Agronomía Mesoamericana
Artículo científico
Volumen 33(1): Artículo 45495, 2022
e-ISSN 2215-3608, doi:10.15517/am.v33i1.45495
https://revistas.ucr.ac.cr/index.php/agromeso/index
Catalina Ruiz-Campos1,2, Gerardina Umaña-Rojas2, Luis Gómez-Alpízar2
1 Recepción: 11 de febrero, 2021. Aceptación: 14 de mayo, 2021. Este trabajo formó parte del proyecto de tesis de licenciatura de la primera autora, titulado “Distribución y frecuencia de Colletotrichum spp. en la fruta de papaya (Carica papaya L.) híbrido ‘Pococí’ en las zonas productoras de Parrita, Guácimo y San Carlos”, realizado en la Universidad de Costa Rica.
2 Universidad de Costa Rica, Escuela de Agronomía, Centro de Investigaciones Agronómicas. San Pedro de Montes de Oca, San José, Costa Rica. caruiz@inta.go.cr (autor para la correspondencia https://orcid.org/0000-0002-4285-697X), gerardina.umana@ucr.ac.cr (https://orcid.org/0000-0002-6368-5225), luis.gomezalpizar@ucr.ac.cr (https://orcid.org/0000-0002-2522-5615).
Introducción. La antracnosis causada por Colletotrichum spp., es la principal enfermedad poscosecha de la papaya en todo el mundo. Diferentes países han identificado por técnicas moleculares nuevas especies del género asociadas a frutas tropicales. Objetivo. Identificar, mediante técnicas morfológicas y moleculares, las especies de Colletotrichum asociadas a la antracnosis en papaya en Costa Rica. Materiales y métodos. Durante el 2014 y 2015, se establecieron 129 aislamientos monospóricos de Colletotrichum spp. aislados a partir de lesiones de antracnosis en frutos recolectados en Parrita, San Carlos y Guácimo, Costa Rica. Todos los aislamientos se caracterizaron por morfología de colonia y PCR con imprimadores taxón especie específicos para las especies C. gloeosporioides s.l. y C. acutatum s.l., respectivamente; así como con imprimadores especie específicos para C. magnum y C. truncatum. La identificación de las especies se confirmó mediante análisis multilocus, con base en la secuencia parcial de los genes actina (ACT), β-tubulina (TUB2), gliceraldehído-3-fosfato deshidrogenasa (GAPDH), quitina sintasa 1 (CHS) y la región ITS. El análisis filogenético se basó en los criterios de máxima verosimilitud y análisis Bayesiano. Resultados. Seis especies: C. fructicola, C. tropicale, C. theobromicola del complejo C. gloeosporioides, C. simmondsii del complejo C. acutatum, C. truncatum y C. magnum s.l., se asociaron a la antracnosis en frutos de papaya. C. magnum s.l. fue la especie más frecuente. Temperaturas superiores a los 18 °C permitieron el desarrollo de cinco especies, C. theobromicola, C. fructicola, C. tropicale y C. magnum s.l., las cuales presentaron un crecimiento acelerado, mientras que C. simmondsii tuvo un crecimiento lento. Conclusión. El análisis multilocus permitió identificar a especies pertenecientes de los complejos C. gloeosporioides y C. acutatum. Este es el primer informe de C. fructicola, C. tropicale, C. theobromicola y C. simmondsii asociadas a la antracnosis en frutos de papaya en Costa Rica.
Palabras clave: análisis filogenético, Carica papaya, Costa Rica.
Introduction. Anthracnose caused by Colletotrichum spp., is the main postharvest disease of papaya worldwide. Molecular approaches have allowed the identification of new species of the genus associated with tropical fruits anthracnose in different countries. Objective. To identify, by morphological and molecular techniques, the Colletotrichum species associated with papaya anthracnose in Costa Rica. Materials and methods. During 2014 and 2015, 129 Colletotrichum spp. monosporic isolates were established from papaya fruits exhibiting anthracnose symptoms, collected in Parrita, San Carlos, and Guácimo, Costa Rica. All isolates were characterized by colony morphology and PCR with taxon- specific primers for the species C. gloeosporioides s.l., C. acutatum s.l., respectively, and with species-specific primers for C. magnum and C. truncatum. Species identification was confirmed by multilocus analysis, base on the partial sequence of the actin(ACT), β-tubulin (TUB2), glyceraldehyde-3-phosphate dehydrogenase (GAPDH) and chitin synthase 1 (CHS) genes and the ITS region. The phylogenetic analysis was based on the criteria of Maximum Likelihood and Bayesian analysis. Results. Six species were identified, C. fructicola, C. tropicale, C. theobromicola of the C. gloeosporioides species complex, C. simmondsii of the C. acutatum species complex, C. truncatum, and C. magnum s.l., being the latter the dominant species. Temperatures above 18 °C allowed the development of five species, C. theobromicola, C. fructicola, C. tropicale, and C. magnum s.l., which showed accelerated growth, while C. simmondsii had slow growth. Conclusion. The multilocus analysis was able to identify species belonging to the C. gloeosporioides and C. acutatum complexes. This is the first report of C. fructicola, C. tropicale, C. theobromicola, and C. simmondsii associated with anthracnose of papaya fruits in Costa Rica.
Keywords: phylogenetic analysis, Carica papaya, Costa Rica.
Los frutos de papaya (Carica papaya) son afectados por diversas enfermedades que reducen su calidad poscosecha, entre ellas la antracnosis. La enfermedad es causada por especies del género Colletotrichum y puede llegar a originar numerosas pérdidas por rechazo de la fruta (Bogantes & Mora, 2013; Pérez-Brito et al., 2018). Colletotrichum se ubica dentro de los diez géneros de hongos de mayor impacto económico a nivel mundial y es sujeto de numerosas investigaciones, dado su potencial de daño tanto en campo como en poscosecha (Dean et al., 2012).
La identificación de las especies del género Colletotrichum spp., se ha basado en su morfología, con características como tamaño y color de la colonia, crecimiento micelial, forma y tamaño de los conidios, así como en pruebas de patogenicidad y de sensibilidad al benomil (benzimidazol) (Phoulivong et al., 2010; Rampersad, 2011). No obstante, Colletotrichum spp. presenta una gran variabilidad en sus rasgos morfológicos a causa de influencias ambientales y una amplia gama de hospedantes (Pardo-de-la-Hoz et al., 2016; Rampersad, 2011). En adición, algunos aislamientos de especies consideradas sensibles al benomil, presentan resistencia a este fungicida (Barquero et al., 2013; Rampersad, 2011), por lo que estas características resultan insuficientes para una correcta identificación de las especies del género.
