Agron. Mesoam. 30(1):239-253. Enero-abril, 2019

ISSN 2215-3608, doi:10.15517/am.v30i1.32106

http://www.revistas.ucr.ac.cr/index.php/agromeso

Suplementación de gallinas ponedoras con selenio orgánico y su transferencia al huevo1

Organic selenium supplementation in layer hens and its transfer to the egg

Marisol Rodríguez-Alfaro2†, Catalina Salas-Durán3, Carlos Orozco-Vidaorreta4

1 Recibido: 21 de enero, 2018. Aceptado: 21 de mayo, 2018. Este trabajo formó parte de la tesis de licenciatura de la primera autora. Ingeniería Agronómica con énfasis en Zootecnia, Universidad de Costa Rica, San José, Costa Rica.

2 Cooperativa de Leche Dos Pinos R.L. Alajuela, Costa Rica. Q.D.D.G.

3 Universidad de Costa Rica, Escuela de Zootecnia. San José, Costa Rica. catalina.salas@ucr.ac.cr (autor para correspondencia; https://orcid.org/0000-0001-5627-6346).

4 Alltech Inc. Costa Rica. San José, Costa Rica. corozco@alltech.com (https://orcid.org/0000-0001-9504-0766).

Resumen

Introducción. El selenio es un mineral traza esencial para la salud humana y animal, forma parte de las selenoproteínas, que tienen función antioxidante, previenen y reducen el daño que causan los radicales libres en el organismo. Objetivo. El objetivo fue evaluar el efecto de la suplementación dietaria con selenio orgánico en gallinas ponedoras sobre los rendimientos zootécnicos, la calidad de huevo y su transferencia al huevo de consumo humano. Materiales y métodos. Se realizaron dos ensayos con lotes de 33 000 gallinas ISA Brown (de 32 y 40 semanas de edad) en la provincia de Alajuela, Costa Rica, durante el primer semestre del 2013. Después de un periodo control (cuatro semanas), se suplementó el alimento con 0,4 ppm de selenio orgánico (tres semanas adaptación y tres semanas enriquecimiento), y se tuvo un periodo de retiro (tres semanas). El porcentaje de postura, huevos acumulados, mortalidad, consumo de alimento, peso y masa de huevo y conversión alimenticia fueron monitoreados semanalmente; se tomó una muestra de cincuenta aves por lote para evaluar peso corporal. Se determinaron semanalmente las variables unidades Haugh, grosor de cáscara y color de yema en quince huevos frescos, quince huevos de siete días y quince huevos de catorce días de puestos. La concentración de selenio en huevo se midió en los tres periodos (seis huevos por periodo). Resultados. No se observaron variaciones en los parámetros zootécnicos atribuibles a la adición del selenio. La suplementación dietaria con selenio orgánico de gallinas ponedoras aumentó el contenido de este mineral en los huevos, el cual varió, de no ser detectado en los periodos control de ambos ensayos, a 0,14 µg/g y 0,39 µg/g, durante el periodo de suplementación de cada ensayo. El almacenamiento del huevo afectó significativamente (p<0,05) las unidades Haugh y el color de la yema en ambos ensayos; y en el ensayo 1 también afectó el peso y la masa del huevo. Conclusión. La suplementación dietaria de gallinas ponedoras con selenio orgánico puede llevar a producir huevos con valor agregado.

Palabras clave: minerales, nutrición animal, enriquecimiento, calidad.

Abstract

Introduction. Selenium is an essential trace mineral for human and animal health, is part of the selenoproteins, that have an antioxidant function, and also prevent and reduce the damage caused by free radicals in the organism. Objective. The objective was to evaluate the effect of the dietary supplementation with organic selenium in layer hens on the productive performance, egg quality and its transfer to the egg for human consumption. Materials and methods. Two trials were performed with flocks of 33 000 ISA Brown hens (of 32 and 40 weeks of age), in Alajuela province, Costa Rica, during the first semester of 2013. After a control period (four weeks), the diet was supplemented with 0.4 ppm of organic selenium (three weeks for adaptation and three weeks for enrichment), with a withdraw period (three weeks). Laying percentage, accumulated eggs, mortality, feed intake, egg weight and mass and feed conversion were monitored weekly; a sample of fifty birds per flock was used to evaluate body weight. Haugh units, shell thickness and yolk color were determined weekly in fifteen fresh eggs, fifteen seven days-old-eggs and fifteen fourteen-days-old eggs. The selenium concentration in eggs was measured in the three periods (six eggs per period). Results. No variations were observed on production performance parameters that can be attributable to the addition of the selenium. The dietary supplementation with organic selenium increased the egg content of this mineral, which varied from not being detected during the control period on both trials, to 0.14 µg/g and 0.39 µg/g during the supplementation period, respectively. The egg storage affected significantly (p<0.05) Haugh units and yolk color in both trials, and in trial 1 also affected egg weight and mass. Conclusion. Dietary supplementation of laying hens with organic selenium can lead to the production of added-value eggs.

Keywords: minerals, animal nutrition, food enrichment, quality.

Introducción

El selenio es un mineral traza esencial para la salud humana y animal. Forma parte de las selenoproteínas, las cuales presentan una actividad antioxidante, por lo que tienen como principal función prevenir y reducir el daño que causan los radicales libres en el cuerpo. Un radical libre es un átomo o molécula que contiene un electrón desapareado en su orbital más exterior. Dicho electrón hace que presente una alta inestabilidad química, confiriéndole reactividad oxidante para otras especies químicas que se encuentren cercanas, las cuales reaccionan rápidamente con esta especie (aminoácidos, carbohidratos, lípidos y ácidos nucléicos); por esa razón también son conocidas como especies reactivas, de las cuales, las más importantes a nivel celular son las derivadas del oxígeno y del nitrógeno (Gutiérrez Salinas, 2006).

