comparación con MA y FQ100% (2,411 y 2,503 g MS/planta) (Figura 3). La biomasa foliar al final del periodo experimental (90 DDS), fue diferente entre los tratamientos (p =0,05), donde MA+FQ50% presentó mayor cantidad de biomasa de forma significativa (63,157 g MS/planta), en comparación al tratamiento MA, FQ100% y Testigo con 19,38 g MS/planta, 31,142 y 36,148 g MS/planta, respectivamente (Figura 4).

Figura 3. Biomasa foliar al inicio (A) y final del periodo experimental (B) en el cultivo de maíz VS-536 con tratamientos de micorriza y Azospirillum (MA), micorriza y Azospirillum + fertilizante químico 50% (MA + FQ50%), fertilizante químico 100% (FQ100%) en dosis de (142–70–00 kg/ha) y un testigo en un suelo Luvisol, a los 30 y 90 días después de la siembra, en el periodo de octubre 2014 a enero de 2015 en el sur de Quintana Roo, México.

Figure 3. Aboveground biomass at the beginning (A) and and at the end of the experimental period (B) in the VS-536 corn crop with treatments of mycorrhiza and Azospirillum (MA), mycorrhiza and Azospirillum + chemical fertilizer 50% (MA + FQ50%), chemical fertilizer 100% (FQ100%) in doses of (142–70–00 kg/ha) and a control in a Luvisol soil, at 30 and 90 days after sowing from October 2014 to January 2015 in the south of Quintana Roo, Mexico.

Figura 4. Biomasa radical al inicio (A) y final del periodo experimental (B) en el cultivo de maíz VS-536 con tratamientos de micorriza y Azospirillum (MA), micorriza y Azospirillum + fertilizante químico 50% (MA + FQ50%), fertilizante químico 100% (FQ100%) en dosis de (142–70–00 kg/ha) y un testigo en un suelo luvisol, a los 30 y 90 días después de la siembra, en el periodo de octubre 2014 a enero de 2015 en el sur de Quintana Roo, México.

Figure 4. Belowground biomass at the beginning (A) and at the end of the experimental period (B) in the VS-536 corn crop with treatments of mycorrhiza and Azospirillum (MA), mycorrhiza and Azospirillum + chemical fertilizer 50% (MA + FQ50%), chemical fertilizer 100% (FQ100%) in doses of (142–70–00 kg/ha) and a control in a Luvisol soil, at 30 and 90 days after sowing, from October 2014 to January 2015 in the south of Quintana Roo, Mexico.

En relación con la biomasa radicular al inicio del periodo experimental (30 DDS), presentó diferencias significativas entre los tratamientos (p =0,074); los tratamientos Testigo y MA+FQ50% produjeron en las plantas mayor cantidad de biomasa radical (0,381 y 0,355 g MS/planta), que con los tratamientos MA y FQ100%, quienes presentaron 0,221 y 0,297 g MS/planta, respectivamente (Figura 4).

La biomasa radical al final del periodo experimental (90 DDS), fue diferente entre los tratamientos (p= 0,017), donde MA+FQ50% presentó la mayor cantidad con 15,32 g MS/planta, mientras que, los tratamientos MA, FQ100% y Testigo, presentaron 2,651, 5,15 y 5,531 g MS/planta, respectivamente (Figura 4).

Tasa de crecimiento relativo del cultivo (foliar y radicular)

La tasa de crecimiento relativo (TCR) en la biomasa foliar, en el periodo de 30 y 90 DDS fue diferente entre los tratamientos (p =0,028). Las plantas de los tratamientos MA+FQ50% y FQ100%, presentaron mayor TCR (46,9 y 41,3 mg/g planta), en comparación con los tratamientos MA y Testigo (33,1 y 33,8 mg/g planta, respectivamente) (Figura 5). Con relación al resultado de los tratamientos MA+FQ50% y FQ100% que presentaron mayor TCR, y de acuerdo con lo observado en MS en biomasa foliar, debe atribuirse que los nutrientes son requeridos por la planta para un adecuado desempeño del aparato fotosintético (Sánchez-Torres et al., 2012; Aguilar-Carpio et al., 2015). Esto indica que la maquinaria fotosintética es más eficiente en la producción de MS durante el desarrollo del cultivo por efecto del nitrógeno y biofertilizante (Naresh y Singh, 2001).

