Agronomía Mesoamericana
Artículo científico
Volumen 31(2):329-339. Mayo-agosto, 2020
e-ISSN 2215-3608, doi:10.15517/am.v31i2.38541
http://www.revistas.ucr.ac.cr/index.php/agromeso
Henry David Mogollón-García2, David Felipe Nieto-Sierra3, Edwin Castro-Rincón3
1 Recepción: 27 de agosto, 2019. Aceptación: 6 de noviembre, 2019. This work was part of project “Dairy production model with New Zealand technology adapted to the Colombian high tropics” and was financed by Corporación Colombiana de Investigación Agropecuaria (AGROSAVIA) during the period 2016-2018. Colombia.
2 São Paulo State University, School of Veterinary Medicine and Animal Science, Departament of Animal Reproduction and Veterinary Radiology. Rua Prof. Dr. Walter Maurício Correa, s/n, 18618-681, Botucatu, São Paulo, Brazil. mogollongarcia@hotmail.com (corresponding autor, https://orcid.org/0000-0003-0820-5847).
3 Corporación Colombiana de Investigación Agropecuaria (AGROSAVIA). Postal code 520038, Km 5 vía Pasto – Obonuco, Nariño, Colombia. Tel: +57 310 4786031, +57 315 2786951. dnieto@corpoica.org.co (https://orcid.org/0000-0003-4808-1201), ecastro@agrosavia.co (https://orcid.org/0000-0001-9841-8242).
Introduction. During decades, milk production in the department of Nariño has depended on the Holstein breed. For this reason, it is necessary to evaluate a model of milk production that allows to decrease production costs and in turn improves the compositional quality of the milk. Objective. This study aimed was to compare the monthly milk production, days in lactation (DIM), and milk production per third of lactation of the F1 crossing of the Kiwi Cross (KC) and Holstein (HO) breeds, under grazing conditions in the high tropics of the Nariño department, Colombia. Materials and methods. Monthly milk production in HO cows (n=30) and F1 (n=40) was measured by adjusting the DIM, milk production was also obtained by third of lactation, fat, protein, and total solids. Results. Maximum production was higher for HO cows compared to KC (25.8±0.53 vs. 23.2±0.53 l day-1) (p<0.05). Production per third of lactation was higher (p<0.05) in the first third compared to the second and third periods for both breeds study (HO: 13.6±0.56 vs.11.3±0.5723 and 9.9±0.47 l day-1, and KC: 12.8±0.4505 vs. 10.6±0.66 and 9.5±1.69 l day-1). Fat was higher (p<0.05) in Kiwi Cross F1 crosses than in Holstein, at weeks one, three, and five (4±0.07, 4±0.07, 4±0.07 vs. 3.6±0.12, 3.6±0.11, 3.7±0.09 %, respectively); likewise, protein in weeks one and four was higher in the KC group compared to HO (3.3±0.04 vs. 3.1±0.05 %; p<0.05). Total solids were 13.3±0.17 vs. 12.5±0.23 % (p<0.05) for F1 and HO cows, respectively at weeks two and five. Conclusion. F1 and Holstein (HO) milk production was similar; however, KC improved the performance in the compositional milk quality, increasing the percentages of fat, protein, and total solids.
Keywords: animal performance, dairy cattle, lactation, milk yield.