El selenio actúa como cofactor de la enzima glutatión peroxidasa, que destruye los peróxidos tóxicos (especies reactivas) formados durante el metabolismo intracelular de los lípidos, los cuales conllevan a fugas del citoplasma y a la muerte celular (Morales-López et al., 2001). Este daño puede comprometer el correcto funcionamiento del sistema inmune y crear susceptibilidad a diversas enfermedades, como las enfermedades del corazón y el cáncer (MS, 2012).

En Costa Rica, en los años 2008 y 2009 el Ministerio de Salud (MS) realizó la Encuesta Nacional de Nutrición, y por primera vez evaluó el nivel de selenio en la sangre de la población adulta, se encontró un promedio de 69,6 µg/l, que indica un nivel superior al de una deficiencia de este mineral (<60 µg/l). A pesar de esto, la encuesta demostró que existe una deficiencia de selenio en el 35% de las personas adultas (MS, 2012). La concentración mínima de Se en plasma sanguíneo, varía dependiendo de la etapa fisiológica en que se encuentre la persona, pero los niveles mínimos requeridos serían: (i) >25 μg/l, para prevenir la enfermedad de Keshan, (ii) al menos >95 μg/l para maximizar la actividad de glutatión peroxidasa con un rango admisible entre 89 y 114 μg/l, aunque tradicionalmente se ha dado el valor de 70 μg/l, la cual ha sido tachado de demasiado conservador, siendo la tendencia en esta última década a admitir los primeros datos dados (López-Bellido y López-Bellido, 2013). Se considera que valores inferiores a 30 μg/l son considerados deficiencias y superiores a 900 μg/l causan toxicidad (Ashton et al., 2009).

Para prevenir o corregir una deficiencia demostrada de uno o más nutrientes en la población o en grupos específicos de la población, se utiliza la fortificación o el enriquecimiento de alimentos, medida que consiste en la adición de uno o más nutrientes esenciales a un alimento, tanto si está o no contenido normalmente en el alimento (COMIECO, 2011).

Para el caso del selenio, este enriquecimiento se puede lograr con el uso de suplementos de selenio orgánico en animales de producción, que ofrece la oportunidad de producir alimentos de origen animal, como carne, huevos y leche, enriquecidos con este mineral (Surai, 2006). En el caso específico de los huevos, estos se pueden enriquecer por medio de la suplementación de selenio orgánico en la dieta de gallinas ponedoras; ya que, añadido en forma de selenolevadura, se absorbe en forma de selenometionina, la cual se transfiere de forma efectiva al huevo (Fisinin et al., 2008). Esto generaría un incremento de selenio en la yema y este actuaría como un antioxidante en los individuos que consumen ese huevo (Morales-López et al., 2001). Además, el huevo es una excelente vía para la suplementación de selenio en la población, ya que es un alimento tradicional, accesible, de consumo regular y moderado, y es consumido por personas de todas las edades. Por lo tanto, sin cambiar los hábitos alimenticios de las personas se puede combatir la deficiencia en la población en general (Surai et al., 2003).

La adición de selenio orgánico a la dieta de gallinas ponedoras puede mejorar los parámetros que miden su desempeño productivo y las características de calidad del huevo (Lyons et al., 2007). El objetivo del presente trabajo fue evaluar el efecto de la suplementación dietaria con selenio orgánico en gallinas ponedoras, sobre los rendimientos zootécnicos, la calidad del huevo y su transferencia al huevo de consumo humano.

Materiales y Métodos

Características de las granjas y dietas

Se realizó un ensayo en dos granjas ubicadas en la provincia de Alajuela, Costa Rica, durante el primer semestre del 2013, con gallinas ponedoras de la línea genética ISA Brown. La granja Santa Eulalia se encuentra ubicada en Atenas y la granja Cañuelas en Naranjo. Se utilizó una única galera comercial para realizar cada ensayo. Cada galera está constituida de manera general por un piso de cemento, soportes laterales de metal y techos de lámina de zinc, jaulas de tres niveles con comederos al frente y tres bebederos de nipple por jaula, cada fila de jaulas cuenta con alimentación automática con cadena sin fin alimentada por un silo externo. Por tratarse de granjas diferentes, algunas características específicas de cada una se muestran en el Cuadro 1.

Cuadro 1. Características geográficas y ambientales de las granjas utilizadas para los ensayos con gallinas ponedoras, con el objetivo de evaluar el efecto de la suplementación dietaria con selenio orgánico sobre la calidad del huevo y su transferencia al huevo de mesa para darle valor agregado, en dos ensayos. Alajuela Costa Rica. 2013.

Table 1. Geographical and environmental characteristics of the farms used for the trials with laying hens, with the aim of evaluating the effect of organic selenium dietary supplementation on egg quality and its transfer to table egg to give added value, in two trials. Alajuela, Costa Rica. 2013.

Por las características de las galeras, todas las aves fueron suplementadas y se contabilizó la producción de todo el lote (de 33 mil animales cada una), para observar el posible enriquecimiento de los huevos con selenio orgánico en aves jóvenes y de edad intermedia.

Los ensayos tuvieron una duración de trece semanas cada uno, organizados de la siguiente forma: las primeras cuatro semanas fueron de periodo control (sin suplementación); las siguientes seis semanas conformaron el periodo de suplementación (con 0,4 ppm de selenio orgánico en la dieta total, con una fuente de selenio orgánico de 2000 mg/kg), el cual fue subdivido en un periodo de adaptación y un periodo de enriquecimiento (tres semanas cada uno), las últimas tres semanas se suspendió la suplementación de selenio orgánico, con el fin de medir el efecto residual de la suplementación (periodo residual).

En el Ensayo 1, se utilizaron dietas con 17,5 a 21% de proteína cruda, y entre 2975 a 3150 kcal/kg de energía metabolizable, de acuerdo con las fases de alimentación de las aves. En el Ensayo 2, se trabajó con dietas de 19% de proteína cruda y 3050 kcal/kg de energía metabolizable. Las dietas fueron formuladas bajo el concepto de proteína ideal, de acuerdo con las especificaciones de la casa genética. Entre las materias primas utilizadas para la fabricación de las dietas estaban: maíz, harina de soya, harina de tilapia, aceite de tilapia o grasa amarilla, destilados de maíz y acemite de trigo. La alimentación se ofreció ad libitum y en forma de harina.

