Agronomía Mesoamericana

Nota técnica

Volumen 33(1): Artículo 45472, 2022

e-ISSN 2215-3608, doi:10.15517/am.v33i1.45472

https://revistas.ucr.ac.cr/index.php/agromeso/index

Multiplicación in vitro de pitahaya amarilla (Hylocereus megalanthus) a partir de plántulas obtenidas in vitro1

In vitro multiplication of yellow dragon fruit (Hylocereus megalanthus) from seedlings obtained in vitro

Gerardo Mállap-Detquizán2, Nuri C. Vilca-Valqui2, Jegnes Benjamín Meléndez-Mori2, Eyner Huaman-Huaman2, Manuel Oliva2

1 Recepción: 20 de enero, 2021. Aceptación: 17 de junio, 2021. Este trabajo formó parte de la actividad realizada en la práctica preprofesional y la tesis de grado en Ingeniería Agronómica de la Universidad Nacional Toribio Rodríguez de Mendoza de Amazonas, del primer autor. La investigación fue financiada por el proyecto SNIP N° 312252 “Creación del Servicio de un Laboratorio de Fisiología y Biotecnología Vegetal de la Universidad Nacional Toribio Rodríguez de Mendoza de Amazonas”, ejecutado por el Instituto de Investigación para el Desarrollo Sustentable de Ceja de Selva.

2 Universidad Nacional Toribio Rodríguez de Mendoza, Instituto de Investigación para el Desarrollo Sustentable de Ceja de Selva, Chachapoyas 01001, Perú. gerardo.mallap@gmail.com (https://orcid.org/0000-0002-0001-9620), nuricarito.02@gmail.com (https://orcid.org/0000-0002-4539-1602), jbenjamin@indes-ces.edu.pe (autor para la correspondencia; https://orcid.org/0000-0002-1489-7395), eyner.huaman@untrm.edu.pe (https://orcid.org/0000-0002-3772-5334), soliva@indes-ces.edu.pe (https://orcid.org/0000-0002-9670-0970).

Resumen

Introducción. Las propiedades nutricionales, capacidad antioxidante y valor comercial de la pitahaya amarilla son un atractivo para su siembra, por ello, es necesario estudiar mejoras tecnológicas para su propagación. Objetivo. Evaluar la viabilidad del establecimiento y multiplicación in vitro de pitahaya amarilla, con el uso como explantes de plántulas provenientes de la germinación in vitro y distintas fuentes hormonales. Materiales y métodos. El experimento se desarrolló en el Laboratorio de Fisiología y Biotecnología Vegetal de la Universidad Nacional Toribio Rodríguez de Mendoza, Perú, entre febrero y junio de 2020. Se evaluaron cuatro tratamientos para la germinación [control: agua estéril (3 mL), E1: MS (50 %), sacarosa (30 g L-1), agar (6 g L-1), E2: AG3 (250 mg L-1), E3: MS (100 %), sacarosa (30 g L-1), agar (6 g L-1), AG3 (250 mg L-1)] y multiplicación [control: MS (100 %), sacarosa (30 g L-1), agar (7 g L-1), M1: MS (100 %), sacarosa (30 g L-1), agar (7 g L-1), agua de coco (10 ml L-1), M2: MS (100 %), sacarosa (30 g L-1), agar (7 g L-1), agua de coco (20 ml L-1), carbón activado (2 g L-1), M3: MS (100 %), sacarosa (30 g L-1), agar (7 g L-1), BAP (0,10 mg L-1), ANA (3 mg L-1)]. Las variables evaluadas fueron: germinación (%), número y longitud de brotes y raíces, formación de callos (%), enraizamiento (%) y número de aréolas. Resultados. La mejor germinación (100 %) se obtuvo en el medio E1, con más de tres raíces y dos brotes por plántula. El medio M2 generó la mejor multiplicación, con 82,5 % de enraizamiento, brotes de 1,66 cm y 1,86 aréolas, y menor presencia de tejido calloso (60 %). Conclusión. Se logró la micropropagación de pitahaya amarilla al emplear como fuente de explante plántulas obtenidas in vitro.

Palabras clave: cultivo de tejidos, micropropagación, reguladores de crecimiento vegetal.

Abstract

Introduction. The nutritional properties, antioxidant capacity, and commercial value of the yellow dragon fruit are attractive for its sowing; therefore, it is necessary to study technological improvements for its propagation. Objective. To evaluate the feasibility of in vitro establishment and multiplication of yellow dragon fruit, with the use as explants of seedlings from the in vitro germination and various hormonal sources. Materials and methods. The experiment was developed in the Plant Physiology and Biotechnology Laboratory of the Universidad Nacional Toribio Rodriguez de Mendoza, Peru, between February and June 2020. Four treatments were evaluated for germination [control: sterile water (3 ml), E1: MS (50 %), sucrose (30 g L-1), agar (6 g L-1), E2: AG3 (250 mg L-1), E3: MS (100 %), sucrose (30 g L-1), agar (6 g L-1), AG3 (250 mg L-1)] and multiplication [control: MS (100 %), sucrose (30 g L-1), agar (7 g L-1), M1: MS (100 %), sucrose (30 g L-1), agar (7 g L-1), coconut water (10 ml L-1), M2: MS (100 %), sucrose (30 g L-1), agar (7 g L-1), coconut water (20 ml L-1), activated carbon (2 g L-1), M3: MS (100 %), sucrose (30 g L-1), agar (7 g L-1), BAP (0.10 mg L-1), ANA (3 mg L-1)]. The evaluated variables were: germination (%), number and length of shoots and roots, callus formation (%), rooting (%), and the number of areoles. Results. The best germination (100 %) was obtained in the E1 medium, with more than three roots and two shoots per seedling (2,64 cm). The M2 medium generated the best multiplication, with 82.5 % rooting, 1.66 cm shoots and 1.86 areoles, and less presence of callus tissue (60 %). Conclusion. The micropropagation of yellow dragon fruit was achieved by using seedlings obtained in vitro as an explant source.