Introducción. Durante décadas la producción de leche en el departamento de Nariño ha dependido de la raza Holstein. Por ello, se hace necesario evaluar un modelo de producción lechera que permita disminuir costos de producción y a su vez mejore la calidad composicional de la leche. Objetivo. El objetivo de este estudio fue comparar la producción mensual de leche, días en lactación (DIM) y la producción de leche por tercio de lactancia del cruce F1 de las razas Kiwi Cross (KC) y Holstein (HO), en condiciones de pastoreo en los trópicos altos del departamento de Nariño, Colombia. Material y métodos. La producción mensual de leche en vacas HO (n=30) y F1 (n=40) se midió ajustando la DIM, también se obtuvo la producción de leche por tercio de la lactancia, grasa, proteína y sólidos totales. Resultados. La producción máxima fue mayor para vacas HO comparado con KC (25,8±0,53 vs. 23,2±0,53 l día-1). La producción por tercio de lactancia fue mayor en el primer tercio comparado con el segundo y tercero (HO: 13,6±0,56 vs 11,3±0,5723 y 9,9±0,47 l día-1, y KC: 12,8±0,4505 vs 10,6±0,66 y 9,5±1,69 l día-1). La grasa fue mayor (p<0,05) en los cruces F1 de Kiwi Cross que en Holstein, en las semanas uno, tres y cinco (4±0,07; 4±0,07; 4±0,07 vs 3,6±0,12; 3,6±0,11; 3,7±0,09 %, respectivamente). La proteína en las semanas uno y cuatro fue mayor en el grupo KC frente a HO (3,3±0,04 vs 3,1±0,05 %; p<0,05). Sólidos totales fueron de 13,3±0,17 vs 12,5±0,23 % para las vacas F1 y HO, respectivamente, en las semanas dos y cinco. Conclusión. La producción de leche de la F1 y de Holstein (HO) fue similar; sin embargo, KC mejoró el rendimiento en la calidad composicional de la leche, y aumentó los porcentajes de grasa, proteína y sólidos totales.
Palabras clave: rendimiento animal, ganado de leche, lactancia, producción lechera.
Developing and establishing an ideal animal model for milk production has been the premise for many years. At the global level, there are two lines or trends in milk production. The first line, is the American model, which mainly uses Holstein (HO) cows (Lucy, 2001), and the second is, milk production originating from crosses between HO and Jersey (J), which are mostly found in New Zealand (Rowarth, 2013). The Holstein cows of high genetic merit produce an average of 9,800 kg lactation-1 (Heins et al., 2011) with milk compositional quality, results of 4 % and 3.5 % of fat and protein, respectively (Prendiville et al., 2010). In contrast, the mean production for cows in New Zealand is 4,317 kg lactation-1 with compositional quality values of 4.4 % and 3.7 % for fat and protein, respectively (LIC and DairyNz, 2016).
Since 1950 in the department of Nariño, Colombia, milk production has linked genetic contributions of breeds such as Holstein, with nuclei of breeds as Norman, Jersey, and crosses between these. Furthermore, Koeslag (1985) highlighted the milk production conditions in the department of Nariño, drawing attention to the topography and hillside conditions of the Colombian high tropic, where land tenure and dairy production systems are managed in smallholdings with an average production of 3.8 l cow-1 day-1. Already in 2009, Rosero et al. (2009) showed yields of 13.5 l cow-1 day-1 (HO and J) and values for protein and fat of 3.06 and 3.61 % vs. 4.37, and 3.54 % for HO vs. J cows, respectively.
Over the years, livestock in Nariño has been bred mainly using the HO breed through the incorporation of genetic material from other countries in which environmental, topographic, and productive conditions, among others, are different. A study performed by Cerón et al. (2001) concluded that the connection of the HO breed to typical Andean conditions produced yields in accordance with the regional environment. Moreover, Mackle et al. (1996) explained variations in efficiency for the HO breed where these were less efficient in converting grass units consumed in corrected fat, corrected solids, and solids in milk.
During the 1970s in New Zealand, when faced with production problems led by low food efficiency and fertility manifested by their HO breed in milk production conditions, there was a need to balance production with animal health. As a product of this need, crossings that included the Kiwi Cross breed were generated; these were the result of crosses between HO x J, and allowed the improvement of their compositional milk quality indexes (White et al., 2002; Rowarth, 2013; Buckley et al., 2014). In Colombia, as part of the search for an animal biotype adapted to high tropical slope conditions, different crosses of HO x J and HO x Blanco-Orejinegro have been evaluated and characterized, looking for more efficient animals in conversion rates and with solids higher production (Bolívar et al., 2009; Cañas et al., 2009; Echeverri et al., 2011; Cardona-Cifuentes et al., 2017).