Muestreo de huevo

Para determinar los parámetros de calidad de huevo, se recolectaron muestras de 45 huevos por semana de forma aleatoria durante las trece semanas. Los huevos se dividieron en tres grupos: huevos frescos (n=15), huevos de siete días (n=15) y huevos de catorce días (n=15) de almacenamiento a temperatura ambiente (25 °C). Adicionalmente, para cada ensayo, se tomó una muestra de seis huevos en cada periodo (control, suplementación y residual) para determinar el contenido de selenio en huevo.

Análisis de calidad de huevo

Las variables de calidad de huevo que se evaluaron fueron: peso de huevo, unidades Haugh, color de yema y grosor de cáscara. Inicialmente, se pesó cada huevo en una balanza digital (±0,1 g). Luego, se rompió el huevo y se colocó su contenido en una superficie plana para realizar dos mediciones para obtener el promedio de la altura de la albúmina, con un pie de rey digital (±0,03 mm) a un centímetro de la yema del huevo. Con los datos de peso del huevo (G) y de la altura de la albúmina (H), se calcularon las unidades Haugh (UH) de acuerdo con la ecuación: UH = 100 log (H – (1,7 G) 0,37) + 7,6). Posteriormente, se determinó el color de la yema con un colorímetro de mano, y se midió el grosor de la cáscara con pie de rey digital.

Análisis de selenio

Se tomaron muestras de alimento los días de fabricación, para generar una muestra compuesta de 500 g para representar cada uno de los periodos de los ensayos (control, suplementación, residual). La determinación de los niveles de selenio en el huevo y en la dieta de las gallinas ponedoras, se realizó por medio de espectrofotometría de absorción atómica. La digestión de las muestras se realizó con ácido nítrico (HNO3) en un horno de microondas. Los patrones de selenio para obtener la curva de calibración se prepararon a partir de una disolución patrón, con una concentración de 1000 ± 1 mg/l al 5% en HNO3. Los patrones para la curva de calibración se prepararon en el rango de 5-50 μg/l.

Valoración zootécnica

Se llevó un control para el total de las aves de la parvada, durante los ensayos de los siguientes parámetros zootécnicos: porcentaje de postura, consumo de alimento, peso de huevo, huevos acumulados por ave alojada, conversión alimenticia, porcentaje de mortalidad, y se realizó un muestreo de cincuenta aves por ensayo para determinar peso corporal. Asimismo, se registraron los datos de la temperatura ambiental promedio, máxima y mínima, y la humedad relativa de las galeras evaluadas.

Análisis de datos

Los resultados zootécnicos obtenidos se analizaron de forma descriptiva. Por otro lado, las variables de calidad de huevo se compararon entre periodos por medio de un análisis de varianza (ANOVA) con una significancia del 5%. El efecto del tratamiento y del almacenamiento sobre las variables evaluadas se consideró significativo cuando P≤0,05, utilizando la prueba de Tukey para comparar las medias.

Resultados

Parámetros zootécnicos

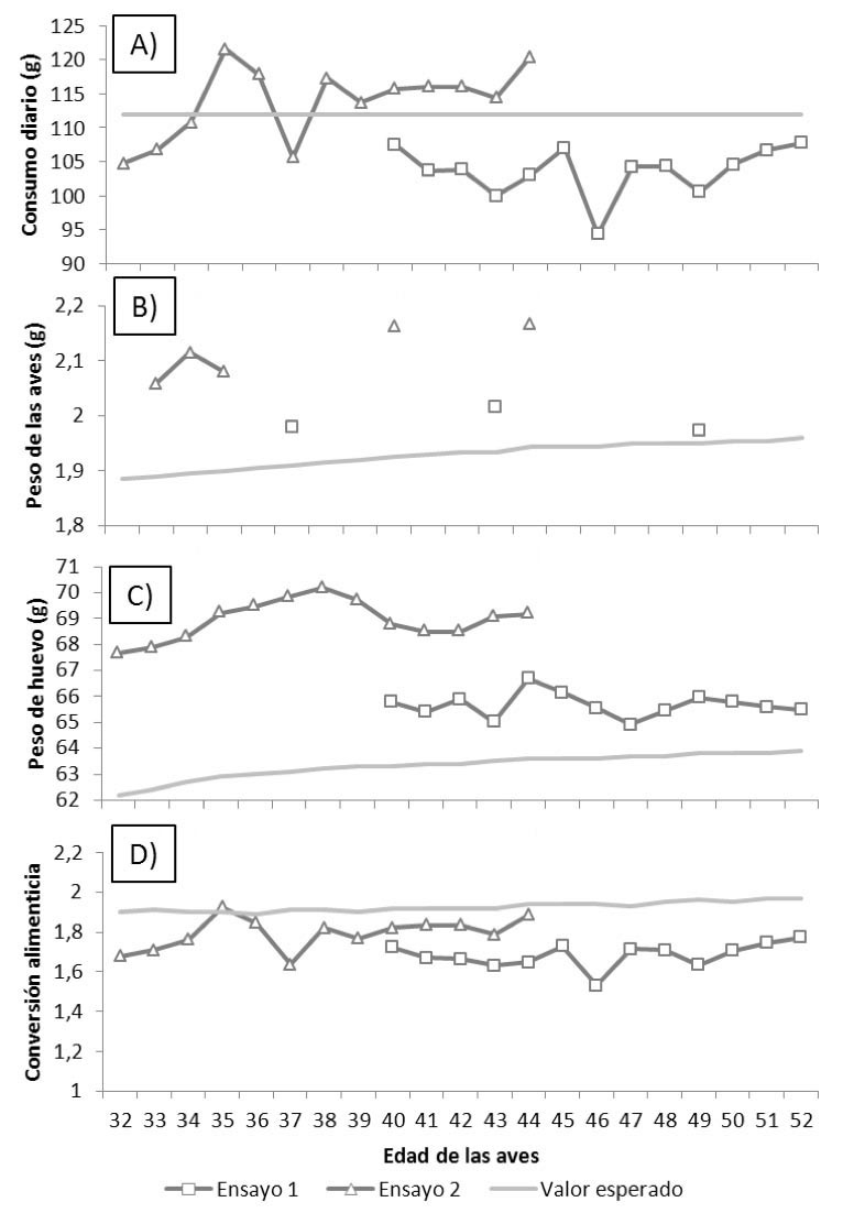
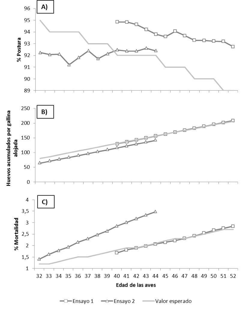
Los rendimientos zootécnicos observados de las gallinas ponedoras durante los periodos analizados, se compararon gráficamente con los rendimientos esperados según la casa genética ISA Brown y se muestran en las Figuras 1 y 2. En ninguno de los dos ensayos se distinguió algún efecto en los parámetros zootécnicos que sea atribuible a la suplementación de selenio en la dieta de las aves, y el comportamiento productivo estuvo acorde con los rendimientos que se observan en parvadas comerciales.