En los últimos años, los estudios moleculares han evidenciado la existencia de al menos once complejos de especies en el género Colletotrichum, entre ellos C. gloeosporioides y C. acutatum. Un complejo de especies agrupa varias especies indistinguibles a nivel morfológico, pero diferentes a nivel genético; por ejemplo, el complejo C. gloeosporioides sensu lato (s.l.) incluye a C. gloeosporioides sensu stricto (s.s.) y al menos otras veintidós especies (Álvarez et al., 2014; Baroncelli et al., 2017; Cai et al., 2009; da-Silva et al., 2020; Giblin et al., 2018). Numerosos trabajos a nivel mundial emplean el análisis filogenético multilocus con el fin de determinar las especies asociadas a la antracnosis en frutos tropicales, incluida la papaya (Cai et al., 2009; Damm et al., 2009; Phoulivongetal., 2010; Weir et al., 2012).
Varias especies de Colletotrichum han sido identificadas como agentes causales de antracnosis en la fruta de papaya en países como México, Brasil y Trinidad y Tobago, entre ellas, C. gloeosporioides s.s., C. truncatum (sinónimo C. capsici), C. magnum, C. fructicola y C. brevisporum (Marquez-Zequera et al., 2018; Nascimento et al., 2010; Rampersad, 2011; Santamaría-Basulto et al., 2011; Vieira et al., 2013).
En Costa Rica, C. gloeosporioides ha sido la especie asociada con la antracnosis en papaya por sus características morfológicas y prueba de sensibilidad a fungicidas, aunque algunos aislamientos mostraron pérdida de sensibilidad al benomil, por lo que podrían corresponder a otra especie (Barquero et al., 2013). Mediante el uso de PCR con imprimadores especie-específicos y secuenciamiento de la región ITS, se identificaron las especies C. gloeosporioides, C. truncatum y C. magnum asociadas a la antracnosis en papaya en muestras recolectadas en la zona de Guácimo (Molina-Chaves et al., 2017), lo que representó el primer hallazgo de otras especies de Colletotrichum asociadas a la enfermedad en papaya. La región ITS, sin embargo, no permite distinguir especies dentro del complejo C. gloeosporioides (Pardo-de-la-Hoz et al., 2016; Weir et al., 2012), por lo que otras especies pertenecientes a este complejo podrían, al igual que lo descrito en otros países, estar asociadas con la antracnosis de papaya en el país.
El objetivo de este estudio fue identificar, mediante técnicas morfológicas y moleculares, las especies de Colletotrichum asociadas a la antracnosis en papaya en Costa Rica.
Se cosecharon cuarenta frutas de papaya (Carica papaya) híbrido Pococí (Mora & Bogantes-Arias, 2004), con índice de madurez fisiológica en los cantones de Parrita, San Carlos y Guácimo, durante los meses de mayo, junio y julio del 2014 (Figura 1). La fruta se lavó con agua y se desinfectó con hipoclorito de sodio a una concentración de 100 mg l-1, se almacenó por quince días a 14 °C. Posterior a este periodo, se cambió la temperatura a 20 °C, para favorecer el desarrollo de los síntomas de la enfermedad.
Figura 1. Sitios de muestreo de frutos de papaya (Carica papaya) híbrido ‘Pococí’ en los cantones de Parrita (Jicote, Tigre, Vasconia y Playon), San Carlos (San Jorge, La Perla y San Josecito) y Guácimo (El Hogar, La Selva, El Bosque y La Guaria). Costa Rica, 2014.
Figure 1. Sampling sites of papaya fruits (Carica papaya) hybrid ‘Pococí’ in cantons of Parrita (Jicote, Tigre, Vasconia, and Playon), San Carlos (San Jorge, La Perla, and San Josecito), and Guácimo (El Hogar, La Selva, El Bosque and La Guaria) zones. Costa Rica, 2014.
En síntomas de consistencia suave, se realizó un corte en las lesiones para levantar parte del tejido y se tomaron trocitos de la zona de avance de la lesión en la pulpa para establecer los aislamientos. Para los síntomas de consistencia dura y seca, se cortaron fragmentos de tejido en la zona de avance de la infección y se sumergieron durante un minuto en hipoclorito de sodio al 1 %. Luego, se realizaron tres enjuagues con agua destilada estéril. Los aislados crecieron en medio de cultivo Papa Dextrosa Agar (PDA) y se incubaron en una cámara de crecimiento a 24 °C durante siete días. A partir de las colonias recuperadas, se realizaron cultivos monospóricos con base en la metodología descrita por Álvarez et al. (2004).
El ADN genómico total de cada aislamiento se extrajo mediante el método CTAB descrito por Rogers & Bendich (1985).
Para determinar la presencia del complejo C. acutatum se utilizó el imprimador específico CaInt2 (5´-GGGGAAGCCTCTCGCGG-3´) (Sreenivasaprasad et al., 1996), para C. acutatum s.l. en combinación con el iniciador universal ITS4 (5´-TCCTCCGCTTATTGATATGC-3´) (White et al., 1990). Para la detección de aislamientos pertenecientes al complejo C. gloeosporioides, se utilizó el imprimador CgInt (5´-GGCCTCCCGCCTCCGGGCGG-3´) (Mills et al., 1992), en combinación con el iniciador universal ITS4 (White et al., 1990).
Para los aislamientos identificados como C. magnum, se utilizaron los imprimadores especie específicos GmF (5`- GTG AAC ATA CCT CAA ACG TTG CC -3`) y GmR (5`- GGA GGG TCC GCC ACT GTA TTT CG -3`) (Tsay et al., 2010), mientras que para aquellos correspondientes a C. truncatum los imprimadores CcapF (5`-GTA GGC GTCCCC TAA AAA GG-3`) y CcapR (5`-CCC AAT GCG AGA CGA AAT G-3`) (Torres-Calzada et al., 2011). Las condiciones para PCR fueron las descritas por los autores citados.
Para los aislamientos identificados como C. gloeosporioides s.l., C. truncatum, C. acutatum s.l. y C. magnum, con los imprimadores taxón específicos y especie-específicos, se obtuvo la secuencia de una porción de los genes actina (ACT), β-tubulina (TUB2), gliceraldehído-3-fosfato deshidrogenasa (GAPDH) y quitina sintasa 1 (CHS). Las condiciones de PCR para los perfiles térmicos se describen en el Cuadro 1.