As part of the validation and adaptation processes of milk production technology from New Zealand, AGROSAVIA has been developing a dairy model in Nariño that is currently validating different components. Among these, were find animal genetics, where an absorbent crossing between Holstein and Kiwi Cross (KC) was carried out. In this context, the aim of this study was to compare the monthly milk production, day in milk (DIM) and milk production per third of lactation of the F1 of the Kiwi Cross (KC) and Holstein (HO) cross under grazing conditions in the high tropics in the Nariño department, Colombia.
The study was conducted at the Obonuco Research Center of the Corporación Colombiana de Investigación Agropecuaria (AGROSAVIA), located in the Nariño department, Colombia, at an altitude of 2858 m.a.s.l., with a mean daily temperature of 13 ºC and a mean annual precipitation of 800 mm.
Cows under production were maintained under grazing conditions, and no concentrate feed was administered. Grazing for all animals included Raigras Samson, Sterling, Ohao and One 50 (Lolium multiflorum), clover (Trifolium repens), and kikuyo (Cenchrus clandestinum); moreover, water and mineralized salt were given ad libitum.
Clinically healthy multiparous cows of the Holstein (HO) breed (n=30) and primiparous cows of the filial one, of the absorbent crossover (proportion 50 %) between HO x Kiwi Cross (KC) (n=40) were used in different lactation thirds, with a mean weight of 535±10 vs. 490±20 kg, respectively. Milk production was analyzed considering the month, the days and the third of lactation. 9809 records of daily milk production were analyzed between October 2016 and May 2017. During this period, individual productions were collected daily by reading the meters attached to the milking system (WB Mini-Test®, Tru-Test). The DIM was adjusted to 240 days, because the animals of the KC group with the longest milking time reached day 250 of lactation; additionally, the comparisons between the HO and KC groups were made every 30 days.
Milk samples were collected individually with an interval of one week in five consecutive weeks; for each sample, 60 ml of milk was collected and later sent to the milk quality laboratory. Samples were tempered at 39 ºC in a thermostated bath, where 5 ml of milk collected was homogenized for 3 minutes; then, by infrared spectroscopy, the percentage of fat, protein, and total solids was established (MilkoScan FOSS FT120®). Results were obtained in a lapse of 10 minutes. Sample management, equipment operation, and reagent preparation were carried out following the instructions of the manufacturers and using standardized laboratory methods (AOAC, 1990).
For the analysis of monthly milk production per cow, data from October, November, and December 2016 were excluded, because of the small number of animals in the KC group.
Normal distribution of the production variables and compositional quality of the milk was established using the Kolmogorov-Smirnov and Shapiro-Wilk tests, respectively. The maximum and minimum production per cow per day were analyzed using analysis of variance (ANOVA) with PROC GLM procedure (SAS, Version 9.4). Differences were considered significant when p<0.05 with DIM. Milk production according to the third of lactation and compositional quality of milk were analyzed using measures repeated over time with PROC MIXED procedure (SAS, Version 9.4). The respective equation models are showed:
Yijk = µ + Ai + B(A)ij + Ck + ACik + eijk; in which Yijk = DIM, µ = overall mean, Ai = Effect of group i, B(A)ij = effect of animal j under condition i, Ck = effect of day k, ACik = effect of group x day interaction and eijk = residual.
Yijk = µ + Ai + B(A)ij + Ck + ACik + eijk; in which Yijk = Production by third of lactation (L), µ = overall mean, Ai = Effect of group i, B(A)ij = effect of animal j under condition i, Ck = effect of third of lactation k, ACik = effect of group x third of lactation interaction and eijk = residual.
Yijk = µ + Ai + B(A)ij + Ck + ACik + eijk; in which Yijk = Fat, protein or total solids , µ = overall mean, Ai = Effect of group i, B(A)ij = effect of animal j under condition i, Ck = effect of week k, ACik = effect of group x week interaction and eijk = residual.
No significant statistical difference was observed (p<0.05) when monthly milk production was compared per cow (Table 1). Similarly, was found that the KC cows from their lowest to their best production increased in 68 l, being higher than the increase shown by the HO breed, which was 57 l. When establishing a parallel between the maximum productions within the breeds studied, it was higher (p<0.05) in the HO group (25.8 ± 0.53 vs. 23.2 ± 0.53 l day-1).