Keywords: tissue culture, micropropagation, plant growth regulators.

Introducción

La pitahaya amarilla (Hylocereus megalanthus (K. Schum. ex Vaupel) Ralf Bauer, Cactaceae) es una fruta tropical con gran aceptación en el mercado nacional de Perú e internacional, debido a su exquisito sabor, además de sus propiedades nutricionales (Balaguera-López et al., 2011; Mohamed Íbrahim et al., 2017; Verona-Ruiz et al., 2020). Posee varios compuestos responsables de actividades farmacológicas, como acciones antitumorales, antioxidantes y antiinflamatorias (Ross & Davis, 2011). Durante los últimos años, su demanda ha presentado un crecimiento acelerado, lo que requiere de mayores esfuerzos para incrementar su producción, por ello es imprescindible mejorar el proceso de propagación para la obtención masiva y uniforme de plantas con características deseables (Suárez-Román et al., 2014).

La propagación de pitahaya se realiza a través de esquejes; sin embargo, este método de reproducción requiere de un cuidado especial, ya que puede transmitir patógenos, pero además resulta poco eficaz para proporcionar plántulas a gran escala. En este contexto, la micropropagación se presenta como un método viable que garantiza calidad y alta eficiencia (máxima producción de plántulas a partir de una pequeña cantidad de material vegetal) en algunas especies de pitahaya (Cavalcante & Martins, 2008; Hua et al., 2015; Zhang et al., 2016). Existen diversos estudios sobre cultivo in vitro de pitahaya, orientados a la diferenciación de callos mediante proliferación de brotes somáticos y embriogénesis (Caetano Nunes et al., 2014; Pelah et al., 2002; Sheng et al., 2016), y al uso de reguladores de crecimiento y fuente de explante (Bozkurt et al., 2020; Montiel-Frausto et al., 2016; Suárez-Román et al., 2014).

En la micropropagación de pitahaya se pueden expresar diferentes respuestas aun cuando se cultiven en el mismo medio y con los mismos reguladores de crecimiento vegetal (Drew & Azimi, 2002; Fan et al., 2013; Mohamed-Yasseen, 2002). Las variaciones pueden estar relacionados con factores genéticos, fisiológicos, ambientales y/o la composición del medio de cultivo (Lopes et al., 2017), lo que sugiere que aún falta información sobre los métodos para el establecimiento y multiplicación in vitro del cultivo. La incorporación de complementos nutricionales alternativos como el agua de coco, ha generado efectos positivos en el desarrollo y crecimiento del explante (Khatun et al., 2018; Raja et al., 2018; Sherif et al., 2016). Además, es una fuente de bajo costo comparado con los reguladores de crecimiento de uso tradicional.

El objetivo del presente estudio fue evaluar la viabilidad del establecimiento y multiplicación in vitro de pitahaya amarilla, utilizando como explantes plántulas provenientes de la germinación in vitro y distintas fuentes hormonales.

Materiales y métodos

Selección del material vegetal

Se recolectaron frutos maduros de pitahaya amarilla (Hylocereus megalanthus), de una parcela ubicada en el distrito Churuja, provincia de Bongará, Perú (1420 msnm, latitud sur 83°21’48,0’’, longitud oeste 101°07’07,4’). Para su selección se evaluaron características biométricas y proximales como color (amarillo intenso), diámetro polar (9,40 – 9,84 cm), diámetro ecuatorial (9,60 – 9,85 cm), peso (479 – 482 g), sólidos solubles totales (> 16 °Brix), acidez titulable (0,19 % de ácido cítrico), índice de madurez (84,37 aprox.) y pH del sumo (5,1 – 5,3). La investigación se desarrolló en el Laboratorio de Fisiología y Biotecnología Vegetal de la Universidad Nacional Toribio Rodríguez de Mendoza, Chachapoyas, Perú, entre los meses de febrero a junio de 2020.

Fase de establecimiento in vitro de semillas

Los frutos se sumergieron en una solución de hipoclorito de sodio al 5 % durante 14 h, seguido de un lavado con detergente y enjuague con abundante agua. A continuación, se extrajeron las semillas, se lavaron con agua corriente y se dejaron secar durante 24 h. Las semillas se seleccionaron por su coloración negro brillante y forma abultada, además se realizó la prueba de viabilidad con tetrazolio al 1 % (viabilidad de 99 %). Luego se desinfectaron con alcohol (70 %) por 30 s y se sumergieron en hipoclorito de sodio (2 %) más Tween 20 (0,1 %) por 10 min. Al finalizar cada desinfección se realizaron tres enjuagues con agua destilada.