Figura 5. Tasa de crecimiento relativo en la biomasa foliar (A) y radicular (B) en el cultivo de maíz VS-536 con tratamientos micorriza y Azospirillum (MA), micorriza y Azospirillum + fertilizante químico 50% (MA + FQ50%), fertilizante químico 100% (FQ100%) en dosis de (142–70–00 kg/ha) y un testigo en un suelo Luvisol, en un periodo de treinta a noventa días después de la siembra, en el periodo de octubre 2014 a enero de 2015 en el sur de Quintana Roo, México.

Figure 5. Relative growth rate in aboveground (A) and belowground biomass (B) in VS-536 corn crop with treatments mycorrhiza and Azospirillum (MA), mycorrhiza and Azospirillum + chemical fertilizer 50% (MA + FQ50%), chemical fertilizer 100% (FQ100%) in doses of (142–70–00 kg/ha) and a control in a soil Luvisol, from 30 to 90 days after sowing, from October 2014 to January 2015 in the south of Quintana Roo, Mexico.

La tasa de crecimiento relativo en raíz, en el periodo de 30 y 90 DDS, fue diferente entre tratamientos (p= 0,023). Las plantas de los tratamientos MA+FQ50% y FQ100%, presentaron mayor TCR (59,3 y 46,2 mg/g planta), en comparación con las de los tratamientos MA y Testigo, aunque FQ100% no se diferenció estadísticamente de MA y el Testigo que mostraron resultados de 9,7 y 40,4 mg/g planta, respectivamente (Figura 5).

Número y longitud de raíces finas promedio en el cultivo

El número de raíces a los 30, 45, 60 y 75 días después de la siembra, no presentó diferencias significativas entre los tratamientos, aunque presentó una ligera tendencia de crecimiento en los tratamientos MA+FQ50% y FQ100% a los 60 y 75 días. No obstante, a los noventa días los tratamientos MA+FQ50% y FQ100% presentaron mayor número de raíces (3,6 y 3 cm2), en comparación con MA y Testigo (p= 0,003), quienes presentaron valores de 1,15 y 1,2 cm2, respectivamente (Figura 6).

Figura 6. Número (A) y longitud de raíces finas promedio (B) en el cultivo de maíz VS-536 con tratamientos de micorriza y Azospirillum (MA), micorriza y Azospirillum + fertilizante químico 50% (MA + FQ50%), fertilizante químico 100% (FQ100%) en dosis de (142–70–00 kg/ha) y un testigo en un suelo Luvisol, a los 30, 45, 60, 75 y 90 días después de la siembra, en el periodo de octubre 2014 a enero de 2015 en el sur de Quintana Roo, México. ns= no significativo; o= p≤0,05.

Figure 6. Number (A) and length of fine roots (B) in VS-536 corn crop with treatments mycorrhiza and Azospirillum (MA), mycorrhiza and Azospirillum + chemical fertilizer 50% (MA + FQ50%), chemical fertilizer 100% (FQ100%) in doses of (142–70–00 kg/ha) and a control in a Luvisol soil, at 30, 45, 60, 75, and 90 days after sowing, from October 2014 to January 2015 in the south of Quintana Roo, Mexico. ns = not significant; o = p≤0,05.

La disminución del número de raíces por la inoculación de Azospirillum, como en este caso para maíz, se ha observado también en cultivos de arroz, trigo, Sorghum bicolor y S. sudanese. Con respecto a la longitud de raíces finas a los 30, 45, 60 y 75 DDS, no hubo diferencia significativa entre tratamientos; no obstante, a los 90 DDS los tratamientos mostraron diferencias significativas (p= 0,022), donde MA+FQ50% y FQ100% presentaron mayor longitud de raíces finas (1,1 y 1,2 cm/cm2), que MA y Testigo (0,6 cm/cm2) (Figura 6).

Distribución de raíces finas a diferentes profundidades

El número de raíces finas no presentó diferencias significativas (p= 0,706), debido a la interacción de profundidad del suelo (0-10, 10-20, 20-30, 30-40 y 40-50 cm), y tratamientos (MA, MA+FQ50%, FQ100% y Testigo) a los 90 DDS. El número de raíces distribuidas en vertical mostró que, a la profundidad de 0-30 cm se encontró el 75% del número total de raíces; y en la profundidad de 30-50 cm hubo un 25% del total (Figura 7). No obstante, la longitud de raíces no demostró diferencias significativas (p=0,832) por efecto de la interacción de la profundidad del suelo a 0-10, 10-20, 20-30, 30-40 y 40-50 cm, con los tratamientos (MA, MA+FQ50%, FQ100% y el Testigo) a los 90 DDS. Con relación a la longitud de raíces finas distribuidas en vertical, a profundidad de 30-50 cm hubo un 26% (Figura 7).