Table 1. Comparison of milk production per cow per month (mean ± SEM) and daily maximum and minimum values per crossbreed component (group). Pasto, Nariño State, Colombia. October 2016 - May, 2017.
Cuadro 1. Comparación de la producción de leche por vaca por mes (promedio ± EE), valores de producción diaria mínima y máxima diferenciados por grupo racial. Pasto, Estado de Nariño, Colombia. Octubre 2016 - mayo, 2017.
Milk production was influenced by days in lactation (p<0.001). Also, was observed that the HO group extended until its 60th day its production peak, being higher than the one of the KC cows; later, the two breed groups showed a decreasing behavior in milk production (Figure 1).
Figure 1. Milk production per cow per day (mean ± SEM) for the HO (n=30, •) and KC (n=40, ) groups. Effect due to group (G), lactation day (DL) and G*DL interaction are shown. Pasto, Nariño State, Colombia. October 2016 - May, 2017.
Figura 1. Se muestra la producción de leche por vaca por día (promedio ± EE) para los grupos HO (n=30, •) y KC (n=40, ). Efecto de grupo (G), día de lactación (DL) e interacción G*DL. Pasto, Estado de Nariño, Colombia. Octubre 2016 - mayo, 2017.
There was an effect of the third of lactation on milk production (p<0.0001). The mean milk production per day of a cow was higher (p<0.05) in the first third of lactation in the HO group (13.6±0.56 vs. 11.3±0.5723, and 9.9±0.47 l). A similar performance was observed in the group of KC cows, where the values for the first third in relation to the second and third periods were 12.8±0.4505 vs. 10.6±0.66 and 9.5±1.69 l, respectively (Figure 2).
Figure 2. Milk production per cow (mean ± SEM) for the HO (black bar; n=30) and KC (white bar; n=40) groups. Effect of group (G), third of lactation (T) and G*T interaction are shown. (#) indicates significant differences within each group (p<0.05). Different letters in each bar indicate significant differences (p<0.05) for the third of lactation. Pasto, Nariño State, Colombia. October 2016 - May, 2017.
Figura 2. Producción de leche por vaca (promedio ± EE) para los grupos HO (barra negra; n=30) y KC (barra blanca; n=40). Efecto de grupo (G), tercio de lactación (T) e interacción G*T son mostrados. (#) Indica diferencia estadística significativa dentro de cada grupo (p<0,05). Letras diferentes en cada barra indican diferencia estadística significativa para el tercio de lactancia (p<0.05). Pasto, Estado de Nariño, Colombia. Octubre 2016 - mayo, 2017.
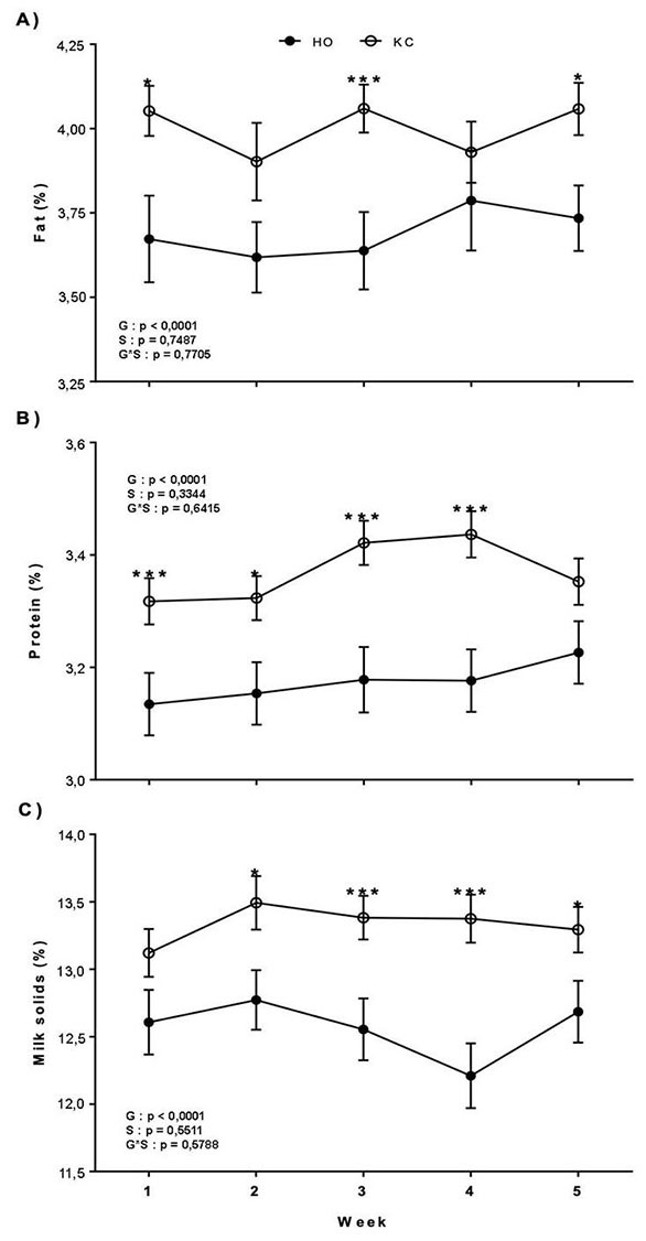