Figura 1. Resultados de producción de huevo y viabilidad de las aves de dos ensayos, según la edad de las gallinas ponedoras (línea genética ISA Brown), en semanas. Alajuela, Costa Rica. 2013.

Ensayo 1, con dietas de 17,5 a 21% de proteína cruda, y entre 2975 a 3150 kcal/kg de energía metabolizable, de acuerdo con las fases de alimentación de las aves. En el Ensayo 2, con dietas de 19%PC y 3050 kcal/kg de energía metabolizable.

Figure 1. Egg production results and liveability rate of the birds from two trials, according to layer hens age (genetic line ISA Brown), in weeks. Alajuela, Costa Rica. 2013.

Trial 1, with diets of 17.5 to 21% CP and between 2975 and 3150 kcal /kg of metabolizable energy, according to the birds feed phase. In Trial 2, with diets of 19% CP and 3050 kcal/kg of metabolizable energy.

Figura 2. Parámetros zootécnicos (A, B, C y D) obtenidos de las gallinas ponedoras (línea genética ISA Brown), según la edad de las aves en semanas, en dos ensayos. Alajuela, Costa Rica. 2013.

Ensayo 1, con dietas de 17,5 a 21% de proteína cruda, y entre 2975 a 3150 kcal/kg de energía metabolizable, de acuerdo con las fases de alimentación de las aves. Ensayo 2, con dietas de 19%PC y 3050 kcal/kg de energía metabolizable.

Figure 2. Obtained production performance (A, B, C and D) of the layer hens (genetic line ISA Brown), according to their age in weeks, in two trials. Trial 1, with diets of 17.5 to 21% CP and between 2975 and 3150 kcal /kg of metabolizable energy, according to the birds feed phase. Alajuela, Costa Rica. 2013.

Trial 2, with diets of 19%CP and 3050 kcal/kg of metabolizable energy.

El consumo diario de alimento promedio para el Ensayo 1 fue de 102,76 g por ave, y de 113,61 g para el Ensayo 2. De acuerdo con estos datos, la suplementación fue equivalente al consumo de 0,0411 y 0,0454 µg de selenio orgánico por ave por día para el Ensayo 1 y 2, respectivamente.

Parámetros de calidad del huevo

En el Ensayo 1 el peso del huevo, la masa del huevo y las unidades Haugh no variaron entre los periodos del estudio (Cuadro 2). Sin embargo, el color de la yema se hizo más intenso durante la suplementación y el grosor de la cáscara disminuyó en el periodo de adaptación. En el Ensayo 2, durante el periodo de adaptación se presentó un aumento del peso y la masa de huevo, que se mantuvieron como tendencias por el resto del ensayo, mientras que las otras características de calidad tampoco presentaron variación.

Cuadro 2. Efecto de la suplementación con selenio sobre el peso del huevo, la masa del huevo, las unidades Haugh, el color de la yema y el grosor de la cáscara, según el periodo experimental y los días de almacenamiento en dos ensayos con gallinas ponedoras (línea genética ISA Brown). Alajuela, Costa Rica. 2013.

Table 2. Effect of selenium supplementation on the egg weight and mass, Haugh units, yolk color and eggshell thickness, according to the experimental period and storage days in two trials with layer hens (ISA Brown). Alajuela, Costa Rica. 2013.

Efecto del almacenamiento

Los días de almacenamiento del huevo a temperatura ambiente provocaron una reducción en el peso del huevo, la masa del huevo y las unidades Haugh, y un aumento en el color de la yema en el Ensayo 1. En el Ensayo 2 el almacenamiento solo afectó las unidades Haugh y el color de la yema (Cuadro 2, Figura 3).

Figura 3. Efecto de los días de almacenamiento sobre parámetros de calidad de huevo (A y B) en gallinas ponedoras (línea genética ISA Brown), en dos ensayos. Ensayo 1 y 2. Alajuela, Costa Rica. 2013.

Ensayo 1, con dietas de 17,5 a 21%PC, y entre 2975 a 3150 kcal/kg de energía metabolizable, de acuerdo a las fases de alimentación de las aves. Ensayo 2, con dietas de 19% de proteína cruda y 3050 kcal/kg de energía metabolizable.

Figure 3. Effect of the storage days on egg quality traits (A and B) in layer hens (genetic line ISA Brown), in two trials. Alajuela, Costa Rica. 2013.

Trial 1, with diets of 17.5 to 21% CP and between 2975 and 3150 kcal/kg of metabolizable energy, according to the birds feed phase. Trial 2, with diets of 19% CP and 3050 kcal/kg of metabolizable energy.