Cuadro 1. Imprimadores y ciclos térmicos para PCR de las regiones utilizadas en el análisis multilocus en especies de Colletotrichum asociadas a la antracnosis en papaya (Carica papaya). Laboratorio de Biotecnología del Centro de Investigaciones Agronómicas, Universidad de Costa Rica. San José, Costa Rica, 2014-2015.
Table 1. Primers and thermal cycles for PCR of the regions used in the multilocus analysis in Colletotrichum species associated with anthracnose in papaya (Carica papaya). Biotechnology Laboratory of the Center for Agronomic Research, Universidad de Costa Rica. San Jose, Costa Rica, 2014-2015.
Las secuencias de ADN de cada una de las regiones para cada aislamiento se depuraron en el programa BioEdit y se obtuvo la secuencia consenso.
La identidad de cada cepa se determinó mediante comparación de las secuencias obtenidas con las de la base de datos del Eppo Q-Bank fungi (https://www.eppo.int/RESOURCES/eppo_databases/eppo_q_bank), que permite un análisis simultáneo de las secuencias correspondientes a cada uno de los genes
El análisis filogenético fue elaborado con base en las secuencias obtenidas para cada aislamiento. Las secuencias consenso para cada región y aislamiento se alinearon mediante el programa Clustal implementado en el programa BioEdit y se cortaron los extremos de las secuencias para analizar las áreas en común.
Las secuencias de las diferentes regiones genómicas de cada aislamiento se concatenaron en el programa Mesquite v 3.04. La confección del árbol filogenético se realizó con base en el criterio de Máxima Verosimilitud (maximum-likelihood) implementado en el programa MEGA6 con un análisis “boostrap” de 1000 repeticiones. También se realizó un análisis filogenético en el programa MrBayes v3.2.5 con 1 000 000 de generaciones. Para realizar el análisis Bayesiano se determinó el modelo de evolución para cada uno de los genes con el programa JModelTest 2.1.7. El modelo HKY+ gamma (2rates=gamma) se incluyó en el análisis.
Una vez determinada la identidad de las especies por los métodos moleculares, se realizó una caracterización morfológica de las colonias según los lineamientos de Torres-Calzada et al. (2013).
El crecimiento para las especies C. magnum sensu lato, C. fructicola, C. tropicale, C. theobromicola y C. simmondsii, se determinó mediante mediciones del diámetro del micelio en centímetros (cm). Para ello, se utilizaron discos de micelio de un 1 cm de diámetro de los cultivos monospóricos almacenados a 7 °C y se colocaron en un medio de cultivo de PDA.
Las medidas se iniciaron a los tres días después de cultivados, luego se realizaron cada dos días, hasta que el micelio cubrió el diámetro de la placa Petri (8,5 cm).
Las temperaturas establecidas fueron de 18 °C, 22 °C, 24 °C, 26 °C y 30 °C, se utilizaron tres repeticiones por especie. Se realizó una curva de regresión lineal a los diez días de crecimiento y se estimó la temperatura óptima de las especies evaluadas.
La amplificación del ADN, mediante PCR con imprimadores taxón-específicos y especie-específicos para C. gloeosporioides, C. acutatum, C. truncatum y C. magnum, mostró que los aislamientos establecidos pertenecían a estos grupos y especies. Los productos de PCR obtenidos con los imprimadores correspondientes para C. gloeosporioides, C. magnum y C. acutatum, mostraron el tamaño de banda esperado de 400 pb y para C. truncatum de 350 pb. Se identificó un total de veintidós aislamientos como C. gloeosporioides s.l., noventa y siete como C. magnum s.l., ocho como C. truncatum y dos como C. acutatum s.l.
La identificación de las secuencias para los genes de la ACT, TUB2, CHS, GAPDH e ITS, obtenida en el Eppo Q-Bank fungi, reveló a las especies C. fructicola (ocho aislamientos), C. tropicale (nueve aislamientos), C. gloeosporioides s.s. (un aislamiento), C. siamense (un aislamiento) y C. theobromicola (dos aislamientos) pertenecientes al complejo C. gloeosporioide s.s., con un porcentaje de similitud mayor al 97 % y a C. simmondsii (dos aislamientos) en el complejo C. acutatum s.l. con un 98 % de similitud
Para el análisis multilocus se trabajó con veintiún aislamientos identificados como C. gloeosporioides s.l., dos como C. acutatum s.l., cuatro como C. truncatum y nueve como C. magnun.
Las secuencias para el análisis multilocus se concatenaron en el orden ACT-TUB2-CHS-GAPDH-ITS para un número de caracteres de 216 (pares de bases, pb) para ACT, 381 para TUB2, 198 para CHS, 239 para GAPDH y 483 para el ITS, en total 1517 pb, incluidos los espacios o “gaps”.
El análisis filogenético corroboró la pertenencia de los diferentes aislamientos a los tres grupos principales: C. gloeosporioides s.l., C. acutatum s.l. y C. truncatum (Figura 2 y 3). Los valores de soporte estadísticos obtenidos apoyan la identidad de los grupos con valores de 1 para el análisis Bayesiano y 100 %, 99 % y 97 %, respectivamente, para la máxima verosimilitud.
Figura 2. Árbol filogenético consenso basado en los criterios de maximum-likelihood e inferencia Bayesiana que ilustra la relación de los aislamientos de Colletotrichum asociados con la antracnosis en frutos de papaya (Carica papaya), en Costa Rica, con especies del complejo Colletotrichum gloeosporioides. El árbol se generó mediante secuencias combinadas de la región ITS y de los genes ACT, GAPDH, CHS y TUB2. Los números en los nodos corresponden a los valores del boostrap y probabilidades posteriores (pp). Laboratorio de Biotecnología del Centro de Investigaciones Agronómicas, Universidad de Costa Rica. San José, Costa Rica, 2014-2015.
Figure 2. Phylogenetic consensus tree based on the criteria of maximum-likelihood and Bayesian inference that illustrates the relationship of Colletotrichum isolates associated with anthracnose in papaya fruits (Carica papaya), in Costa Rica, with Colletotrichum gloeosporioides species complex. The tree was generated using combined sequences from the ITS region, and from the ACT, GAPDH, CHS, and TUB2 genes. The numbers in the nodes correspond to the values of the boostrap and posterior probabilities (pp). Biotechnology Laboratory of the Agronomical Research Center, Universidad de Costa Rica. San Jose, Costa Rica, 2014-2015.