Figura 7. a) Distribución vertical del número (A) y longitud de raíces finas promedio (B) a diferentes profundidades y tratamientos de micorriza y Azospirillum (MA), micorriza y Azospirillum + fertilizante químico 50% (MA + FQ50%), fertilizante químico 100% (FQ100%) en dosis de (142–70–00 kg/ha) y un testigo del cultivo de maíz VS-536 en un suelo Luvisol, a los 90 días después de la siembra, en el periodo de octubre 2014 a enero de 2015 en el sur de Quintana Roo, México. ns= no significativo.

Figure 7. Vertical distribution of number (A) and length of fine roots (B) at different depths and treatments of the VS-536 maize crop of mycorrhiza and Azospirillum (MA), mycorrhiza and Azospirillum + chemical fertilizer 50% (MA + FQ50%), chemical fertilizer 100% (FQ100%) in doses of (142–70–00 kg/ha) and a control in a Luvisol soil, at 90 days after sowing, in the October 2014 to January 2015 in the south of Quintana Roo, Mexico. ns = not significant.

Discusión

Altura total, diámetro del tallo y número de hojas

Las plantas de los tratamientos con FQ100% y MA+FQ50% en cultivo de maíz de la VS-536, tuvieron mayor altura a partir de los sesenta días después de siembra, donde el factor compensatorio podría ser Azospirillum spp., que se asocia positivamente con los niveles de fertilización química (González et al., 2011). Estos resultados fueron similares a los indicados por Uribe-Valle y Dzib-Echeverría (2006), quienes encontraron que no hubo diferencias significativas en la altura de las plantas con fertilizantes y microorganismos, y señalaron que, el efecto de la biofertilización fue en razón de diferentes factores agronómicos y ambientales: temperatura, humedad, acidez y otros componentes químicos del suelo, tales como el contenido de N, P, Ca, S, Mg, Mo, Fe y Co, los cuales pueden disminuir rápidamente la población de cualquier especie microbiana edáfica introducida (Grageda-Cabrera et al., 2012).

En un estudio realizado en maíz, en el que se utilizó Glomus intraradices y Azospirillum con diferentes dosis de fertilización química, no se encontró efecto sobre la altura, que contenía únicamente fertilizante químico; las alturas observadas variaron desde 1,18 hasta 2,31 m (Uribe-Valle y Dzib-Echeverría, 2006). También al estudiar maíz en un suelo Luvisol Ródico no se observaron diferencias en rendimiento al fertilizar con químicos convencionales de 3-33-00, 26-66-00 de N-P-K y fosfato diamónico complementado con urea y plantas inoculadas con microorganismos. Los resultados positivos fueron similares a los publicados por Robles y Barea (2004), quienes al evaluar los efectos de la inoculación con Glomus intraradices y con las rizobacterias Azospirillum brasilense y Bacillus subtilis en maíz en cultivo intensivo y en un suelo aluvisol y antropisol, encontraron que la biomasa vegetal resultó mayor en los tratamientos con inoculación, al menos durante los dos primeros ciclos de cultivo.

El tratamiento con fertilización química produjo mayor diámetro de tallo en las plantas de maíz de la VS-536 en comparación con el testigo, este resultado concuerda con lo reportado por otros autores como Hernández y Chailloux (2004), quienes encontraron que en plantas de tomate se produjo mayor diámetro de tallo a los 25 DDS, cuando se inoculó con R. intraradices + A. brasilens, fertilizado en dosis de 30-25-50 kg/ha. También se han visto resultados positivos en altura de cultivos de sorgo, trigo y cebolla, evidenciando la necesidad de suministrar fertilización química, así como también microorganismos como hongos micorrízicos y bacterias para obtener efectos favorables en el crecimiento de las plantas de maíz (Pulido et al., 2003; Díaz et al., 2008; Sánchez-de-la-Cruz et al., 2008).

El maíz de la VS-536 presentó mayor número de hojas en el tratamiento FQ100% a partir de los 30 DDS, seguido de MA+FQ50% a los 60 DDS. En dosis de 160 kg N/ha las plantas de maíz presentaron mayor número de hojas (Boomsma et al., 2009; Aguilar-Carpio et al., 2015), esto indica que, el aumento de N incrementó el número de hojas, lo cual tiene relación con el crecimiento, y dependencia de cantidad de hojas que efectúan fotosíntesis (Woo et al., 2004). Otros estudios confirmaron que, la disminución de número de hojas se relaciona con niveles bajos de fósforo en el suelo (Roveda y Polo, 2007). En el caso de los hongos micorrízicos, se ha visto que la actividad fotosintética se incrementa después de la colonización (Sylvia, 2005). No obstante, el efecto positivo del biofertilizante pudo deberse al estímulo del desarrollo de la raíz y, en consecuencia, a una mayor tasa de absorción de agua y nutrientes (Dobbelaere et al., 2002; Aguirre-Medina et al., 2014; Aguilar-Carpio et al., 2015).