La germinación in vitro se realizó en placas Petri, donde se colocaron diez semillas. Se probaron cuatro medios para el establecimiento (Cuadro 1), con diez repeticiones (placas Petri) por tratamiento. Las semillas se incubaron en una sala de crecimiento a una temperatura de 24±1 °C, bajo luz fluorescente fría de un nivel de iluminación de 3000 lux y fotoperíodo de 16 h luz.

Cuadro 1. Medios de cultivo evaluados en la germinación in vitro de semillas de pitahaya amarilla (Hylocereus megalanthus). Laboratorio de Fisiología y Biotecnología Vegetal de la Universidad Nacional Toribio Rodríguez de Mendoza, Chachapoyas, Perú. 2020.

Table 1. Culture medium evaluated in the germination in vitro germination of yellow dragron fruit (Hylocereus megalanthus) seeds. Plant Physiology and Biotechnology Laboratory of the Universidad Nacional Toribio Rodriguez de Mendoza, Chachapoyas, Peru. 2020.

Durante los primeros treinta días se evaluó la germinación (%). A continuación, cinco plántulas (por frasco magenta) se transfirieron a un medio fresco y, luego de treinta días, se registró el número de brotes, longitud de brotes, número de raíces y longitud de raíz.

Fase de multiplicación

Para iniciar la multiplicación, se utilizaron plántulas de dos meses procedentes del medio de establecimiento M2 (MS al 50 % + sacarosa 30 g L-1 + agar 6 g L-1), debido a que desarrollaron brotes con mayor vigor. Para el experimento se utilizaron cuatro medios de cultivo (Cuadro 2), con el objetivo de determinar el medio más adecuado para el desarrollo de explantes de pitahaya amarilla. El pH del medio se ajustó a 5,8 (NaOH 1N y/o HCl 1N) y se esterilizó en una autoclave a 121 °C durante 20 minutos.

Cuadro 2. Medios de cultivo evaluados en la fase de multiplicación in vitro de pitahaya amarilla (Hylocereus megalanthus). Laboratorio de Fisiología y Biotecnología Vegetal de la Universidad Nacional Toribio Rodríguez de Mendoza, Chachapoyas, Perú. 2020.

Table 2. Culture medium evaluated in the phase of multiplication in vitro phase of multiplication of yellow dragon fruit (Hylocereus megalanthus). Plant Physiology and Biotechnology Laboratory of the Universidad Nacional Toribio Rodriguez de Mendoza, Chachapoyas, Peru. 2020.

En la fase de multiplicación se utilizaron diez réplicas por tratamiento, cada una de las cuales consistió en cuatro explantes (cladodios de 1 cm) por frasco magenta, para un total de 160 unidades de prueba. Los cultivos se colocaron en una sala de crecimiento a una temperatura de 24±1 °C, bajo luz fluorescente fría de un nivel de iluminación de 3000 lux y fotoperíodo de 16 h luz.

A los sesenta días de cultivo, se evaluó la formación de callos (%), el enraizamiento (%), el número y longitud de brotes y el número de aréolas (yemas) por brote.

Diseño experimental y análisis de datos

El experimento se dirigió bajo un diseño completamente al azar (DCA) con cuatro tratamientos por fase. Se realizó un análisis de varianza y separación de medias con la prueba Tukey (p<0,01). A los datos (número de brotes, longitud de brotes y número de aréolas por brote) que no cumplieron una distribución normal, se les aplicó una transformación de raíz cuadrada (√Y + 0,5). Los datos se procesaron en el software estadístico Infostat (Di-Rienzo et al., 2018).

Resultados

Fase de establecimiento

El porcentaje de germinación mostró diferencias significativas (p<0,01) entre tratamientos. Luego de 30 días, se observó una germinación del 100 % con los medios de cultivo E1 y E3, seguido por el tratamiento control con el 98 %. Por el contrario, en el medio E2, no hubo germinación (Figura 1).

Figura 1. Porcentaje de germinación in vitro de semillas de pitahaya amarilla (Hylocereus megalanthus). Laboratorio de Fisiología y Biotecnología Vegetal de la Universidad Nacional Toribio Rodríguez de Mendoza, Chachapoyas, Perú. 2020.

E1: MS (50 %), sacarosa (30 g L-1), agar (6 g L-1). E2: AG3 (250 mg L-1). E3: MS (100 %), sacarosa (30 g L-1), agar (6 g L-1), AG3 (250 mg L-1). Control: agua estéril (3 mL).

Figure 1. In vitro germination percentage of yellow dragon fruit (Hylocereus megalanthus) seeds. Plant Physiology and Biotechnology Laboratory of the Universidad Nacional Toribio Rodriguez de Mendoza, Chachapoyas, Peru. 2020.