Figura 3. Continuación del árbol filogenético consenso basado en los criterios de máxima verosimilitud e inferencia Bayesiana que ilustra la relación de los aislamientos de Colletotrichum asociados con la antracnosis en frutos de papaya (Carica papaya), en Costa Rica, con los complejos de especies Colletotrichum truncatum y Colletotrichum acutatum. El árbol se generó mediante secuencias combinadas de la región ITS y de los genes ACT, GAPDH, CHS y TUB2. Los números en los nodos corresponden a los valores del boostrap y probabilidades posteriores (pp). Laboratorio de Biotecnología del Centro de Investigaciones Agronómicas, Universidad de Costa Rica. San José, Costa Rica 2014-2015.
Figure 3. Continuation of the phylogenetic consensus tree based on the criteria of maximum-likelihood and Bayesian inference that illustrates the relationship of the Colletotrichum isolates associated with anthracnose in papaya fruits (Carica papaya), in Costa Rica with the complexes of species Colletotrichum truncatum and Colletotrichum acutatum. The tree was generated using combined sequences from the ITS region, and from the ACT, GAPDH, CHS, and TUB2 genes. The numbers in the nodes correspond to the values of the boostrap and posterior probabilities (pp). Biotechnology Laboratory of the Agronomical Research Center, Universidad de Costa Rica. San José, Costa Rica, 2014-2015.
En el complejo C. gloeosporioides s.l. se confirmó la identidad de las especies C. fructicola (TE3.1, TE3.2, PS1.1M, PS1,2M, BN6.1 y BN6.2), C. tropicale (JO3.1.2., JO3.2.1, SJ3.1, SJ3.2, TE2.1.1, BN5.1, BN5.2, PS3.1#, PS3.1, PS3.2) y C. theobromicola (EH1.1 y EH1.2.).
Los aislamientos LP9.1 y LP9.2 del complejo C. acutatum s.l. se asociaron con C. simmondsii con altos valores de boostrap e inferencia bayesiana de 96 % y 0,96, respectivamente.
Los aislamientos identificados como C. theobromicola y C. simmondsii, presentaron un único tipo de colonia, C. truncatum, C. fructicola y C. tropicale, mostraron dos tipos de colonias, mientras que C. magnum obtuvo seis tipos de colonias o morfotipos (Figuras 4 y 5).
Figura 4. Colonias de C. simmondsii (a tipo de colonia, b espora), C. truncatum (a y b tipos de colonia, c espora), C. theobromicola (a tipo de colonia, b espora), C. fructicola (a y b tipos de colonia, c espora) y C. tropicale (a y b tipos de colonia, c espora) aislados de frutos de papaya (Carica papaya). Laboratorio de Poscosecha del Centro de Investigaciones Agronómicas, Universidad de Costa Rica. San José, Costa Rica, 2014-2015.
Figure 4. Colonies of C. simmondsii (a colony type, b spore), C. truncatum (a and b colony types, c spore), C. theobromicola (a colony type, b spore), C. fructicola (a and b colony types, c spore) and C. tropicale (a and b colony types, c spore), isolated from papaya fruits (Carica papaya). Postharvest Laboratory of the Agronomical Research Center, Universidad de Costa Rica. San Jose, Costa Rica, 2014-2015.
Figura 5. Colonias de C. magnum (a,b,c, d, e y f tipos de colonia, g espora) aislados de frutos de papaya (Carica papaya). Laboratorio de Poscosecha del Centro de Investigaciones Agronómicas, Universidad de Costa Rica. San José, Costa Rica, 2014-2015.
Figure 5. Colonies of C. magnum (a, b, c, d, e, and f colony types, g spore) isolated from papaya fruits (Carica papaya). Postharvest Laboratory of the Agronomical Research Center, Universidad de Costa Rica. San Jose, Costa Rica, 2014-2015.
La colonia de C. theobromicola mostró una coloración gris olivo, abundante crecimiento de micelio aéreo de apariencia algodonosa y formaciones de masas redondeadas de estroma color negro. En ambas especies, los conidios se caracterizaron por tener una forma cilíndrica, sin septos y de bordes lisos. Los aislamientos de C. simmondsii presentaron un color de colonia gris claro, con bordes definidos color crema, formaciones de masas redondeadas de estroma color negro distribuidos de manera irregular, visibles en el reverso de la colonia y masas de acérvulos color naranja.
Las colonias de C. truncatum mostraron dos tipos de crecimientos distintos, el primer tipo (con una frecuencia del 50 %) exhibió un color de colonia gris claro con un crecimiento aéreo de micelio color blanco y poca producción de acérvulos color negro. El segundo tipo (50 %), se caracterizó por el poco crecimiento de micelio y una abundante producción de acérvulos color negro y de consistencia dura, distribuidos por la colonia, con el tiempo apareció el crecimiento de micelio aéreo color gris claro desde el centro de la colonia y se extendió hacia los bordes. En ambas colonias se observó el crecimiento en forma de anillos concéntricos en el plano inferior de la colonia. Los conidios eran de forma falcada, no septados, bordes lisos, además se desarrollaron numerosas setas de una coloración oscura.
Los aislamientos de C. fructicola presentaron dos tipos de colonias, el primer tipo (38 %) mostró un color de colonia blanco, leve crecimiento de micelio aéreo y de apariencia algodonosa, formación de acérvulos color naranja en forma de gota sobre la superficie y formaciones de masas redondeadas de estroma color negro distribuidas de manera irregular en el plano inferior de la colonia. El segundo tipo (62 %), presentó un color de colonia negro, crecimiento de micelio aéreo color gris claro y acérvulos color naranja en forma de gota sobre la superficie de la colonia. En ambos tipos de colonia, los conidios mostraron una forma cilíndrica, no septados y de bordes lisos.
Los aislamientos de C. tropicale mostraron dos tipos de colonias. El primer tipo (40 %), presentó un color de colonia blanco, micelio aéreo de apariencia algodonosa, formaciones redondeadas de estroma color negro y de consistencia dura distribuidas de manera irregular por la colonia. El segundo tipo (60 %), mostró un color de micelio blanco y de apariencia algodonosa, abundante producción de acérvulos color naranja en forma de gota, distribuidos de manera irregular o en anillos concéntricos sobre la colonia. En ambos tipos de colonia, los conidios mostraron una forma cilíndrica, no septados de bordes lisos.