The variables fat, protein, and total solids were evaluated for five weeks, period in which the effect of the group was observed (p<0.0001). Fat percentage values are shows in Figure 3A, being higher (p<0.05) in week one, three, and five in the KC group compared to the HO group (4±0.07, 4±0.07, 4±0.07 vs. 3.6±0.12, 3.6±0.11, 3.7±0.09 %, respectively). Between week one and four, the percentage of protein in milk showed to be higher (p<0.05) in the group constituted by KC cows (3.3±0.04 vs. 3.1±0.05 %) (Figure 3B). The total solids showed higher values (p<0.05) between week two and five, where the observed average was 13.3±0.17 vs. 12.5±0.023 % for KC and HO cows, respectively (Figure 3C).
Figure 3. Mean ± SEM values for fat (A), protein (B) and total solids in groups HO (n =30, •) and KC (n =40, ○). Probabilities for the effects of group (G), week (S) and G*S interaction are shown. (*) shows significant differences (p<0.05) among groups. (***) indicate significant differences (p< 0.0001) among groups. Pasto, Nariño State, Colombia. April - May, 2017.
Figura 3. Promedio ± EE de grasa (A), proteína (B) y sólidos totales en los grupos HO (n=30, •) y KC (n=40, ○). Probabilidades para los efectos de grupo (G), semana (S) e interacción G*S son mostrados. (*) Indica diferencia estadística significativa (p<0,05) entre los grupos. (***) indica diferencia estadística significativa entre los grupos (p<0,0001). Pasto, Estado de Nariño, Colombia. Abril - mayo, 2017.
No differences in monthly production between HO and KC was observed, one aspect of high relevance was the change in production of 68 l from the lowest value measured in May for KC. Results reported by LIC and DairyNZ (2016), showed that New Zealand Holstein cows produce more monthly milk than the KC crossings, with monthly averages of 480 vs. 450 l cow-1, respectively. These differences are probably explained due to the deficient genetic merit found in the KC cows of this study (Kennedy et al., 2003). Furthermore, a study conducted by Echeverri et al. (2011) revealed average yields of 447 and 396 l cow-1 month-1 for the HO vs. F1 of a crossing between HO x J, respectively. These are higher results when compared with the mean production of the present study for the KC group of 304 l cow-1 month-1 and can be due to the feeding (i.e. concentrates) that was given to cows. Under grazing conditions accompanied by concentrate administration, the productive efficiency of the F1 crossing between J x HO showed an improvement in milk quality but not in volume in liters per cow (Prendiville et al., 2009). In this study, no differences were observed in the monthly milk production and considering that the two groups were under the same management conditions and without concentrate supplementation, the results show that the KC group responds better. Another factor that could explain the monthly production could be influenced by the days in lactation of the KC group.