E1: MS (50 %), sucrose (30 g L-1), agar (6 g L-1). E2: AG3 (250 mg L-1). E3: MS (100 %), sucrose (30 g L-1), Agar (6 g L-1), AG3 (250 mg L-1). Control: sterile water (3 mL).

El número de brotes fue significativamente (p<0,01) superior en el medio E3 (MS al 100 % + 30 g L-1 sacarosa + 6 g L-1 agar + 250 mg L-1 AG3), con un promedio de 2,48 (Figura 2a). Los brotes de mayor altura (2,64 cm) y la mayor formación de raíces (> 3 por plántula) se encontraron en los cultivos desarrollados en medio E1 (MS al 50 % + 30 g L-1 sacarosa + 6 g L-1 agar) y E3 (Figuras 2b-c, 3), los cuales superaron significativamente a los tratamientos restantes. La longitud de raíces en el medio E1, en promedio fue superior con 2,78 cm (Figura 2d).

Figura 2. Germinación in vitro de semillas de pitahaya amarilla (Hylocereus megalanthus). (a) número de brotes, (b) longitud de brote, (c) número de raíces y (d) longitud de raíz. Laboratorio de Fisiología y Biotecnología Vegetal de la Universidad Nacional Toribio Rodríguez de Mendoza, Chachapoyas, Perú. 2020.

E1: MS (50 %), sacarosa (30 g L-1), agar (6 g L-1). E2: AG3 (250 mg L-1). E3: MS (100 %), sacarosa (30 g L-1), agar (6 g L-1), AG3 (250 mg L-1). Control: agua estéril (3 mL).

Figure 2. In vitro germination of yellow dragon fruit (Hylocereus megalanthus) seeds. (a) number of shoots, (b) length of shoots, (c) number of roots, and (d) length of root. Plant Physiology and Biotechnology Laboratory of the Universidad Nacional Toribio Rodriguez de Mendoza, Chachapoyas, Peru. 2020.

E1: MS (50 %), sucrose (30 g L-1), agar (6 g L-1). E2: AG3 (250 mg L-1). E3: MS (100 %), sucrose (30 g L-1), Agar (6 g L-1), AG3 (250 mg L-1). Control: sterile water (3 mL).

Figura 3. (a) Germinación y (b) desarrollo in vitro de pitahaya amarilla (Hylocereus megalanthus) en medio de cultivo E1 (MS al 50 % + 30 g L-1 sacarosa + 6 g L-1 agar). Laboratorio de Fisiología y Biotecnología Vegetal de la Universidad Nacional Toribio Rodríguez de Mendoza, Chachapoyas, Perú. 2020.

Figure 3. (a) Germination and (b) in vitro development of yellow dragon fruit (Hylocereus megalanthus) in culture medium E1 (MS to 50 % + 30 g L-1 sucrose + 6 g L-1 agar). Plant Physiology and Biotechnology Laboratory of the Universidad Nacional Toribio Rodriguez de Mendoza, Chachapoyas, Peru. 2020.

Fase de multiplicación

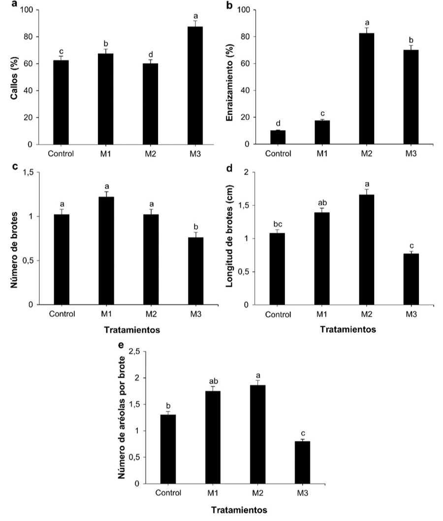
Se evidenció un efecto significativo (p<0,01) de los medios de cultivo sobre las variables de interés. La formación de callos en los explantes mostró una incidencia significativamente superior cuando el medio de cultivo incluyó BAP y ANA (M3) en su composición, con una media mayor al 80 % (Figura 4a). El porcentaje de enraizamiento alcanzado en el medio de cultivo M2 (100 % MS + 30 g L-1 sacarosa + 7g L-1 agar + 20 ml L-1 agua de coco + 2 g L-1 carbón activado) (Figura 4b, 5a), superó en un 72,5 % la respuesta mostrada por los explantes cultivados en medio sin fuente hormonal (10 %) (Figura 4b).

Figura 4. Multiplicación in vitro de pitahaya amarilla (Hylocereus megalanthus). (a) Formación de callos, (b) enraizamiento, (c) número de brotes, (d) longitud de brote y (e) número de aréolas por brote. Laboratorio de Fisiología y Biotecnología Vegetal de la Universidad Nacional Toribio Rodríguez de Mendoza, Chachapoyas, Perú. 2020.

M1: MS (100 %), sacarosa (30 g L-1), agar (7 g L-1), agua de coco (10 ml L-1). M2: MS (100 %), sacarosa (30 g L-1), agar (7 g L-1), agua de coco (20 ml L-1), carbón activado (2 g L-1). M3: MS (100 %), sacarosa (30 g L-1), agar (7 g L-1), BAP (0,10 mg L-1), ANA (3 mg L-1). Control: MS (100 %), sacarosa (30 g L-1), Agar (7 g L-1).