Calidad nutricional y contenido de selenio en huevo

Con la adición selenio orgánico a la dieta de las gallinas ponedoras se dio un aumento en el contenido de este mineral en el alimento y en el huevo (Figura 4). En los periodos control y residual, el selenio no fue detectado en el huevo (rango de detección del método mayor a 10,5 µg/l), mientras que en el periodo de enriquecimiento se obtuvo una concentración de 0,14 µg/g en el Ensayo 1 y 0,39 µg/g en el Ensayo 2.

Figura 4. Concentración de selenio en el alimento de las aves según el periodo experimental, en gallinas ponedoras (línea genética ISA Brown), en dos ensayos. Alajuela, Costa Rica. 2013.

Ensayo 1, con dietas de 17,5 a 21% PC, y entre 2975 a 3150 kcal/kg de energía metabolizable, de acuerdo con las fases de alimentación de las aves. Ensayo 2, con dietas de 19% de proteína cruda y 3050 kcal/kg de energía metabolizable.

Periodo experimental: control 4 semanas, adaptación 3 semanas, enriquecimiento 3 semanas y residual 3 semanas.

Figure 4. Selenium concentration in the layer feed according to the experimental period, in layer hens (genetic line ISA Brown), in two trials. Alajuela, Costa Rica. 2013.

Trial 1, with diets of 17.5 to 21% CP and between 2975 and 3150 kcal/kg of metabolizable energy, according to the birds feed phase. Trial 2, with diets of 19% CP and 3050 kcal/kg of metabolizable energy.

Experimental period: Control 4 weeks, adaptation 3 weeks, enrichment 3 weeks and residual 3 weeks.

Discusión

Parámetros zootécnicos

En el Ensayo 1 hubo un comportamiento similar a los rendimientos esperados por la línea y en la mayoría de los casos, superiores. El Ensayo 2 presentó algunos rendimientos más bajos de los esperados por la casa genética (porcentaje de producción, huevos por ave alojada), esto es atribuible a una entrada a producción más tardía de este lote de animales, mortalidades más altas y pesos corporales más elevados a los esperados; lo que genera producciones más bajas y menos huevos acumulados. Cuando las aves aumentan de peso consumen más alimento (Figura 2A), consecuentemente el peso de los huevos aumenta (Figura 2C), pero su producción disminuye (Figura 1A) (Lacin et al., 2008; Haq et al. 2011).

Los resultados coinciden con lo reportado por varios autores para: consumo de alimento, producción de huevos y peso del huevo (Bennett y Cheng, 2010), conversión alimenticia (Mohiti-Asli et al., 2008; Chinrasri et al., 2009), peso corporal de las aves (Scheideler et al., 2010) y mortalidad (Utterback et al., 2005), pues no se ven variaciones importantes en los parámetros. Algunos autores indican que, al aplicar selenio a la dieta de las gallinas ponedoras encontraron mejoras en los parámetros productivos (aumento en el peso y en la producción de huevos, y una menor conversión alimenticia) (Invernizzi et al., 2013; Skřivan et al., 2013). Los rendimientos zootécnicos fueron observados con el propósito de detectar cualitativamente cualquier cambio que la suplementación pudiera generar, pero el comportamiento de los rendimientos de las aves fue normal.

Parámetros de calidad del huevo

Con respecto al peso y masa del huevo, varios autores (Mohiti-Asli et al., 2008; 2010; Scheideler et al., 2010; Skřivan et al., 2013) no encontraron ningún efecto al suplementar selenio, lo cual es congruente con los resultados de este trabajo. Sin embargo, otros investigadores (Attia et al., 2010; Arpášová et al., 2012; Invernizzi et al., 2013) observaron un aumento en el peso o masa de huevo, debido a la suplementación con selenio orgánico. En el presente estudio, los pesos de huevo en ambos ensayos siempre estuvieron por encima de los valores esperados de acuerdo con la edad de las aves. En el Ensayo 2, los pesos de huevo tendieron a ser mayores porque se trata de aves más pesadas y el aumento de peso puntual que se observó en el periodo de adaptación se puede relacionar con un aumento del consumo de alimento durante ese periodo (Figura 2A).

Las unidades Haugh no se vieron afectadas al suplementar con selenio orgánico la dieta de las gallinas, lo que concuerda con Chinrasri et al. (2009), Invernizzi et al. (2013) y Skřivan et al. (2013). En general, se mantuvieron por debajo de lo esperado (Hy-Line, 2014) según la edad de las aves (90 unidades Haugh para edades de 38 a 55 semanas). Las unidades Haugh se pueden ver afectadas por el periodo de almacenamiento y la temperatura (Roberts, 2004), los cuales fueron variables en esta investigación. La variación de este parámetro dada por la temperatura pudo deberse a la diferencia de esta condición en los diferentes sitios donde estuvo el huevo (granja, transporte y centro de acopio). La medición en huevos frescos, se acercó más a los valores esperados.

El color de la yema aumentó en los periodos de enriquecimiento y residual en el Ensayo 1, lo que concuerda con los estudios de Rey (2007) y de Mohiti-Asli et al. (2010). El color de la yema es producido por carotenoides conocidos como xantofilas que se encuentran en la dieta de la gallina, los cuales son solubles en lípidos y pierden su poder de pigmentación al oxidarse. Al utilizar el selenio orgánico se aumenta la actividad de la enzima antioxidante glutatión peroxidasa (GSH-Px) en la yema, que mantiene el color de la yema del huevo durante su almacenamiento al evitar la oxidación de los carotenoides (Rey, 2007; Mohiti-Asli et al., 2010).

En cuanto al grosor de la cáscara en el Ensayo 2 no hubo una variación significativa entre los periodos de observación, lo que respalda los trabajos de Chinrasri et al. (2009) y Invernizzi et al. (2013). En contraste, en el Ensayo 1 hubo una disminución en los valores del grosor de la cáscara del huevo durante el periodo de adaptación, la cual se atribuyó a altas temperaturas durante esa semana en particular, tal y como lo mencionan Ebeid et al. (2012) y Mack et al. (2013). El estrés calórico provocó que las gallinas jadearan para aminorar el calor de su cuerpo, por lo que se da una alcalosis respiratoria debida a la excesiva pérdida de CO2 de la sangre, lo que conlleva a un aumento del pH de esta. Esto limita la disponibilidad de bicarbonato y de calcio en sangre para la mineralización de la cáscara del huevo, por lo que su calidad se ve afectada de forma negativa (Hy-Line, 2013).