The study compared milk production adjusted to 240 days, where the production peak was at 60 and 30 days for the HO and KC groups, respectively, with a slight recovery at day 180 for both. In another study, realized by Prendiville et al. (2010), compared milk production for HO, J and the F1 crossing between J x HO, it shows that the production peak in these three breeds occurred between weeks five and eight, that is, at day 38 of lactation. However, production reduced gradually without recovery in the following days. According to Ferris et al. (2016), the behavior of the lactation peak attends to the low intake demonstrated for genetic crossings during the initial lactation phase, which in the present case was found in the KC group.
A behavior that highlights good milk production during the DIM was persistence and was defined as the ability of the cow to maintain milk production after the lactation peak (Mohanty et al., 2017). According to that, milk production after the peak of lactation was not constant, probably attributed to weak genetic contribution (Mohanty et al., 2017). The maximum value was 15 l cow-1 day-1 and the minimum amount was 10 l cow-1 day-1 resulting in a difference of 5 l cow-1 day-1. In the case of the KC group, the results were 14 l cow-1 day-1 at the peak of lactation and 8 l cow-1 day-1 at the minimum production, comprising first lactation cows. In a study with HO cows highlighted an effect of the number of lactations in milk production, Ray et al. (1992) were observed differences of 4 l cow-1 day-1 between the first and the second lactation and 5 l cow -1day-1 between the first and third lactations. In the present study, the difference between the groups was 1 l cow-1 day-1 at the peak of lactation. In addition to the number of lactations, various works have shown an effect of the number of milkings on milk production throughout lactation (Prendiville et al., 2009, 2010, 2011; Lembeye et al., 2016). In this sense, Lembeye et al. (2016) show an interesting result for the J x HO cows that were milked once a day, concluding that this crossing was probably better adapted to feed under grazing conditions. In this study, the number of milkings was not evaluated, but in this survey the KC group responded similarly to the HO group in terms of milk production throughout lactation.
Nonetheless, incorporating a new genetic crossing in a region requires an extensive analysis of the product information and adaptation to conditions in the area. Therefore, the effect of the third of lactation on milk production for HO and KC groups were evaluated, and it did not reveal different results among racial groups. However, the third of lactation influenced production within each race. In both groups a decreasing pattern was observed in milk production; for the case of the HO group the difference between the third and the first third of lactation was 3.7 l cow-1 day-1; while, in the KC group this difference was 3.3 l cow-1 day-1. This comparison between the third and the first third of lactation in high production HO cows revealed differences of 25 l cow-1 day-1 comprising a 50 % drop in milk production (Hale et al., 2003). Recent research has shown that milk production, considering the third of lactation was influenced by the diet administered to the animals, finding that under grazing conditions, cows produced more total solids. Additionally, the administration of concentrate had a better effect during the final third of the lactation period (O’Callaghan et al., 2016; Shortall et al., 2017).
During decades, animal performance related to milk production has been forged over genetic selection seeking to respond to the growing product demand, and according to Rojas-Downing et al. (2017), this demand to be doubled by 2050. However, along with an increase in milk production, an intensification in animal health problems has occurred, especially regarding metabolic alterations that significantly affect animal reproduction (Buckley et al., 2014). To counteract these difficulties exhibited by the cows, recent research studies have begun to study the productive and reproductive behavior of J x HO crosses. The results showed that a decrease in production volume is balanced by an increase in the improvement of solids in milk and fertility (Rowarth, 2013; Buckley et al., 2014; Coffey et al., 2016). Considering the above mentioned, in this study an increase in the compositional quality of milk was confirmed for the group KC vs. HO, where the average of the five weeks for fat, protein, and total solids values was 4±0.08 vs. 3.68±0.11 %; 3.37±0.04 vs. 3.1±0.05 %, and 13.33±0.17 vs. 12.56±0.23, respectively. This demonstrates a marked effect of the crossing used.
This is the first comparative study that has been carried out on dairy production conditions in the high tropics of Colombia between KC and HO cows. Data indicate that cows of the KC group under grazing conditions showed a milk production similar to the HO group, accompanied by an increase in the compositional quality of the milk in its two main components, i.e., fat and protein. Studies comparing production by lactation and cost-benefit ratio should be carried out in the future.