Los aislamientos de C. magnum presentaron variedad en su morfología. Los aislamientos denominados del primer tipo, correspondientes a un 15 % de todos los aislamientos, desarrollaron un color de colonia negro, crecimiento de micelio aéreo color gris, formación de masas redondeadas de estroma color negro, distribuidas de manera irregular en el reverso de la colonia. Los aislamientos pertenecientes al segundo tipo (14 %), mostraron un color de colonia naranja, crecimiento escaso de micelio color negro, formación de anillos concéntricos visibles en ambas superficies de la colonia, abundante producción de acérvulos distribuidos en todo el cultivo. Los aislamientos pertenecientes a la tercera morfología (21 %), presentaron un color de colonia gris oscuro que se alternó con zonas de color gris más claro, formación de masas de estroma en ambos planos de la colonia.
Los aislamientos con morfología tipo cuatro, fueron los menos frecuentes, con un 11 % del total de aislamientos. La colonia presentó un color naranja brillante, de apariencia húmeda, poco crecimiento de micelio aéreo color blanco, abundante producción de acérvulos color naranja distribuidos en forma de anillos concéntricos en la colonia. Los aislamientos del grupo cinco (20 %), presentaron un color de colonia gris oscuro, abundante crecimiento de micelio y de apariencia algodonosa, formación de anillos concéntricos visibles en el plano inferior de la colonia, acérvulos color naranja localizados en el centro del cultivo. Los aislamientos del morfotipo seis se encontraron con una frecuencia del 18 %, las colonias presentaron un color gris oscuro, abundante crecimiento de micelio, formación de masas de estroma distribuidas de manera irregular por la colonia, acérvulos color naranja localizados en el centro de la colonia. Los conidios presentaron una forma cilíndrica, no septados, presencia de vacuolas en el interior, bordes lisos y definidos.
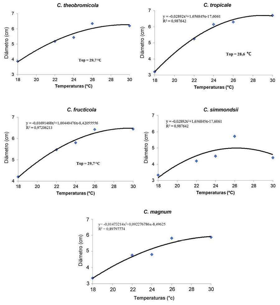
El crecimiento de las colonias a diferentes temperaturas para las especies evaluadas se representa en la Figura 6, con excepción de C. truncatum, con el que se tuvo problema de recuperación para este estudio, después del almacenamiento a 7 °C.
Figura 6. Crecimiento de colonias para C. simmondsii, C. theobromicola, C. tropicales, C. fructicola y C. magnum en medio PDA a los diez días de crecimiento a diferentes temperaturas (Top= temperatura óptima). Laboratorio de Tecnología Poscosecha del Centro de Investigaciones Agronómicas, Universidad de Costa Rica. San José, Costa Rica, 2014-2015.
Figure 6. Growth for C. simmondsii, C. theobromicola, C. tropical, C. fructicola, and C. magnum in PDA medium at ten days of growth at different temperatures (Top = Optimum temperature). Postharvest Laboratory of the Agronomical Research Center, Universidad de Costa Rica. San Jose, Costa Rica, 2014-2015.
Las temperaturas superiores a los 18 °C permitieron el desarrollo de las cinco especies. Se observaron dos grupos con tendencias de crecimiento similares. El primer grupo incluyó a las especies C. theobromicola, C. fructicola, C. tropicale y C. magnum, caracterizado por presentar un crecimiento rápido, su máximo desarrollo se manifestó a temperaturas de 28,6 °C (C. tropicale), 29,7 °C (C. theobromicola y C. fructicola) y 31,3 °C (C. magnum) con diámetros de colonia mayores a los 6 cm a los diez días de crecimiento. El segundo grupo incluyó a C. simmondsii que tuvo un crecimiento lento, su máximo desarrollo ocurrió a 26,2 °C con un diámetro de colonia de 5,5 cm, a partir de esa temperatura, su crecimiento disminuyó conforme esta aumentó.
La aplicación de métodos moleculares para la identificación de los aislamientos de Colletotrichum provenientes de frutos de papaya Pococí reveló seis especies asociadas con la antracnosis de papaya en Costa Rica, tres especies correspondientes al complejo C. gloeosporioides (C. fructicola, C. tropicale y C. theobromicola), una al complejo C. acutatum (C. simmondsii) y las especies C. magnum y C. truncatum.
De las especies identificadas, C. fructicola, C. simmondsii, C. magnum s.l. y C. truncatum, han sido descritas como causantes de la antracnosis en frutos de papaya en distintos países (Marquez-Zequera et al., 2018; Nascimento et al., 2010; Pérez-Brito et al., 2018; Phoulivong et al., 2012; Tarnowskiy & Ploetz, 2010), pero solo C. magnum y C. truncatum han sido reportadas en Costa Rica (Molina-Chaves et al., 2017), por lo que este sería el primer informe de las otras especies de Colletotrichum asociadas a la antracnosis de papaya en el país.
En relación a C. simmondsii, perteneciente al complejo de especies C. acutatum, se conoce que C. acutatum s.l. fue descrito a partir de infecciones en frutos de papaya, luego Shivas & Tan (2009) introdujeron a C. simmondsii como especie del complejo C. acutatum de muestras que también provenían de frutos de papaya. En adición, C. simmondsii se ha descrito como agente causal de la antracnosis en frutos de mango, fresa, carambola, arándano y aguacate (Shivas & Tan, 2009).
En Costa Rica, se ha considerado a C. gloeosporioides como el patógeno causante de la antracnosis de papaya, pero luego se identificó a C. magnum y C. truncatum (Molina-Chaves et al., 2017). Las identificaciones anteriores de los aislamientos obtenidos de papaya como C. gloeosporioides, se han realizado mediante análisis morfológicos o moleculares con base en el análisis de la región ITS, ya sea con el uso de imprimadores taxón-específicos o secuenciamiento (Barquero et al., 2013; Molina-Chaves et al., 2017). Los resultados de autores como Molina-Chaves et al. (2017) y Sharma et al. (2013), así como los de esta investigación, corroboraron que los imprimadores son taxones específicos e identifican aislamientos pertenecientes a los complejos de especies C. gloeosporioides y C. acutatum, también que la secuencia de la región ITS no permite diferenciar entre la mayoría de las especies pertenecientes al mismo complejo (Damm et al., 2019; Pardo-de-la-Hoz et al., 2016; Weir et al., 2012). Por otra parte, C. gloeosporioides y C. magnum son a nivel morfológico indistinguibles (Damm et al., 2019; Domínguez-Guerrero et al., 2012; Pérez-Brito, 2018; Weir et al., 2012). De manera que las identificaciones anteriores estuvieron sujetas a estas limitaciones, lo que explica la identificación de C. gloeosporioides s.l. como la especie prevalente asociada a la antracnosis de frutos de papaya en Costa Rica.