Efecto del almacenamiento

Las unidades Haugh y el peso del huevo decrecen al almacenar huevos (Akyurek y Okur, 2009; Englmaierová y Tumová, 2009; Aboonajmi et al., 2010; Jin et al., 2011; Carrazzoni et al., 2012). Adicionalmente, Ragni et al. (2007) y Carranco et al. (2011) también indicaron en sus experimentos un decrecimiento del peso y la masa del huevo con los días de almacenamiento por causa de la pérdida de agua por evaporación. Los grupos de investigadores atribuyen la disminución de las unidades Haugh, a un aumento en el pH como consecuencia de la pérdida de CO2 a través de la cáscara, que produce una interacción en el complejo lisozima-ovomucina, responsable de la consistencia gelatinosa de la albúmina.

Se encontraron diferencias significativas en el color de la yema en ambos ensayos (Cuadro 2), siendo estas más rojas al pasar los días de almacenamiento. A diferencia de los presentes resultados, otros autores reportan que conforme aumenta la temperatura o el tiempo de almacenamiento de huevos, el color de la yema disminuye significativamente (Mohiti-Asli et al., 2008; Jin et al., 2011). Estos investigadores midieron el color con un Egg Multi Tester EMT-5200, el cual se basa en una escala de 1 a 15 desarrollada para color de yema, y va desde colores amarillos hasta naranjas fuertes, mientras que en este estudio se midió con colorímetro. El colorímetro es un instrumento más exacto, que transforma la reflexión o espectro de transmisión del objeto en un espacio de color tridimensional (MacDougall, 2002) y estos resultados podrían no ser detectables por el ojo desnudo. Por otro lado, Kirunda et al. (2001), quienes midieron color de yema en huevos frescos con colorímetro, indicaron que huevos de aves suplementadas con vitamina E y sometidas a temperaturas mayores a 32 °C presentaron un color amarillo ligeramente más claro (en la escala b* de la medición de color). En el presente estudio, las diferencias se presentaron en la escala de a*, es decir que, conforme el huevo era más viejo tendió a ser más rojo, con menor influencia de los pigmentos amarillos, lo que podría explicar las diferencias entre los resultados. Los pigmentos están asociados a las moléculas lipídicas de la membrana de la yema, se espera que el selenio, en su rol de antioxidante, los estabilice, ya que se ha detectado que la peroxidación de la yema disminuye cuando se enriquece con este mineral (Kirunda et al., 2001); por lo que, probablemente, con el tiempo, los pigmentos rojos tiendan a ser más estables que los amarillos, y por eso los resultados arrojan yema de color más rojo.

Calidad nutricional y contenido de selenio en huevo

Con la adición selenio orgánico a la dieta de las gallinas ponedoras se provoca un aumento en el contenido de este mineral en el alimento y en el huevo (Chinrasri et al., 2009; Bennett y Cheng, 2010; Invernizzi et al., 2013). En las investigaciones de Mohiti-Asli et al. (2008) e Invernizzi et al. (2013), el contenido de selenio en huevo fue de 0,6 ppm y 1,4 ppm, respectivamente, al suplementar gallinas con la misma concentración que en los presentes ensayos.

La diferencia entre las concentraciones de selenio en el huevo entre los ensayos y la literatura, se puede deber a la variación del contenido de este mineral en las distintas materias primas utilizadas en el alimento balanceado; que a su vez se debe a las diferentes condiciones agronómicas entre países y regiones (Lyons et al., 2007).

El contenido de selenio en la dieta de las aves del Ensayo 1 solo llegó a las concentraciones recomendadas de más de 0,05 ppm (NRC, 1994) en periodos posteriores al inicio de la suplementación, pero durante el periodo de enriquecimiento, las concentraciones de selenio en el huevo fueron detectables y estuvieron por encima de 0,15 ppm, por lo tanto, el alimento no contaba con la cantidad mínima para el mantenimiento del ave y al añadir selenio adicional, se incrementó la concentración del mineral en el huevo.

En el Ensayo 2 se contaba con concentraciones adecuadas de selenio en el alimento (>0,05 ppm), desde el inicio del experimento, sin embargo, durante el periodo control no fue posible detectar la cantidad de mineral en el huevo con el método utilizado. Esto se puede deber al tipo de fuente del mineral que se está empleando para cubrir los requerimientos de las aves. En la naturaleza, el selenio se puede encontrar en dos formas químicas: orgánica e inorgánica. El selenio inorgánico existe como selenito, selenato, y como óxido de selenio (Lyons et al., 2007). El selenio orgánico se absorbe en el tracto gastrointestinal a una tasa más alta que el inorgánico, y luego de la absorción, el hígado metaboliza más del 50% inmediatamente, mientras que el restante fluye a través de un pool de plasma antes de llegar al hígado (Payne, 2004). Entre las principales ventajas del selenio orgánico se puede mencionar la retención en el cuerpo por medio de reservas, este tipo de selenio se puede acumular en tejidos como el hígado y el músculo (Lyons et al., 2007). Se puede deducir que las aves del Ensayo 2 contaron con suficiente selenio para sus funciones metabólicas a través del selenio de la dieta, y por lo tanto, lograron depositar más selenio adicional en el huevo luego de la suplementación, debido a que este mineral en su forma orgánica es añadido en forma de selenolevadura, se absorbe en forma de selenometionina y se transfiere de forma efectiva al huevo (Fisinin et al., 2008).