The Authors wish to thank Corporación Colombiana de Investigación Agropecuaria (AGROSAVIA), for financing this research.
AOAC (Association of Official Analytical Chemists). 1990. Official methods of analysis. 15th ed. AOAC, WA, USA.
Bolívar, D.M., J.J. Echeverry, L.F. Restrepo, and M.F. Cerón. 2009. Productivity of Jersey, Holstein, and Holstein*Jersey cows in a zone of low mountain, wet forest. Livest. Res. Rural Dev. 21(6):80. http://www.lrrd.org/lrrd21/6/boli21080.htm (accessed Dec. 6, 2017).
Buckley, F., N. López-Villalobos, and B.J. Heins. 2014. Crossbreeding: Implications for dairy cow fertility and survival. Animal 8:122-133. doi:10.1017/S1751731114000901.
Cañas, J., L. Restrepo, J. Ochoa, A. Echeverri, y M. Muñoz. 2009. Estimación de las curvas de lactancia en ganado Holstein y BON x Holstein en trópico alto colombiano. Rev. Lasallista Invest. 6(1):35-42.
Cardona-Cifuentes, D., M. Londoño-Gil, y J.J. Echeverri-Zuluaga. 2017. Evaluación comparativa de parámetros productivos en diferentes cruces de ganado Blanco-Orejinegro con Holstein. Corpoica Cienc. Tecnol. Agropecu. 18:513-527. doi:10.21930/rcta.vol18_num3_art:741
Cerón, M.F., H. Tonhati, C. Costa, and F. Benavides. 2001. Genotype and environment interaction in Colombian Holstein cattle. Arch. Latinoam. Prod. Anim. 9(2):74-78. doi:10.3168/jds.S0022-0302(91)78333-1
Coffey, E.L., B. Horan, R.D. Evans, and D.P. Berry. 2016. Milk production and fertility performance of Holstein, Friesian, and Jersey purebred cows and their respective crosses in seasonal-calving commercial farms. J. Dairy Sci. 99:5681-5689. doi:10.3168/jds.2015-10530.
Echeverri, J., V. Salazar, y J. Parra. 2011. Análisis comparativo de los grupos genéticos Holstein, Jersey y algunos de sus cruces en un hato lechero del Norte de Antioquia en Colombia. Zootec. Trop. 29:49-59.
Ferris, C., P. Purcell, A. Gordon, T. Larsen, and M.Vestergaad. 2016. Holstein-Friesian vs 3-breed crossbred dairy cows within a low and moderate concentrate input System. EAAP, ITA. http://www.eaap.org/Annual_Meeting/2016_belfast/S70_04_FERRIS.pdf (accessed 16 Jan. 2017).
Hale, S.A., A.V. Capuco, and R.A. Erdman. 2003. Milk yield and mammary growth effects due to increased milking frequency during early lactation. J. Dairy Sci. 86:2061-2071. doi:10.3168/jds.S0022-0302(03)73795-3
Heins, B.J., L.B. Hansen, A.J. Seykora, A.R. Hazel, D.G. Johnson, and J.G. Linn. 2011. Short communication: Jersey × Holstein crossbreds compared with pure Holsteins for production, mastitis, and body measurements during the first 3 lactations. J. Dairy Sci. 94:501-506. doi:10.3168/jds.2010-3232
Kennedy, J., P. Dillon, L. Delaby, P. Faverdin, G. Stakelum, and M. Rath. 2003. Effect of genetic merit and concentrate supplementation on grass intake and milk production with holstein friesian dairy cows. J. Dairy Sci. 86:610-621. doi:10.3168/jds.S0022-0302(03)73639-X
Koeslag, J. 1985. Producción de leche en zonas de ladera fría. AGROSAVIA, COL. https://repository.agrosavia.co/bitstream/handle/20.500.12324/33335/722_2.pdf?sequence=2&isAllowed=y (consultado 22 mar. 2017).