C. magnum fue la especie más frecuente en el presente estudio. Glomerella magna (syn. C. magnum) es una especie patogénica a miembros de la familia Cucurbitaceae, en los cultivos de sandía (Citrullus lanatus), melón (Cucumis melo), pepino (Cucumis sativus) y calabaza (Cucurbita spp.), se ha identificado como causante de la antracnosis en papaya en Brasil, México y Costa Rica (Damm et al., 2019; Molina-Chaves et al., 2017; Nascimento et al., 2010; Tapia-Tussell et al., 2016). En esta investigación, la identificación fue realizada con base en la secuencia de la región ITS y con el uso de imprimadores específicos diseñados a partir de la misma región y utilizados para el diagnóstico de esta especie en Cucumis sativus, Lagenaria siceraria y Luffa cylindrica, también pertenecientes a la familia de las cucurbitáceas, en Taiwán (Tsay et al., 2010). Se ha mostrado que C. magnum es otro complejo de especies dentro del género Colletotrichum, que incluye C. magnum sensu stricto y al menos nueve especies más, que no pueden ser diferenciadas mediante la secuencia de la región ITS o a nivel morfológico (Damm et al., 2019). Por esta razón, los aislamientos de papaya en esta investigación, así como en la de Molina-Chaves et al. (2017), deben considerarse como C. magnum sensu lato y requieren una mayor caracterización mediante un análisis multilocus para determinar si se trata de alguna de las especies ya identificadas en el complejo de especies C. magnum o de una nueva especie.
La morfología de las especies identificadas fue similar a la descrita por diferentes autores (Damm et al., 2019; Pérez-Brito et al., 2018; Rojo-Báez et al., 2017; Weir et al., 2012). Algunos de los aislamientos de C. magnum s.l., variaron al crecer a diferentes temperaturas y al re-aislarse la colonia, además, la forma de los conidios fue similar entre los aislamientos de diferentes especies, cilíndrica y sin septos, con excepción de los conidios de C. truncatum, que fueron de forma falcada, no septados. Se concluye que la caracterización morfológica presentó limitaciones para la distinción de las especies, como ha sido señalado por diferentes investigadores como Pardo-de-la-Hoz et al. (2016) y Rampersad (2011).
Las pruebas a diferentes temperaturas, in vitro, evidenciaron que a partir de 18 °C todas las especies crecieron y tuvieron distintas capacidades para adaptarse a diferentes temperaturas. C. magnum s. l. tuvo un óptimo para el desarrollo de micelio a temperaturas más altas (31 °C), mientras que las especies del complejo C. gloeosporioides s.l. mostraron que el mayor diámetro del micelio se registró a los 28,6 °C para C. tropicale y 29,7 °C para C. theobromicola. C. simmondsii tuvo un crecimiento más lento, con su máximo desarrollo a los 26 °C, lo cual es característico de las especies del complejo C. acutatum en comparación a otras especies del género Colletotrichum (Baroncelli et al., 2015). Las temperaturas óptimas encontradas para el crecimiento de micelio in vitro, están dentro de los ámbitos de temperaturas registradas en estaciones meteorológicas de las zonas de muestreo de la fruta, con temperaturas promedio de 27,4 °C para Parrita, 25,4 °C para la Fortuna de San Carlos y 25,3 °C para Guácimo en Limón (Instituto Meteorológico Nacional, 2014), lo que podría explicar su presencia en las zonas productoras.
En general, la alta diversidad de especies de Colletotrichum encontrada en esta investigación, podría estar relacionada a que Costa Rica es centro de origen de la papaya domesticada (Guzmán, 1998). La presencia de al menos seis especies de Colletrotrichum, evidencia la complejidad del género y tiene implicaciones en el manejo de la enfermedad. Los productores de papaya tienen dificultad en lograr un combate eficaz de la enfermedad aún con la integración de varias estrategias de control. Diferentes especies del hongo tienen diferente patogenicidad y sensibilidad a los fungicidas (Molina-Chaves et al., 2017), lo que pone en evidencia la necesidad de conocer a mayor profundidad aspectos sobre la biología de las especies, que ayuden a orientar mejor los esfuerzos para el manejo de la enfermedad, entre ellos los programas del mejoramiento genético de la papaya para resistencia a la enfermedad.
La antracnosis en frutos de papaya en Costa Rica, se encontró asociada a seis especies de Colletotrichum: C. magnum sensu lato, C. truncatum, C. fructicola, C. tropicale, C. theobromicola, y C. simmondsii. Es la primera vez que se identifica las últimas cuatro especies mencionadas.
El uso de los métodos tradicionales morfológicos funcionó para recopilar información importante de cada una de las especies, sin embargo, el análisis filogenético multilocus fue el único de los métodos utilizados que logró distinguir las especies de los complejos C. gloeosporioides y C. acutatum, lo que sugiere que futuras investigaciones deben basarse en estudios multilocus para la identificación de especies asociadas al género.
Las especies de Colletotrichum variaron en la adaptación a diferentes temperaturas de crecimiento.
Se externa un sincero agradecimiento a la Fundación para el Fomento y Promoción de la Investigación y Transferencia de Tecnología Agropecuaria de Costa Rica (FITTACORI), por su colaboración para el desarrollo de esta investigación y a la Dra. Hilda Silva Rojas del Colegio de Postgraduados de México, por su orientación y ayuda para la elaboración de los árboles filogenéticos.
Álvarez, E., Gañán, L., Rojas-Triviño, A., Mejía, J. F., Llano, G. A., & González, A. (2014). Diversity and pathogenicity of Colletotrichum species isolated from soursop in Colombia. European Journal of Plant Pathology, 139(2), 325–338. https://doi.org/10.1007/s10658-014-0388-7
Álvarez E., Ospina C., Mejía J. F., & Llano G. (2004). Caracterización morfológica, patogénica y genética del agente causal (Colletotrichum gloeosporioides) en guanábana (Annona muricata) en el Valle del Cauca. Fitopatología Colombiana 28(1), 1–8.