Peso de biomasa foliar y radical

El tratamiento con adición de R. intraradices más Azospirillum y fertilización química, incrementó la producción de MS, como resultado de mayores índices de crecimiento de la planta de maíz (García et al., 2007; Aguilar-Carpio et al., 2015); esto indicó que, la respuesta al suministro de fertilización química y biofertilizante indujo un estímulo en el crecimiento vegetal (Roveda y Polo, 2007; Aguilar-Carpio et al., 2015). No obstante, el testigo presentó mayor biomasa, este mecanismo de compensación se debe a que al no aplicarse fertilización química una gran cantidad de carbohidratos se asignan a la raíz en detrimento de las hojas, es importante destacar que estos resultados solo se dan en los primeros DDS (Rao y Ferry, 1989; Pellerin y Mollier, 2001; Roveda y Polo, 2007).

La asociación de plantas de maíz de la VS-536 con R. intraradices y Azospirillum, mostraron mayores índices de crecimiento en plantas, expresados en biomasa (MS), como consecuencia de una mejor nutrición mineral por parte del hospedero, especialmente relacionada con el fósforo, que indujo a un estímulo en el crecimiento vegetal (Pecina et al., 2005; García-Olivares et al., 2007; Roveda y Polo, 2007). Con la incorporación de N en el suelo, las plantas de maíz pudieron incrementar la MS en el área foliar (Naresh y Singh, 2001; Boomsma et al., 2009; Aguilar-Carpio et al., 2015), dicho comportamiento puede deberse a que el biofertilizante estimula el desarrollo de la raíz y en consecuencia induce una mayor tasa de absorción de agua y nutrientes (Dobbelaere et al., 2001; Aguilar-Carpio et al., 2015).

La mayor biomasa radical se presentó en el testigo, debido a que, posiblemente la planta, al no tener suficientes elementos disponibles, tuvo como prioridad desarrollar un sistema radical más profundo, para explorar una mayor área de suelo que le permitiera satisfacer sus necesidades nutritivas (Hernández y Chailloux, 2004).

La mayor biomasa radical a los 90 DDS producida por el tratamiento MA+FQ50%, pudo deberse al efecto positivo del biofertilizante en un mejor desarrollo de la raíz y absorción de los nutrientes (Dobbelaere et al., 2002; Aguilar-Carpio et al., 2015). En estudios similares en sorgo, se señaló que el efecto de la micorriza y Azospirillum, pudo ser debido a la dependencia de la planta hacia los simbiontes para la absorción de nutrientes y agua, así como una mayor exploración de suelo, debido al incremento de la longitud y la profundidad del sistema radical (Díaz et al., 2008; González-Chávez et al., 2004).

Tasa de crecimiento relativo del cultivo (foliar y radicular)

Los tratamientos MA+FQ50% y FQ100% fueron los que presentaron mayor tasa de crecimiento relativa (TCR) en la biomasa foliar en el periodo de 30 y 90 DDS (Figura 5), y de acuerdo con lo observado en MS en biomasa foliar, debe atribuirse que los nutrientes son requeridos por la planta para un adecuado desempeño del aparato fotosintético (Sánchez-Torres et al., 2012; Aguilar-Carpio et al., 2015). Esto indica que la maquinaria fotosintética es más eficiente en la producción de MS durante el desarrollo del cultivo por efecto del nitrógeno y biofertilizante (Naresh y Singh, 2001).

Los tratamientos MA+FQ50% y FQ100% presentaron mayor TCR en biomasa radical, esto debido a que, por suministrar fósforo en el suelo, ambos incrementaron el peso seco de la planta y promovieron el crecimiento radical, producto de las mayores tasas en el crecimiento de raíces centrales y laterales (Roveda y Polo, 2007). Los tratamientos MA+FQ50% y FQ100%, presentaron una TCR similar y mostraron mayor capacidad para la producción de raíces y hojas, lo cual indica que fueron más eficientes en la utilización de sus fotosintatos en comparación con los otros tratamientos en estudio.