Lembeye, F., N. López-Villalobos, J.L. Burke, S.R. Davis, J. Richardson, N.W. Sneddon, and D.J. Donaghy. 2016. Comparative performance in Holstein-Friesian, Jersey and crossbred cows milked once daily under a pasture-based system in New Zealand. New Zeal. J. Agric. Res. 59:351-362. doi:10.1080/00288233.2016.1207669
LIC, and DairyNz. 2016. New Zealand dairy statistics 2015-16. LIC, NZL. https://www.lic.co.nz/documents/51/DAIRY-STATISTICS-15-16.pdf (accessed May. 30, 2017).
Lucy, M.C. 2001. Reproductive loss in high-producing dairy cattle: where will it end? J. Dairy Sci. 84:1277-1293. doi:10.3168/jds.S0022-0302(01)70158-0
Mackle, T.R., C.R. Parr, G.K. Stakelum, A.M. Bryant, and K.L. MacMillan. 1996. Feed conversion efficiency, daily pasture intake, and milk production of primiparous Friesian and Jersey cows calved at two different liveweights. New Zeal. J. Agric. Res. 39:357-370. doi:10.1080/00288233.1996.9513195
Mohanty, B.S., M.R. Verma, V.B. Sharma, and P.K. Roy. 2017. Comparative study of DIM models in crossbred dairy cows. Int. J. Agric. Stat. Sci. 13:545-551.
O’Callaghan, T.F., D. Hennessy, S. McAuliffe, K.N. Kilcawley, M. O’Donovan, P. Dillon, R.P. Ross, and C. Stanton. 2016. Effect of pasture versus indoor feeding systems on raw milk composition and quality over an entire lactation. J. Dairy Sci. 99:1-17. doi:10.3168/jds.2016-10985
Prendiville, R., K.M. Pierce, and F. Buckley. 2009. An evaluation of production efficiencies among lactating Holstein-Friesian, Jersey, and Jersey×Holstein-Friesian cows at pasture. J. Dairy Sci. 92:6176-6185. doi:10.3168/jds.2009-2292
Prendiville, R., K.M. Pierce, and F. Buckley. 2010. A comparison between Holstein-Friesian and Jersey dairy cows and their F1 cross with regard to milk yield, somatic cell score, mastitis, and milking characteristics under grazing conditions. J. Dairy Sci. 93:2741-2750. doi:10.3168/jds.2009-2791
Prendiville, R., K.M. Pierce, L. Delaby, and F. Buckley. 2011. Animal performance and production efficiencies of Holstein-Friesian, Jersey and Jersey × Holstein-Friesian cows throughout lactation. Livest. Sci. 138:25-33. doi:10.1016/j.livsci.2010.11.023
Ray, D.E., T.J. Halbach, and D.V. Armstrong. 1992. Season and lactation number effects on milk production and reproduction of dairy cattle in Arizona. J. Dairy Sci. 75:2976-2983. doi:10.3168/jds.S0022-0302(92)78061-8
Rojas-Downing, M.M., A.P. Nejadhashemi, T. Harrigan, and S.A. Woznicki. 2017. Climate change and livestock: Impacts, adaptation, and mitigation. Clim. Risk Manag. 16:145-163. doi:10.1016/j.crm.2017.02.001
Rosero, C.Y., C.E. Solarte-Portilla, W.O. Burgos, y I.F. Caviedes-Castro. 2009. Caracterización y evaluación genética de la población bovina lechera del trópico alto de Nariño, para la conformación de núcleos de selección. Ministerio de Agricultura, Universidad de Nariño, COLÁCTEOS, CIAT, y FEDEGAN, COL. doi:10.13140/2.1.3396.1762.
Rowarth, J.S. 2013. Dairy cows: economic production and environmental protection. Manaaki Whenua Press, Lincoln, NZL.
Shortall, J., C. Foley, R.D. Sleator, and B. O’Brien. 2017. The effect of concentrate supplementation on milk production and cow traffic in early and late lactation in a pasture-based automatic milking system. Animal 21:1-11. doi:10.1017/S1751731117002221
White, S., G.A. Benson, S.P. Washburn, and J.T. Green. 2002. Reproduction, mastitis, and body condition of seasonally calved Holstein and Jersey cows in confinement or pasture systems. J. Dairy Sci. 85:95-104. doi:10.3168/jds.S0022-0302(02)74058-7