Barquero, M., Peres, N., & Arauz, L. F. (2013). Presencia de Colletotrichum acutatum y Colletotrichum gloeosporioides en helecho hoja de cuero, limón criollo, papaya, carambola y mango en Costa Rica y Florida (Estados Unidos). Agronomía Costarricense, 37(1), 23–28. https://doi.org/10.15517/rac.v37i1.10710
Baroncelli, R., Sarrocco, S., Zapparata, A., Tavarini, S., Angelini, L. G., & Vannacci, G. (2015). Characterization and epidemiology of Colletotrichum acutatum sensu lato (C. chrysanthemi) causing Carthamus tinctorius anthracnose. Plant Pathology, 64(2), 375–384. https://doi.org/10.1111/ppa.12268
Baroncelli, R., Talhinhas, P., Pensec, F., Sukno, S. A., Le-Floch, G., & Thon, M. R. (2017). The Colletotrichum acutatum species complex as a model system to study evolution and host specialization in plant pathogens. Frontiers in Microbiology, 8, Article 2001. https://doi.org/10.3389/fmicb.2017.02001
Bogantes, A., & Mora, E. (2013). Incidencia y severidad de la antracnosis en líneas e híbridos de papaya (Carica papaya). Agronomía Mesoamericana, 24(2), 411–417. https://doi.org/10.15517/am.v24i2.12541
Cai, l., Hyde, K. D., Taylor, P. W., Weir, B. S., Waller, J., Abang, M., Zhang, J. Z., Yang, Y. L., Phoulivong, S., Liu, Z. Y., Prihastuti, H., Shivas, R. G., Mckenzie, E., & Johnston, P. R. (2009). A polyphasic approach for studying Colletotrichum. Fungal Diversity, 39, 183–204.
Carbone, I., & Kohn, L. M. (1999). A method for designing primer sets for speciation studies in filamentous ascomycetes. Mycologia, 91(3), 553–556. https://doi.org/10.1080/00275514.1999.12061051
da-Silva, L. L., Moreno, H. L. A., Correia, H. L. N., Santana, M. F., & de Queiroz, M. V. (2020). Colletotrichum: species complexes, lifestyle, and peculiarities of some sources of genetic variability. Applied Microbiology and Biotechnology, 104, 1891–1904. https://doi.org/10.1007/s00253-020-10363-y
Damm, U., Sato, T., Alizadeh, A., Groenewald, J. Z., & Crous, P. W. (2019). The Colletotrichum dracaenophilum, C. magnum and C. orchidearum species complexes. Studies in Mycology, 92, 1–46. https://doi.org/10.1016/j.simyco.2018.04.001
Damm, U., Woudenberg, J. H., Cannon, P. F., & Crous, P. W. (2009). Colletotrichum species with curved conidia from herbaceous hosts. Fungal Diversity, 39, 45–87.
Dean, R., Van-Kan, J. A. L., Pretorius, Z. A., Hammond-Kosack, K. E., Di-Pietro, A., Spanu, P. D., Rudd, J. J., Dickman, M., Kahmann, R., Ellis, J., & Foster, G. D. (2012). The Top 10 fungal pathogens in molecular plant pathology. Molecular Plant Pathology, 13(4), 414–430. https://doi.org/10.1111/j.1364-3703.2011.00783.x
Domínguez-Guerrero, I. P., Mohali-Castillo, S. R., Marín-Montoya, M. A., & Pino, H. B. (2012). Caracterización y variabilidad genética de Colletotrichum gloeosporioides sensu lato en plantaciones de palma aceitera (Elaeis guineensis Jacq.) en Venezuela. Tropical Plant Pathology, 37(2), 108-122. https://doi.org/10.1590/S1982-56762012000200003
Giblin, F. R., Tan, Y. P., Mitchell, R., Coates, L. M., Irwin, J. A. G., & Shivas, R. G. (2018). Colletotrichum species associated with pre-and post-harvest diseases of avocado and mango in eastern Australia. Australasian Plant Pathology, 47(3), 269–276. https://doi.org/10.1007/s13313-018-0553-0
Guerber, J. C., Liu, B., Correll, J. C., & Johnston, P. R. (2003). Characterization of diversity in Colletotrichum acutatum sensu lato by sequence snalysis of two gene introns, mtDNA and Intron RFLPs, and mating compatibility. Mycologia, 95(5), 872–895. https://doi.org/10.2307/3762016
Guzmán, G. (1998). Guía para el cultivo de papaya (Carica papaya). Ministerio de Agricultura y Ganadería.
Instituto Meteorológico Nacional. (2014). Estaciones automáticas. https://www.imn.ac.cr/estaciones-automaticas
Marquez-Zequera, I., Cruz-Lachica, I., Ley-Lopez, N., Carrillo-Facio, J. A., Osuna-Garcia, L. A., & Garcia-Estrada, R. S. (2018). First report of Carica papaya fruit anthracnose caused by Colletotrichum fructicola in Mexico. Plant Disease, 102(12), 2649. https://doi.org/10.1094/PDIS-05-18-0736-PDN
Mills, P. R., Sreenivasaprasad, S., & Brown, A. E. (1992). Detection and differentiation of Colletotrichum gloeosporioides isolates using PCR. FEMS Microbiology Letters, 98(1–3), 137–143. https://doi.org/10.1111/j.1574-6968.1992.tb05503.x
Molina-Chaves, A., Gómez-Alpízar, L., & Umaña-Rojas, G. (2017). Identificación de especies del género Colletotrichum asociadas a la antracnosis en papaya (Carica papaya L.) en Costa Rica. Agronomía Costarricense, 41(1), 69–80. https://doi.org/10.15517/rac.v41i1.29752
Mora, E., & Bogantes-Arias, A. (2004). Evaluación de híbridos de papaya (Carica papaya L.) en Pococí, Limón, Costa Rica. Agronomía Mesoamericana, 15(1), 39–44. https://doi.org/10.15517/am.v15i1.11927
Nascimento, R. J., Mizubuti, E. S. G., Câmara, M. P. S., Ferreira, M. F., Maymon, M., Freeman, S., & Michereff, S. J. (2010). First report of papaya fruit rot caused by Colletotrichum magna in Brazil. Plant Disease, 94(12), 1506–1506. https://doi.org/10.1094/PDIS-08-10-0555
O’Donnell, K., & Cigelnik, E. (1997). Two divergent intragenomic rDNA ITS2 types within a monophyletic lineage of the fungus Fusarium are nonorthologous. Molecular Phylogenetics and Evolution, 7(1), 103–116. https://doi.org/10.1006/mpev.1996.0376