Número y longitud de raíces finas promedio en el cultivo

En el tratamiento de micorrización con G. intraradices más Azospirillum y fertilización química (MA+FQ50%), se observó un incremento en el número de raíces, debido a las ventajas adquiridas para una mayor exploración del suelo en distancia y profundidad (Sarig et al., 1992; González et al., 2004; Díaz et al., 2008). Los HMA pueden penetrar en los pequeños poros en el suelo donde los pelos radicales no tienen acceso (González-Chávez et al., 2004). Sin embargo, se observó que la inoculación con Azospirillum disminuyó el volumen de raíces, en comparación con la fertilización química (Rangel et al., 2011), esta respuesta es consecuencia de la dependencia que el cultivo de maíz tiene con los fertilizantes químicos, demostrado por Riedell (2010) y Rangel et al. (2011), quienes también señalaron que, la respuesta sinérgica entre la acumulación de MS y la concentración de N, resulta del mayor crecimiento y actividad de la raíz, y puede deberse a la fijación simbiótica del N (Postma y Lynch, 2012).

Distribución de raíces finas a diferentes profundidades

El número y longitud promedio de raíces finas en mayor cantidad se encontraron a profundidades de 0-30 cm (Figura 7), lo cual concuerda con Donoso et al. (2002), quienes en Eucalyptus globulus obtuvieron la mayor cantidad de biomasa de raíces finas en el estrato más superficial. Numerosos autores señalan que, gran parte de las raíces finas que desarrollan la función de absorber agua y nutrientes, se localizan en los horizontes más superficiales del suelo, donde la aireación y los nutrientes se encuentran en mayor cuantía (Bahtti et al., 1998; Makkonen y Helmisaari, 1998). También se evaluaron los efectos de la inoculación con Glomus intraradices y con las rizobacterias Azospirillum brasilense y Bacillus subtilis en maíz en cultivo intensivo, sobre el crecimiento vegetal y la extracción de nutrimentos, y sobre las propiedades físicas y químicas de dos suelos Luvisol y Antroposol (Robles y Barea, 2004), en donde el crecimiento y la producción de biomasa vegetal resultaron mayores por la inoculación, durante los dos primeros ciclos de cultivo.

El género Azospirillum es el más estudiado entre las bacterias asociadas a plantas, debido a su capacidad para estimular el crecimiento de las plantas y aumentar el rendimiento de los cereales, lo que ha promovido numerosos estudios sobre la ecología, fisiología y genética de las bacterias de este género. En la actualidad, su uso comercial comienza a extenderse en diferentes países, incluido México. Desde hace aproximadamente treinta años se seleccionaron bacterias con base en su potencial para la fijación de nitrógeno, la producción de sustancias reguladoras del crecimiento vegetal y la estimulación del crecimiento del cultivo de maíz en invernadero y campo (Paredes-Cardona et al., 1988). Al final de los años ochentas, se realizó la evaluación de la inoculación de maíz con Azospirillum brasilense en experimentos de campo, en la región tropical del estado de Veracruz, México y con trigo en San José Teacalco, una región templada del estado de Tlaxcala, México. Los resultados mostraron el incremento en rendimiento y contenido de N total de semilla de 13 a 32% y de 30 a 55%, respectivamente, en comparación con los tratamientos sin uso de la bacteria. Asimismo, un trabajo de ocho años de inoculación extensiva en el cultivo de maíz, en varias comunidades de Tlaxcala, Puebla, Morelos y Guerrero, demostró el incremento en rendimientos (5,8, 5,5, 4,0 y 4,0 toneladas por hectárea, respectivamente) con un ahorro del 50% de fertilizante químico nitrogenado (Mascarúa et al., 1994).

El uso de inoculantes simbióticos benéficos del suelo (hongos y bacterias), puede ser una estrategia ecológica y económica viable para mejorar la microbiota en el suelo y reducir el uso de fertilizantes químicos en los sistemas de producción agrícola en el trópico (Aguilar-Carpio et al., 2015). Además, pueden contribuir a restablecer en parte, el balance biológico de la rizósfera.

Conclusiones

El uso de microorganismos simbióticos como hongos micorrízicos arbusculares (Rhizophagus intraradices), bacterias (Azospirillum brasilense) y la adición de fertilizantes químicos en dosis medias favoreció la producción de materia seca de la parte aérea y radical, así como el crecimiento foliar y de raíces de plantas de maíz, en comparación con los tratamientos de fertilización química y biológica.

Las plantas tratadas solo con la mitad del fertilizante químico + fertilizante biológico, alcanzaron resultados similares en el diámetro, la altura del tallo, la TCR aérea y subterránea, número y la longitud de las raíces finas, en comparación con la aplicación de fertilización química convencional. Aunque aún no es posible sustituir totalmente la fertilización química, la aplicación de fertilizantes biológicos podría llegar a producir crecimientos similares en las plantas de maíz, por lo tanto, el uso de estas tecnologías podrían ser una alternativa que ayuden a disminuir la contaminación que el uso excesivo de fertilizantes químicos genera en los suelos.