Figure 4. In vitro multiplication of yellow dragon fruit (Hylocereus megalanthus). (a) Callus formation, (b) rooting, (c) number of shoots, (d) length of shoot, and (e) number of areolas per shoot. Plant Physiology and Biotechnology Laboratory of the Universidad Nacional Toribio Rodríguez de Mendoza, Chachapoyas, Peru. 2020.

M1: MS (100 %), sucrose (30 g L-1), agar (7 g L-1), coconut water (10 ml L-1). M2: MS (100 %), sucrose (30 g L-1), agar (7 g L-1), coconut water (20 ml L-1), activated carbon (2 g L-1). M3: MS (100 %), sucrose (30 g L-1), agar (7 g L-1), BAP (0.10 mg L-1), ANA (3 mg L-1). Control: MS (100%), sucrose (30 g L-1), agar (7 g L-1).

Figura 5. Pitahaya amarilla (Hylocereus megalanthus). (a) Desarrollo radicular y (b) crecimiento de brotes en el medio de cultivo M2 (MS al 100 % + 30 g L-1 sacarosa + 7g L-1 agar + 20 ml L-1 agua de coco + 2 g L-1 carbón activado). Laboratorio de Fisiología y Biotecnología Vegetal de la Universidad Nacional Toribio Rodríguez de Mendoza, Chachapoyas, Perú. 2020.

Figure 5. Yellow dragon fruit (Hylocereus megalanthus). (a) Root development and (b) growth of shoots in the M2 culture medium (MS to 100 % + 30 L-1 g sucrose + 7g L-1 agar + 20 ml L-1 coconut water + 2 g L-1 activated carbon). Plant Physiology and Biotechnology Laboratory of the Universidad Nacional Toribio Rodriguez de Mendoza, Chachapoyas, Peru. 2020.

El número de brotes regenerados superó la media de un brote por explante en tres de los cuatro medios evaluados, excepto en el medio M3, que registró una media de 0,76 brotes (Figura 4c). Los brotes con mayor crecimiento se encontraron en el medio M2 con una altura de 1,66 cm (Figura 4d, 5b), seguido por el medio M1 (MS + 30 g L-1 sacarosa + 7g L-1 agar + 10 ml L-1 agua de coco) con 1,39 cm (Figura 4d). El mayor (1,86) y menor (0,80) número de aréolas se registró en los tratamientos M2 y M3, respectivamente (Figura 4e), hubo una relación directamente proporcional con el tamaño del brote regenerado.

Las vitroplantas fueron sembradas en bolsas de polietileno con sustrato compuesto por compost (50 %) y tierra de bosque (50 %). Luego de dos meses, las plantas mostraron un 100 % de sobrevivencia, el desarrollo de hasta 15 brotes, altura mayor a 9,90 cm y raíces de 2,50 cm.

Discusión

Las semillas presentaron alta viabilidad, ya que luego de 30 días se registraron porcentajes de germinación de 98 % a 100 % (excepto en el tratamiento E2) (Figura 1). Estos resultados superan el reporte realizado por Montiel-Frausto et al. (2016) y Villavicencio-Gutiérrez et al. (2011), donde las mayores tasas de germinación de semillas de Hylocereus monacanthus y Turbinicarpus knuthianus, se registraron en 70 % y 75 %, respectivamente. En este estudio, el uso único de 250 mg L-1 de AG3 inhibió la germinación de semillas; sin embargo, la emergencia de vitroplantas se incrementó al 100 % cuando esta giberelina se combinó con MS (100 %), sacarosa (30 g L-1) y agar (6 g L-1). Los resultados obtenidos son un indicador de que la germinación de las semillas es un proceso sensible, que puede ser determinado por factores externos (como la disponibilidad de nutrientes, la temperatura y la humedad) e internos (como la genética, la fisiología y la sanidad de las semillas) (Farhadi et al., 2017; Pérez-Molphe-Bach et al., 2015). La alta tasa de germinación (98 %) observada en el tratamiento control, podría explicarse por la presencia de sustancias endógenas en las semillas (Villavicencio et al., 2012) y el uso semillas frescas con alta viabilidad (Montiel-Frausto et al., 2016).

La formación y el desarrollo de los brotes en las plántulas, mostró diferencias significativas según el tratamiento. En este estudio, los tratamientos con mejor respuesta promediaron más de dos brotes por plántula. Sin embargo, fueron inferiores al informe de Suárez-Román et al. (2014), en cuyo estudio lograron inducir la formación de tres brotes en promedio. Estas diferencias pueden estar relacionadas con los reguladores de crecimiento (ANA, BAP y kinetina) utilizados en el segundo estudio, ya que su adición puede inducir la diferenciación de tejidos y la formación de nuevos brotes (Farhadi et al., 2017). Respecto al crecimiento de los brotes, a los 60 días de cultivo, los más altos alcanzaron una altura de 2,64 cm. El incremento en la tasa de crecimiento coincidió con la presencia de sacarosa en el medio de cultivo. La sacarosa está involucrada en la morfogénesis y es esencial para la producción de energía y carbohidratos (Ramírez-González et al., 2019).