En los dos ensayos evaluados, el peso promedio del huevo fue de 62 g durante el periodo de enriquecimiento, por lo que una porción de huevo aportaría 8,68 µg y 24,18 µg de selenio, respectivamente. El consumo diario recomendado de selenio en humanos es de 55 µg por día para personas de catorce años en adelante y de 60-70 µg/día durante los periodos de embarazo y lactancia (Institute-of-Medicine, 2000). De acuerdo con las concentraciones encontradas en este trabajo, el consumo diario de un huevo de gallinas ponedoras suplementadas cubriría la recomendación diaria en 15,78 y 43,96%; por lo que estos huevos se podrían considerar alimentos “fuente” o buena fuente” del mineral de acuerdo con las especificaciones del Reglamento Técnico Centroamericano (COMIECO, 2011) 67.01.60.10 respecto a alimentos enriquecidos.

Conclusiones

El selenio orgánico suplementado a las gallinas ponedoras (0,4 ppm) llevó a un aumento del nivel de selenio en el huevo, el cual alcanzó la concentración necesaria para registrar al producto como un alimento fuente (>15%, Ensayo 1) y/o buena fuente (>39%, Ensayo 2) de selenio, que ayudaría a disminuir la deficiencia de ese mineral en la población de Costa Rica. Se recomienda realizar ensayos de mayor duración para determinar qué tipo de registro de alimento enriquecido (fuente o buena fuente) se utilizaría para huevos de gallinas suplementadas con 0,4 ppm de selenio orgánico.

Agradecimientos

Los autores quieren expresar su agradecimiento a la empresa Avicultores Unidos la Garita (AVUGA S.A.), por facilitar las granjas avícolas y los huevos para realizar la investigación. Asimismo, se le extiende el agradecimiento a la compañía Alltech Inc., por el apoyo financiero para el proyecto, a la empresa DSM Nutritional Products por el préstamo del colorímetro y la empresa Laboratorios FARYVET por facilitar la elaboración de las premezclas.

Literatura citada

Aboonajmi, M., A. Akram, T. Nishizu, N. Kondo, S.K. Setarehdan, and A. Rajabipour. 2010. An ultrasound based technique for the determination of poultry egg quality. Res. Agr. Eng. 56:26-32. doi:10.17221/18/2009-RAE

Akyurek, H., and A.A. Okur. 2009. Effect of storage time, temperature and hen age on egg quality in free-range layer hens. J. Anim. Vet. Adv. 8:1953-1958. doi:javaa.2009.1953.1958

Arpášová, H., P. Haščík, M. Kačániová, B. Gálik, J. Golian, and M. Mellen. 2012. The effect of various forms and doses of selenium supplementation of the hens diet on selected qualitative parameters and freshness of table eggs. Sci. Pap: Anim. Sci. Biotechnol. 45(1):11-16.

Ashton, K., L. Hooper, L.J. Harvey, R. Hurst, A. Casgrain, and S.J. Fairweather-Tait. 2009. Methods of assessment of selenium status in humans: a systematic review. Am. J. Clin. Nutr. 89:2025S-2039S. doi:10.3945/ajcn.2009.27230F

Attia, Y.A., A.A. Abdalah, H.S. Zeweil, F. Bovera, A.A. Tag El-Din, and M.A. Araft. 2010. Effect of inorganic or organic selenium supplementation on productive performance, egg quality and some physiological traits of dual-purpose breeding hens. Czech J. Anim. Sci. 55:505-519. doi:10.17221/1702-CJAS.

Bennett, D.C., and K.M. Cheng. 2010. Selenium enrichment of table eggs. Poult. Sci. 89:2166-2172. doi:10.3382/ps.2009-00571

Carranco, M.E., M.C. Calvo, S. Carrillo, R. Ramírez, E. Morales, L. Sanginés, B. Fuente, E. Ávila, and F. Pérez-Gil. 2011. Crustacean meal in laying hen rations. Effect on the physical quality of the egg stored in different conditions. Cuban J. Agric. Sci. 45:117-181.

Carrazzoni, P., E. Rodrigues, J. Pinto, W.N. Ketruy, and J. Evêncio-Neto. 2012. Egg quality of laying hens in different conditions of storage, ages and housing densities. R. Bras. Zootec. 41:2064-2069. doi:10.1590/S1516-35982012000900014

Chinrasri, O., P. Chantiratikul, W. Thosaikham, P. Atiwetin, S. Chumpawadee, S. Saenthaweesuk, and A. Chantiratikul. 2009. Effect of selenium-enriched bean sprout and other selenium sources on productivity and selenium concentration in eggs of laying hens. Asian-Australas. J. Anim. Sci. 22:1661-1666. doi:10.5713/ajas.2009.90220

Ebeid, T.A., T. Suzuki, and T. Sugiyama. 2012. High ambient temperature influences eggshell quality and calbindin-D28k localization of eggshell gland and all intestinal segments of laying hens. Poult. Sci. 91:2282-2287. doi:10.3382/ps.2011-01898

Englmaierová, M., and E. Tumová. 2009. The effect of housing system and storage time on egg quality characteristics. In: R. Huopalathi, editor, Conference proceeding 19th European Symposium on the Quality of Poultry Meat and XIII European Symposium on the Quality of Eggs and Egg Products. World`s Poultry Science Association, Turku, FIN. p. 1-7.

Fisinin, V.I., T.T. Papazyan, and P.F. Surai. 2008. Producing specialist poultry products to meet human nutrition requirements: Selenium enriched eggs. World’s Poult. Sci. J. 64:85-98. doi:10.1017/S0043933907001742

Gutiérrez-Salinas, J. 2006. ¿Qué sabe usted de… radicales libres? Rev. Mex. Cienc. Farma. 37(4):69-73.

Haq, R., E. Haq, and M.F. Khan. 2011. Correlation between body weight and egg weight of Dokki and Fayoumi hen in Pakistan. J. Basic Appl. Sci. 7:165-168. doi:10.6000/1927-5129.2011.07.02.14

Hy-Line. 2013. The science of egg quality: Technical update. Hy-Line. http://www.hyline.com/userdocs/pages/TU_EQ_ENG.pdf. (accessed 8 Jan. 2014).