Agradecimientos

Se agradece al Ing. Armando Escobedo Cabrera por su apoyo técnico en el establecimiento del proyecto, así como al Instituto Tecnológico de la Zona Maya por el financiamiento y el apoyo en el uso de las instalaciones y equipos.

Literatura citada

Aguilar-Carpio, C., J.A. Escalante, e I. Aguilar. 2015. Análisis de crecimiento y rendimiento de maíz en clima cálido en función del genotipo, biofertilizante y nitrógeno. Terra Latinoam. 33:51-62.

Aguirre-Medina, J.F. 2006. Biofertilizantes microbianos: experiencias agronómicas del Programa Nacional del INIFAP en México. Libro técnico N°2. INIFAP, Tuxtla Chico, Chiapas, MEX.

Aguirre-Medina, J.F., F.O. Mina-Briones, J. Cadena-Iñiguez, J.D. Dardón-Zunun, y D.A. Hernández-Sedas. 2014. Crecimiento de Cedrela odorata L. biofertilizada con Rhizophagus intraradices y Azospirillum brasilense en vivero. Rev. Chapingo Ser. Cienc. For. Ambient. 20:177-186. doi:10.5154/r.rchscfa.2014.01.001

Armenta-Bojórquez, A.D., C. García-Gutiérrez, J.R. Camacho-Báez, M.A. Apodaca-Sánchez, L. Gerardo-Montoya, y E. Nava-Pérez. 2010. Biofertilizantes en el desarrollo agrícola de México. Ra Ximhai 6(1):51-56.

Bahtti, J.S., N.W. Foster, and P.W. Hazlett. 1998. Fine root biomass and nutrient content in black spruce neat soil with and without alder. Can. J. Soil Sci. 78:163-169.

Boomsma, C.R., J.B. Santini, M. Tollenaar, and T.J. Vyn. 2009. Maize morphophysiological responses to intense crowding and low nitrogen availability: An analysis and review. Agron. J. 101:1426-1452.

Caamal-Maldonado, J.A., J.J. Jiménez-Osornio, A. Torres-Barragán, and L. Anaya. 2001. The use of allelopathic legume cover and mulch species for weed control in cropping systems. Agron. J. 93:27-36.

Casanova-Lugo, L.F., J. Caamal, J. Petit, F. Solorio, y J. Castillo. 2010. Acumulación de carbono en la biomasa de Leucaena leucocephala y Guazuma ulmifolia asociadas y en monocultivo. Rev. For. Venezolana 54:45-50.

Díaz, A., I. Garza, V. Pecina, y N. Montes. 2008. Respuesta del sorgo a micorriza arbuscular y Azospirillum en estrés hídrico. Rev. Fitotec. Mex. 31:35-42.

Dibut, B. 2005. Biofertilizantes como insumo en agricultura sustentable. HUMIWORM S.P.R. de R.L., La Habana, CUB.

Dibut, B., y R. Martínez. 2006. Obtención y manejo de biofertilizantes como insumos indispensables de la agricultura sostenible. Instituto de Investigaciones Fundamentales en Agricultura Tropical (INIFAT), MEX.

Dobbelaere, S., A. Croonenborghs, A. Thys, D. Ptacek, Y. Okon, and J. Vanderleyden. 2002. Effect of inoculation with wild type Azospirillum brasilense and A. irakense strains on development and nitrogen uptake of spring wheat and grain maize. Biol. Fert. Soils 36:284-297. doi:10.1007/s00374-002-0534-9

Donoso, S., F. Ruiz, y M. Herrera. 2002. Distribución y cantidad de biomasa de raíces finas en plantaciones clonales de Eucalyptus globulus. Cienc. For. 16(1-2):3-10.

Eizenberg, H., D. Shtienberg, M. Silberbush, and J.E. Ephrath. 2005. A new method for in–situ monitoring of the underground development of Orobanche cumana in sunflower (Helianthus annuss) with a minirhizotron. Ann. Bot. 96:1137-1140. doi:10.1093/aob/mci252

García, E. 2004. Modificaciones al sistema de clasificación climática de Köppen. 5ta ed. Instituto de Geografía, y Universidad Nacional Autónoma de México, México, D.F., MEX.

García-Olivares, J.G., V.R. Moreno-Medina, C. Rodríguez-Luna, A. Mendoza-Herrera, y N. Mayek-Pérez. 2007. Efecto de cepas de Azospirullum basilense en el crecimiento y rendimiento de grano del maíz. Rev. Fitotec. Mex. 30:305-310.