Pardo-De-la-Hoz, C. J., Calderón, C., Rincón, A. M., Cárdenas, M., Danies, G., López-Kleine, L., Restrepo, S., & Jiménez, P. (2016). Species from the Colletotrichum acutatum, Colletotrichum boninense and Colletotrichum gloeosporioides species complexes associated with tree tomato and mango crops in Colombia. Plant Pathology, 65(2), 227–237. https://doi.org/10.1111/ppa.12410
Pérez-Brito, D., Cortes-Velázquez, A., Valencia-Yah, T., Magaña-Álvarez, A., Navarro, C., Moreno, B., Quiroga, S., & Tapia-Tussell, R. (2018). Genetic variation of Colletotrichum magnum isolated from Carica papaya as revealed by DNA fingerprinting. Journal of Microbiology, 56(11), 813-821. https://doi.org/10.1007/s12275-018-8215-z
Phoulivong, S., Cai, L., Chen, H., McKenzie, E. H. C., Abdelsalam, K., Chukeatirote, E., & Hyde, K. D. (2010). Colletotrichum gloeosporioides is not a common pathogen on tropical fruits. Fungal Diversity, 44(1), 33–43. https://doi.org/10.1007/s13225-010-0046-0
Phoulivong, S., McKenzie, E. H. C., & Hyde, K. D. (2012). Cross infection of Colletotrichum species; a case study with tropical fruits. Current Research in Environmental & Applied Mycology, 2(2), 99–111. https://doi.org/10.5943/cream/2/2/2
Rampersad, S. N. (2011). Molecular and phenotypic characterization of Colletotrichum species associated with anthracnose disease of papaya in Trinidad. Plant Disease, 95(10), 1244–1254. https://doi.org/10.1094/PDIS-02-11-0080
Rogers, S. O., & Bendich, A. J. (1985). Extraction of DNA from milligram amounts of fresh, herbarium and mummified plant tissues. Plant Molecular Biology, 5(2), 69–76. https://doi.org/10.1007/BF00020088
Rojo-Báez, I., Álvarez-Rodríguez, B., García-Estrada, R. S., León-Félix, J., Sañudo-Barajas, A., & Allende-Molar, R. (2017). Situación actual de Colletotrichums spp. en México: Taxonomía, caracterización, patogénesis y control. Revista Mexicana de Fitopatología, 35(3), 549–570. https://doi.org/10.18781/R.MEX.FIT.1703-9
Santamaría-Basulto, F., Díaz-Plaza, R., Gutiérrez-Alonso, O., Santamaría-Fernández, J., & Larqué-Saavedra, A. (2011). Control de dos especies de Colletotrichum causantes de antracnosis en frutos de papaya maradol. Revista Mexicana de Ciencias Agrícolas, 2(5), 631–643. https://doi.org/10.29312/remexca.v2i5.1614
Sharma, G., Pinnaka, A. K., & Shenoy, B. D (2013). ITS-based diversity of Colletotrichum from India. Current Research in Environmental & Applied Mycology, 3(2), 194–220. https://doi.org/10.5943/cream/3/2/3
Shivas, R., & Tan, Y. (2009). A taxonomic re-assessment of Colletotrichum acutatum, introducing C. fioriniae comb. et stat. nov. and C. simmondsii sp. nov. Fungal Diversity, 39, 111–122.
Sreenivasaprasad, S., Sharada, K., Brown, A. E., & Mills, P. R. (1996). PCR-based detection of Colletotrichum acutatum on strawberry. Plant Pathology, 45(4), 650–655. https://doi.org/10.1046/j.1365-3059.1996.d01-3.x
Talhinhas, P., Sreenivasaprasad, S., Neves-Martins, J., & Oliveira, H. (2002). Genetic and morphological characterization of Colletotrichum acutatum causing anthracnose of Lupins. Phytopathology, 92(9), 986–996. https://doi.org/10.1094/PHYTO.2002.92.9.986
Tapia-Tussell, R., Cortes-Velazquez, A., Valencia-Yah, T., Navarro, C., Espinoza, E., Moreno, B., & Perez-Brito, D. (2016). First report of Colletotrichum magnum causing anthracnose in papaya in Mexico. Plant Disease, 100(11), 2323. https://doi.org/10.1094/PDIS-03-16-0324-PDN
Tarnowski, T. L. B., & Ploetz, R. C. (2010). First report of Colletotrichum capsici causing postharvest anthracnose on papaya in South Florida. Plant Disease, 94(8), 1065. https://doi.org/10.1094/PDIS-94-8-1065B
Torres-Calzada, C., Tapia-Russell, R., Higuera-Ciapara I., & Perez-Brito E. (2013). Morphological, pathological and genetic diversity of Colletotrichum species responsible for anthracnose in papaya (Carica papaya L). European Journal of Plant Pathology, 135, 67–79. https://doi.org/10.1007/s10658-012-0065-7
Torres-Calzada, C., Tapia-Tussell, R., Nexticapan-Garcez, A., Matin-Mex, R., Quijano-Ramayo, A., Cortés-Velázquez, A., Higuera-Ciapara, I., & Perez-Brito, D. (2011). First report of Colletotrichum capsici causing anthracnose in Jatropha curcas in Yucatan, Mexico. New Disease Reports, 23, Article 6. https://doi.org/10.5197/j.2044-0588.2011.023.006
Tsay, J. -G., Chen, R. -S., Wang, W. L., & Weng, B. -C. (2010). First report of anthracnose on Cucurbitaceous crops caused by Glomerella magna in Taiwan. Plant Disease, 94(6), 787–787. https://doi.org/10.1094/PDIS-94-6-0787A
Vieira, W. A. S., Nascimento, R. J., Michereff, S. J., Hyde, K. D., & Câmara, M. P. S. (2013). First Report of papaya fruit anthracnose caused by Colletotrichum brevisporum in Brazil. Plant Disease, 97(12), 1659. https://doi.org/10.1094/PDIS-05-13-0520-PDN
Weir, B. S., Johnston, P. R., & Damm, U. (2012). The Colletotrichum gloeosporioides species complex. Studies in Mycology, 73, 115–180. https://doi.org/10.3114/sim0011
White, T. J., Bruns, T., Lee, S., & Taylor, J. (1990). Amplification and direct sequencing of fungal ribosomal RNA genes for phylogenetics. In M. A. Innis, D. H. Gelfand, J. J. Sainsky, & T. j. White (Eds.), PCR Protocols: A Guide to Methods and Applications (pp. 315–322). Elsevier. https://doi.org/10.1016/B978-0-12-372180-8.50042-1