Hy-Line. 2014. Guía de manejo: ponedoras comerciales (Hy-Line Brown). Hy-Line. http://www.hyline.com/userdocs/pages/BRN_COM_SPN.pdf (consultado 8 ene. 2014)

Institute-of-Medicine 2000. Dietary reference intakes for vitamin C, vitamin E, selenium, and carotenoids. National Academy Press, WA, USA. doi:10.17226/9810

Invernizzi, G., A. Agazzi, M. Ferroni, R. Rebucci, A. Fanelli, A. Baldi, V. Dell’Orto, and G. Savoini. 2013. Effects of inclusion of selenium-enriched yeast in the diet of laying hens on performance, eggshell quality, and selenium tissue deposition. Ital. J. Anim. Sci.12:e1. doi:10.4081/ijas.2013.e1

Jin, Y.H., K.T. Lee, W.I. Lee, and Y.K. Han. 2011. Effects of storage temperature and time on the quality of eggs from laying hens at peak production. Asian-Aust. J. Anim. Sci. 24:279-284. doi:10.5713/ajas.2011.10210

Kirunda, D.F.K., S.E. Scheideler, and S.R. McKee. 2001. The efficacy of vitamin E (DL-α-tocopheryl acetate) supplementation in hen diets to alleviate egg quality deterioration associated with high temperature exposure. Poult. Sci. 80:1378-1383. doi:10.1093/ps/80.9.1378

Lacin, E., A. Yildiz, N. Esenbuga, and M. Macit. 2008. Effects of differences in the initial body weight of groups on laying performance and egg quality parameters of Lohmann laying hens. Czech J. Anim. Sci. 53:466-471.

López-Bellido, F.J. y L. López-Bellido. 2013. Selenio y salud; valores de referencia y situación actual de la población española. Nutr. Hosp. 28:1396-1406. doi:10.3305/nh.2013.28.5.6634

Lyons, M.P., T.T Papazyan, and P.F Surai. 2007. Selenium in food chain and animal nutrition: lessons from nature -review-. Asian-Australas. J. Anim. Sci. 20:1135-1155.

MacDougall, D.B. 2002. Colour in food. In: D. MacDougall, editor, Improving quality. Woodhead Publishing Limited, and CRC Press LLC, USA. p.40-43.

Mack, L.A., J.N. Felver-Gant, R.L. Dennis, and H.W Cheng. 2013. Genetic variation alter production and behavioral responses following heat stress in 2 strains of laying hens. Poult. Sci. 92:285-294. doi:10.3382/ps.2012-02589

MS (Ministerio de Salud). 2012. Encuesta nacional 2008-2009. Fascículo 2: Micronutrientes. MS, San José, CRC.

Mohiti-Asli, M., F. Shariatmadari, H. Lotfollahian, and M.T. Mazuji. 2008. Effects of supplementing layer hen diets with selenium and vitamin E on egg quality, lipid oxidation and fatty acid composition during storage. Can. J. Anim. Sci. 88:475-483. doi:10.4141/CJAS07102

Mohiti-Asli, M., F. Shariatmadari, and H. Lotfollahian. 2010. The influence of dietary vitamin E and selenium on egg production parameters, serum and yolk cholesterol and antibody response of laying hen exposed to high environmental temperature. Arch. Geflügelk. 74:43-50.

Morales-López, R., A.R. García-Morales, y R. Rosiles-Martínez. 2001. Correlación del contenido de selenio en el alimento con elde la yema de huevo en gallinas de postura. Vet. Méx. 32:225-227.

NRC (National Research Council). 1994. Nutrient requirements of poultry. 9th ed. National Academy Press, WA, USA.

Payne, R. 2004. The effects of inorganic and organic selenium sources on growth performance, carcass traits, tissue mineral concentrations, and enzyme activity in poultry. Ph.D. Diss., Louisiana State University, Lousiana, USA.

Ragni, L., A. Al-Shami, A. Berardinelli, G. Mikhaylenko, and J. Tang. 2007. Quality evaluation of shell eggs during storage using a dielectric technique. Am. Soc. Agric. Biol. Eng. 50:1331-1340. doi:10.13031/2013.23610

Rey, M. 2007. Evaluación de la producción de huevos enriquecidos con selenio en el centro de investigación y capacitación San Miguel de la Universidad de La Salle. Tesis Lic., Universidad de La Salle. Bogotá, COL.

Roberts, J.R. 2004. Factors affecting egg internal quality and egg shell quality in laying hens: A review. Poult. Sci. 41:161-177. doi:10.2141/jpsa.41.161

COMIECO (Consejo de Ministros de Integración Económica). 2011. RTCA 67.01.60:10. Reglamento Técnico Centroamericano: Etiquetado nutricional de productos alimenticios preenvasados para consumo humano para la población a partir de 3 años de edad. COMIECO, GUA.

Scheideler, S.E., P. Weber, and D. Monsalve. 2010. Supplemental vitamin E and selenium effects on egg production, egg quality, and egg deposition of α-tocopherol and selenium. J. Appl. Poult. Res. 19:354-360. doi:10.3382/japr.2010-00198

Skřivan, M., M. Marounek, M. Englmaierová, and V. Skřivanová. 2013. Influence of dietary vitamin C and selenium, alone and in combination, on the performance of laying hens and quality of eggs. Czech J. Anim. Sci. 58:91-97. doi:10.17221/6619-CJAS

Surai, P.F., F. Yaroshenko, J. Dvorska, and N. Sparks. 2003. Selenium-enriched eggs can improve the human diet. Feed Mix.11(5):32-34

Surai, P.F. 2006. Selenium in nutrition and health. Nottingham University Press, Nottingham, GBR.

Utterback, P.L., C.M. Parsons, I. Yoon, and J. Butler. 2005. Effect of supplementing selenium yeast in diets of laying hens on egg selenium content. Poult. Sci. 84:1900-1901. doi:10.1093/ps/84.12.1900

Licencia de Creative Commons
Esta obra está bajo una licencia de Creative Commons Reconocimiento-NoComercial-SinObraDerivada 4.0 Internacional.