González, A., D. Pérez, O. Franco, A. Balbuena, F. Gutiérrez, y H. Romero. 2011. Respuesta de tres cultivares de maíz a la inoculación con Azospirillum brasilense bajo cuatro diferentes dosis de nitrógeno. Ciencia Ergo Sum 18(1):51-58.

González-Chávez, M.C.A., M.C. Gutiérrez-Castorena, y S. Wright. 2004. Hongos micorrízicos arbusculares en la agregación del suelo y su estabilidad. Terra Latinoam. 22:507-514.

Grageda-Cabrera, O.A., A. Díaz-Franco, J.J. Peña-Cabriales, y J.A. Vera-Nuñez. 2012. Impacto de los biofertilizantes en la agricultura. Rev. Mex. Cien. Agríc. 3:261-1274.

Hernández, M.I., y M. Chailloux. 2004. Las micorrizas arbusculares y las bacterias rizosféricas como alternativa a la nutrición mineral del tomate. Cultivos Trop. 25(2):5-12.

INEGI (Instituto Nacional de Estadística y Geografía). 2014. Norma para el aseguramiento de la calidad de la información estadística y geográfica del Instituto Nacional de Estadística y Geografía. INEGI, MEX. http://sc.inegi.org.mx/repositorioNormateca/norCA12Dic14.pdf (consultado 9 ene. 2018).

Johnson, M.G., D.T. Tingey, D.L. Phillips, and M.J. Storm. 2001. Advancing fine root research with minirhizotrons. Environ. Exp. Bot. 45:263-289. doi:10.1016/S0098-8472(01)00077-6

Liedgens, M., W. Richner, P. Stamp, and A. Soldati. 2000. A rhizolysimeter facility for studyng the dynamics of crop and soil processes: description and evaluation. Plant Soil. 223:87-97. doi:10.1023/A:100482581

Makkonen, K., and H.S. Helmisaari. 1998. Seasonal and yearly variations of fine root biomass and necromass in a scots pine (Pinus silvestris L.) stands. For. Ecol. Manage. 102:283-290. doi:10.1016/S0378-1127(97)00169-2

Mascarúa, M.A., J. Caballero, y M. Carcaño. 1994. Biofertilización en gramíneas. En: E. Olguín et al., editores, Tecnologías ambientales para el desarrollo sustentable. Instituto de Ecología, Xalapa, Veracruz, MEX. p. 41-45.

Molina, M.J., y L. Córdova. 2006. Recursos fitogenéticos de México para la alimentación y la agricultura: informe nacional 2006. Secretaría de Agricultura, Ganadería, Desarrollo Rural, Pesca y Alimentación, y Sociedad Mexicana de Fitogenética A.C., Chapingo, MEX.

Naresh, K.S., and C.P. Singh. 2001. Growth analysis of maize during long and short duration crop seasons: Influence of nitrogen source and dose. Indian J. Agric. Res. 35:13-18.

Paredes-Cardona, E., M. Carcaño-Montiel, M.A. Mascarúa-Esparza, y J. Caballero-Mellado. 1988. Respuesta del maíz a la inoculación con Azospirillum brasilense. Rev. Latinoam. Microbiol. 30:351-355.

Pecina, Q.V., A. Díaz, H. Williams, E. Rosales, e I. Garza. 2005. Influencia de fechas de siembra y biofertilizantes en sorgo. Rev. Fitotec. Mex. 28:389-392.

Pellerin, S., and A. Mollier. 2001. How to include mineral nutrition in crop growth models? The example of phosphorus on maize: Plant nutrition food security and sustainability of agro-ecosystems. In: W.J. Horst et al., editors, Plant nutrition: Food security and sustainability of agro-ecosystems through basic and applied research. Kluwer Academic Publishers, HOL. p. 110-111.

Pierret, A., C.J. Mora, and C. Doussan. 2005. Conventional detection methodology is limiting our ability to understand the roles and functions of fine roots. New Phytol. 166: 967-980.

Postma, J.A., and J.P. Lynch. 2012. Complementarity in root architecture for nutrient uptake in ancient maize/bean and maize/bean/squash polycultures. Ann. Bot. 110:521-534. doi:10.1093/aob/mcs082.

Pregitzer, K.S., A.J. Burton, J.S. King, and D.R. Zak. 2008. Soil respiration, root biomass, and root turnover following long-term exposure of northern forests to elevated atmospheric CO2 and tropospheric O. New Phytol. 180:153-161. doi:10.1111/j.1469-8137.2008.02564.x.