El desarrollo del sistema radicular en las plántulas fue variable tanto en número como en longitud. En este estudio, la adición de AG3 (250 mg L-1) al medio de cultivo (MS + sacarosa + agar), no aumentó la formación de raíces respecto a la respuesta obtenida en un medio homólogo sin fitohormona; por el contrario, pareció ejercer un efecto negativo sobre su crecimiento. Un resultado similar fue reportado por Amador-Alférez et al. (2013), donde las plántulas de Ferocactus histrix y Ferocactus latispinus provenientes del tratamiento sin regulador de crecimiento fueron las que registraron una mayor longitud de raíz. La ausencia de un efecto significativamente positivo del uso de AG3, puede estar relacionado con el uso de semillas frescas que no presentan algún tipo de latencia y no requieran de un estímulo externo para el desarrollo del embrión (Feria et al., 2012).

Más del 60 % de los explantes mostraron la presencia de tejido calloso. Esta respuesta es frecuente en explantes de pitahaya y puede incrementarse con la presencia exógena de reguladores de crecimiento (Montiel-Frausto et al., 2016; Pelah et al., 2002; Suárez-Román et al., 2014). El desarrollo de estos tejidos puede limitar el desarrollo y/o causar la muerte progresiva del explante (Meiners et al., 2007; Shriram et al., 2008). En la fase de multiplicación, se observó un crecimiento y desarrollo radicular reducido, pero no existió muerte de explantes. La capacidad de enraizamiento fue favorecida significativamente con el uso de una fuente externa de reguladores de crecimiento. En este contexto, es importante resaltar el efecto positivo del agua de coco, debido a que es una fuente natural de auxinas y citoquininas (Khatun et al., 2018; Raja et al., 2018; Sherif et al., 2016), además es una alternativa de bajo costo para su uso en el cultivo de tejidos vegetales (Prabowo et al., 2018).

En cuanto al número de brotes, tres de los cuatro tratamientos generaron en promedio más de un brote por explante, estos fueron los mejores resultados obtenidos. Sin embargo, estos resultados estuvieron por debajo del reporte de Bozkurt et al. (2020) y Suárez-Román et al. (2014), que obtuvieron hasta 5,41 y 3,8 brotes por explante, respectivamente. La longitud de los brotes estuvo relacionada con el número de aréolas. Esta característica tiene gran importancia, debido a que las aréolas son puntos vegetativos con alto potencial organogénico que sirven en la regeneración in vitro (Suárez-Román et al., 2014). El mayor crecimiento de los brotes puede estar relacionado con el uso de agua de coco en los tratamientos (Khatun et al., 2018; Ng et al., 2020). El agua de coco tiene efecto significativo sobre el alargamiento de brotes, debido a que su contenido de citocininas son capaces de desencadenar la morfogénesis y proliferación de brotes (Akhiriana et al., 2019; Ng et al., 2020; Sembiring et al., 2020).

Conclusiones

En este estudio se logró la micropropagación de pitahaya amarilla, al emplear como fuente de explantes plántulas provenientes de la germinación in vitro de semillas.

Las vitroplantas mostraron un adecuado desarrollo en el medio de cultivo sin reguladores de crecimiento.

En la fase de multiplicación in vitro, se determinó que el uso de agua de coco tuvo un efecto positivo, lo que puede convertirlo en un compuesto de bajo costo que se puede utilizar para diseñar protocolos de propagación de pitahaya amarilla.

La germinación in vitro de semillas se puede utilizar para evitar los problemas de contaminación y la disponibilidad de material de propagación.

Agradecimiento

Los autores agradecen el financiamiento a través del proyecto SNIP N° 312252 “Creación del Servicio de un Laboratorio de Fisiología y Biotecnología Vegetal de la Universidad Nacional Toribio Rodríguez de Mendoza de Amazonas”, ejecutado por el Instituto de Investigación para el Desarrollo Sustentable de Ceja de Selva.

Referencias

Akhiriana, E., Samanhudi, S., & Yunus, A. (2019). Coconut water and IAA effect on the in vitro growth of Tribulus terrestris L. Acta Universitatis Agriculturae et Silviculturae Mendelianae Brunensis, 67(1), 9 –18. https://doi.org/10.11118/actaun201967010009

Amador-Alférez, K. A., Díaz-González, J., Loza-Cornejo, S., & Bivián-Castro, E. Y. (2013). Efecto de diferentes reguladores de crecimiento vegetal sobre la germinación de semillas y desarrollo de plántulas de dos especies de Ferocactus (Cactaceae). Polibotánica, 35, 109-131.