Pulido, L.E., N. Medina, y A. Cabrera. 2003. La biofertilización con rizobacterias y hongos micorrízicos arbusculares en la producción de posturas de tomate (Lycopersicon esculentum Mill.) y cebolla (Allium cepa L.). I. Crecimiento vegetativo. Cultivos Trop. 24(1):15-24.

Rangel, L.J., M.A. Rodríguez, R. Ferrera, J.Z. Castellanos, R.M. Ramírez, y E. Alvarado. 2011. Afinidad y efecto de Azospirillum sp. en maíz. Agron. Mesoam. 22:269-279. doi:10.15517/am.v22i2.8689.

Rao, I.M., and N. Ferry. 1989. Leaf phosphorus status, photosynthesis, and carbon partitioning in sugar beet. I. Changes in growth, gas exchange, and Calvin cycle enzymes. Plant Physiol. 90:814-819.

Riedell, W.E. 2010. Mineral-nutrient synergism and dilution responses to nitrogen fertilizer in field grown maize. J. Plant Nutr. Soil Sci. 73:869-874. doi:10.1002/jpln.200900218

Robles, C., y J.M. Barea. 2004. Respuesta de la planta y del suelo a inoculación con Glomus intraradices y rizobacterias en maíz en cultivo intensivo. Terra Latinoam. 22:59-69.

Roveda, G., y C. Polo. 2007. Mecanismos de adaptación de maíz asociado a Glomus spp. en suelos con bajo fósforo disponible. Agron. Colomb. 25:349-356.

Sánchez-de-la-Cruz, R., A. Díaz-Franco, V. Pecina-Quintero, I. Garza-Cano, y J. Loera-Gallardo. 2008. Glomus intraradices y Azospirillum brasilense en trigo bajo dos regímenes de humedad en el suelo. Universidad y Ciencia 24:239-245.

Sánchez-Torres, J.D, G.A. Ligarreto-Moreno, y F.R. Leiva-Barón. 2012. Variabilidad del crecimiento y rendimiento del cultivo de maíz para choclo (Zea mays L.) como respuesta a diferencias en las propiedades químicas del suelo en la sabana de Bogotá, Colombia. Rev. Fac. Nal. Agr. Medellín 65:6579-6583.

SAGARPA-INIFAP (Secretaría de Agricultura, Ganadería, Desarrollo Rural, Pesca y Alimentación–Instituto Nacional de Investigaciones Forestales Agrícolas y Pecuarias). 2007. Paquetes tecnológicos para maíz de temporal para condiciones de alto, medio y bajo potencial productivo. SAGARPA, e INIFAP, MEX.

Sarig, S., Y. Okon, and A. Blum. 1992. Effect of Azospirillum brasilense inoculation on growth dynamics and hydraulic conductivity of Sorghum bicolor roots. J. Plant Nutr. 15:805-819. doi:10.1080/01904169209364364

Smith, S.E., and D.J. Read. 2008. Mycorrhizal symbiosis. 3rd ed. Academic Press, CA, USA.

Sylvia, M.D. 2005. Mycorrhizal symbiosis. In: M.D. Sylvia, editors, Principles and applications of soil microbiology. Pearson Prentice Hall, NJ, USA. p. 263-282.

Turrent, F.A., A.W. Timothy, and E. Garvey. 2012. Achieving Mexico’s maize potential. In: F.A. Turrent, editors, Mexican rural development research reports. Woondrow Wilson International Center for Scholar, INIFAP-University of Tufts, MA, USA. p. 2-36.

Uribe-Valle, G.U., y R. Dzib-Echeverría. 2006. Micorriza arbuscular (Glomus intraradices), Azospirillum brasilense y Brassino esteroide en la producción de maíz en suelo Luvisol. Agric. Téc. Méx. 32:67-76.

Vargas, R., and M.F. Allen. 2008. Dynamics of fine root, fungal rhizomorphs, and soil respiration in a mixed temperate forest: Integrating sensores and observations. Vadose Zone J. 7:1055-1064. doi:10.2136/vzj2007.0138

Woo, J., R. Vázquez, E. Olivares, F. Zavala, R. González, R. Valdez, y C. Gallegos. 2004. Análisis de crecimiento en maíz (Zea mays L.) aplicando lodos activados y urea. Sistema de producción agropecuaria. Agrofaz 4:437-441.

Woo, J., R. Vázquez, E. Olivares, F. Zavala, R. González, R. Valdez, y C. Gallegos. 2004. Análisis de crecimiento en maíz (Zea mays L.) aplicando lodos activados y urea. Sistema de producción agropecuaria. Agrofaz 4:437-441.