Balaguera-López, H., Morales, E., Almanza-Merchán, P., & Balaguera, W. (2011). El tamaño del cladodio y los niveles de auxina influyen en la propagación asexual de pitaya (Selenicereus megalanthus Haw.). Revista Colombiana de Ciencias Hortícolas, 4(1), 33–42. https://doi.org/10.17584/rcch.2010v4i1.1222

Bozkurt, T., İnan, S., & Dündar, İ. (2020). Micropropagation of different pitaya varieties. International Journal of Agricultural and Natural Sciences, 13(1), 39–46. http://ijans.org/index.php/ijans/article/view/496/474

Caetano Nunes, D. G., Escobar, R., Caetano, C. M., & Vaca Vaca, J. C. (2014). Estandarización de un protocolo de regeneración en pitahaya amarilla (Selenicereus megalanthus (K. Schum. ex Vaupel) Moran). Acta Agronómica, 31(41), 31–41. http://doi.org/10.15446/acag.v63n1.36051

Cavalcante, Í. H. L., & Martins, A. B. G. (2008). Effect of juvenility on cutting propagation of red pitaya. Fruits, 63(5), 277–283. https://doi.org/10.1051/fruits:2008023

Di-Rienzo, J. A., Casanoves, F., Balzarini, M. G., Gonzalez, L., Tablada, M., Robledo, C. W. (2018). InfoStat (versión 2018) [software de computadora]. Universidad Nacional de Córdoba. http://www.infostat.com.ar/

Drew, R. A., & Azimi, M. (2002). Micropropagation of red pitaya (Hylocereous undatus). Acta Horticulturae, 575, 93–98. https://doi.org/10.17660/ActaHortic.2002.575.7

Fan, Q. J., Zheng, S. C., Yan, F. X., Zhang, B. X., Qiao, G., & Wen, X. P. (2013). Efficient regeneration of dragon fruit (Hylocereus undatus) and an assessment of the genetic fidelity of in vitro-derived plants using ISSR markers. The Journal of Horticultural Science and Biotechnology, 88(5), 631–637. https://doi.org/10.1080/14620316.2013.11513017

Farhadi, N., Panahandeh, J., Motallebi-Azar, A., & Alizadeh-Salte, S. (2017). Effects of explant type, growth regulators and light intensity on callus induction and plant regeneration in four ecotypes of Persian shallot (Allium hirtifolium). Scientia Horticulturae, 218, 80–86. https://doi.org/10.1016/j.scienta.2016.11.056

Feria, M. D., Rojas, D., Chavez, M., Reyna, M. Z., Quiala, E., Solis, J., & Zurita, F. (2012). Propagación in vitro de Hylocereus purpusii Britton & Rose, una especie mexicana en peligro de extinción. Biotecnología Vegetal, 12(2), 77–83. https://revista.ibp.co.cu/index.php/BV/article/view/154

Hua, Q., Chen, P., Liu, W., Ma, Y., Liang, R., Wang, L., Wang, Z., Hu, G., & Qin, Y. (2015). A protocol for rapid in vitro propagation of genetically diverse pitaya. Plant Cell, Tissue and Organ Culture, 120(2), 741–745. https://doi.org/10.1007/s11240-014-0643-9

Khatun, M. M., Roy, P. K., & Razza, A. (2018). Additive effects of coconut water with various hormones on in vitro regeneration of carnation (Dianthus caryophyllus L.). Journal of Animal and Plant Sciences, 28(2), 589–596.

Lopes, C. A., Gomes-Dias, G. de M., da Silveira, F. A., Almendagna-Rodrigues, F., Salles Pio, L. A., & Pasqual, M. (2017). Propagação in vitro de pitaia vermelha. Plant Cell Culture & Micropropagation, 13(1), 21–27. http://pccm.ufla.br/index.php/plantcellculturemicropropagation/article/view/105

Meiners, J., Schwab, M., & Szankowski, I. (2007). Efficient in vitro regeneration systems for Vaccinium species. Plant Cell, Tissue and Organ Culture, 89(2–3), 169–176. https://doi.org/10.1007/s11240-007-9230-7

Mohamed Ibrahim, S. R., Abdallah Mohamed, G., Mansour Khedr, A. I., Fathalla Zayed, M., & Soliman El-Kholy, A. A. -E. (2017). Genus Hylocereus: Beneficial phytochemicals, nutritional importance, and biological relevance - A review. Journal of Food Biochemistry, 42(2), 4–29. https://doi.org/10.1111/jfbc.12491

Mohamed Yasseen, Y. (2002). Micropropagation of pitaya (Hylocereus undatus Britton et rose). In Vitro Cellular & Developmental Biology – Plant, 38(5), 427–429. https://doi.org/10.1079/IVP2002312

Montiel-Frausto, L. B., Enríquez del Valle, J. R., & Cisneros, A. (2016). Propagación in vitro de Hylocereus monacanthus (Lem.) Britton y Rose. Biotecnología Vegetal, 16(2), 113–123. https://revista.ibp.co.cu/index.php/BV/article/view/516

Murashigue, T., & Skoog. F. (1962). A revised medium for rapid growth and bioassays with tobacco tissue cultures. Physiology Plantarum, 15(3), 473–497. https://doi.org/10.1111/j.1399-3054.1962.tb08052.x

Ng, Z. C., Tan, S. H., Shiekh-Mahmud, S. R., & Ma, N. L. (2020). Preliminary study on micropropagation of Hylocereus polyrhizus with waste coconut water and sucrose. Materials Science Forum, 981(1), 316–321. https://doi.org/10.4028/www.scientific.net/MSF.981.316

Pelah, D., Kaushik, R. A., Mizrahi, Y., & Sitrit, Y. (2002). Organogenesis in the vine cactus Selenicereus megalanthus using thidiazuron. Plant Cell, Tissue and Organ Culture, 71(1), 81–84. https://doi.org/10.1023/A:1016585108094

Pérez-Molphe-Balch, E., Santos-Díaz, M., Ramírez-Malagón, R., & Ochoa-Alejo, N. (2015). Tissue culture of ornamental cacti. Scientia Agricola, 72(6), 540–561. https://doi.org/10.1590/0103-9016-2015-0012

Prabowo, H., Samanhudi, S., Yuniastuti, E., & Yunus, A. (2018). Effects of media combination with concentration of AB mix nutrient on growth of banana shoots on in vitro. Bulgarian Journal of Agricultural Science, 24(3), 404–410. https://www.agrojournal.org/24/03-08.html

Raja, H. D., Jenifer, A. M., Steffi, P. F., Thamilmaraiselvi, B., Srinivasan, P., & Tamilvanan, R. (2018). Micropropagation of Plumbago zeylanica – an important medicinal plant. World Journal of Pharmacy and Pharmaceutical Sciences, 7(4), 1823–1829. https://doi.org/10.20959/wjpps2018411467

Ramírez-González, G., Rodríguez-De la O, J. L., Martínez-Solís, J., & Colinas-León, M. T. (2019). Germination and growth ex vitro and in vitro of five species of cacti of the genus. Mammillaria. Polibotánica, 48(1), 99–110. https://doi.org/10.18387/polibotanica.48.8

Ross, S. A., & Davis, C. D. (2011). MicroRNA, Nutrition, and Cancer Prevention. Advances in Nutrition, 2(6), 472–485. https://doi.org/10.3945/an.111.001206

Sembiring, R., Hayati, M., & Kesumawati, E. (2020). Formation of potato micro tubers (Solanum tuberosum L.) by using BAP and coconut water in the in vitro culture. IOP Conference Series: Earth and Environmental Science, 425, Article 012072. https://doi.org/10.1088/1755-1315/425/1/012072

Sheng, W. K. W., Sundarasekar, J., Sathasivam, K., & Subramaniam, S. (2016). Effects of plant growth regulators on seed germination callus induction of Hylocereus costaricensis. Pakistan Journal of Botany, 48(3), 977–982.

Sherif, N. A., Kumar, T. S., & Rao, M. V. (2016). In vitro regeneration by callus culture of Anoectochilus elatus Lindley, an endangered terrestrial jewel orchid. In Vitro Cellular & Developmental Biology – Plant, 52(1), 72–80. https://doi.org/10.1007/s11627-015-9741-6

Shriram, V., Kumar, V., & Shitole, M. G. (2008). Indirect organogenesis and plant regeneration in Helicteres isora L., an important medicinal plant. In Vitro Cellular & Developmental Biology – Plant, 44(3), 186–193. https://doi.org/10.1007/s11627-008-9108-3

Suárez-Román, R. S., Caetano, C. M., Ramírez, H., & Morales, J. G. (2014). Multiplicación de Selenicereus megalanthus (pitahaya amarilla) e Hylocereus polyrhizus (pitahaya roja) vía organogénesis somática. Acta Agronómica, 63(3), 272–281. http://doi.org/10.15446/acag.v63n3.40980

Verona-Ruiz, A., Urcia-Cerna, J., & Paucar-Menacho, L. M. (2020). Pitahaya (Hylocereus spp.): Culture, physicochemical characteristics, nutritional composition, and bioactive compounds. Scientia Agropecuaria, 11(3), 439–453. http://doi.org/10.17268/sci.agropecu.2020.03.16

Villavicencio-Gutiérrez, E. E., González-Cortes, A., Arredondo-Gómez, A., Iracheta-Donjuan, L., Comparan-Sánchez, S., & Casique-Valdés, R. (2011). Micropropagation of Turbinicarpus knuthianus (Boed.) John & Riha, ornamental cactus of the Chihuahuan Desert, at risk status. Revista Mexicana de Ciencias Forestales, 2(6), 1–18.

Villavicencio-Gutiérrez, E. E., González-Cortez, A., & Carranza-Pérez, M. A. (2012). Micropropagación de Epithelantha micromeris (Engelm.) F.A.C. Weber ex Britt. & Rose Cactaceae ornamental y recurso fitogenético del desierto Chihuahuense. Revista Mexicana de Ciencias Forestales, 3(14), 83–99.

Zhang, L., Zhao, Z.-M., Chen, H.-Y., Zhang, Y., & Li, H.-Q. (2016). Rapid propagation in vitro and domestication technique of tissue culture plantlets in pitaya. Guizhou Agricultural Sciences, 44(2), 20–23.

Licencia de Creative Commons
Esta obra está bajo una licencia de Creative Commons Reconocimiento-NoComercial-SinObraDerivada 4.0 Internacional.
Puede hallar permisos más allá de los concedidos con esta licencia en pccmca@gmail.com