Agronomía Mesoamericana

Artículo científico

Volumen 33(1): Artículo 46442, 2022

e-ISSN 2215-3608, doi:10.15517/am.v33i1.46442

https://revistas.ucr.ac.cr/index.php/agromeso/index

Tolerancia in vitro de cultivares de Rubus spp. a estrés hídrico simulado con manitol1

In vitro tolerance of Rubus spp. cultivars to mannitol-simulated drought stress

Carlos Millones2, Ernestina Vásquez2

1 Recepción: 19 de abril, 2021. Aceptación: 16 de agosto, 2021. Este trabajo formó parte de una investigación en Rubus spp. autofinanciada por los autores.

2 Universidad Nacional Toribio Rodríguez de Mendoza de Amazonas, Laboratorio de Biología, Calle Higos Urco N° 342-350-356 - Calle Universitaria N° 304, Amazonas, Perú. carlos.millones@untrm.edu.pe (autor para la correspondencia, https://orcid.org/0000-0001-7236-6341), ernestina.vasquez@untrm.edu.pe (https://orcid.org/0000-0002-2106-7840).

Resumen

Introducción. La caracterización de cultivares de Rubus spp. tolerantes al estrés hídrico en campos experimentales es complicado por la dificultad de controlar los factores externos del medio ambiente donde son instalados. La inducción de estrés in vitro es una herramienta eficiente para estudiar los mecanismos de respuesta de las plantas y se emplea en los programas de mejoramiento para la selección de genotipos tolerantes al estrés hídrico. Objetivo. Evaluar la respuesta morfológica y fisiológica in vitro de los explantes en tres cultivares y la accesión silvestre de Rubus spp. bajo condiciones de estrés hídrico simulado con manitol. Materiales y métodos. El estudio se realizó en el Laboratorio de Biología de la Universidad Nacional Toribio Rodríguez de Mendoza de Amazonas, Perú, durante el año 2020. Se empleó un diseño completamente al azar con arreglo factorial (Factor A: cuatro genotipos y Factor B: potenciales hídricos simulados con manitol: 0, -0,2, -0,3 y -0,4 MPa) y cuatro explantes por unidad experimental. Resultados. Los cultivares respondieron de manera distinta bajo estrés hídrico simulado con manitol. Los cultivares Navaho y Tupy registraron mayor tolerancia. Conclusión. Los rasgos morfológicos y fisiológicos relacionados con la longitud de raíz, el contenido hídrico de brote, raíz y hoja permitieron identificar cultivares de Rubus spp. tolerantes al estrés hídrico simulado con manitol en la fase vegetativa.

Palabras clave: plántulas, potencial hídrico, selección, sequía, genotipos.

Abstract

Introduction. The characterization of hydric drought stress tolerant cultivars of Rubus spp. in experimental fields is complicated by the difficulty of controlling the external factors of the environment where they are installed. In vitro stress induction is an efficient tool to study plant response mechanisms and is used in breeding programs for the selection of hydric drought stress tolerant genotypes. Objective. To evaluate the in vitro morphological and physiological response of explants in three cultivars and the wild accession of Rubus spp. under mannitol-simulated hydric drought stress conditions. Materials and methods. The study was carried out in the Biology Laboratory of Universidad Nacional Toribio Rodríguez de Mendoza de Amazonas, Peru, during the year 2020. A completely randomized design with factorial arrangement (Factor A: four genotypes and Factor B: simulated water potentials with mannitol: 0, -0.2, -0.3, and -0.4 MPa) and four explants per experimental unit were used. Results. The cultivars responded differently under mannitol-simulated hydric drought stress. The Navaho and Tupy cultivars registered higher tolerance. Conclusion. The morphological and physiological traits related to the root length, the water content of the shoot, root and leaf allowed to identify Rubus spp. cultivars tolerant to mannitol-simulated hydric drought stress in the vegetative phase.

Keywords: seedlings, water potential, selection, drought, genotypes.

Introducción

El género Rubus pertenece a la familia Rosaceae, está conformado por un número aproximado de 750 especies, distribuidas en todos los continentes, a excepción de la Antártida, comprende especies que se caracterizan por ser muy diversas a nivel morfológico y genético, asimismo, las especies silvestres son muy variadas en comparación con los cultivares domesticados que han sido mejorados para fruto comestible (Alice & Campbell, 1999; Wu et al., 2009).

Para simular las condiciones de estrés hídrico son empleados compuestos como el PEG 6000, PEG 8000, manitol y sorbitol, los cuales permiten la reducción del potencial hídrico en el medio de cultivo, que restringen la disponibilidad de agua a los explantes (Carloni et al., 2017; Collado et al., 2017; Rangel-Fajardo et al., 2019; Rukundo et al., 2012). La inducción de estrés in vitro puede emplearse en el estudio de los mecanismos de respuesta en las plantas y de esta manera tener una mejor comprensión de los aspectos fisiológicos y genéticos que se encuentran involucrados (Pant et al., 2014), razón por la cual, son empleados en los programas de mejoramiento para la selección rápida en la identificación de genotipos tolerantes al estrés hídrico. En ese sentido, se ha empleado PEG 6000 en la identificación de cultivares de Phaseolus vulgaris (Collado et al., 2017) y de Solanum lycopersicum (Aazami et al., 2010) tolerantes al estrés hídrico.

El manitol se ha empleado para la caracterización y selección de somaclones de Pennisetum ciliare (Carloni et al., 2017), respuesta morfológica de cultivares de Manihot esculenta para la identificación de cultivares tolerantes al estrés hídrico (Jolayemi & Opabode, 2018), tamizaje de clones de Solanum tuberosum tolerantes al déficit de agua (Sattar et al., 2021), marcadores de carotenoides en raíces para la identificación de tolerancia al estrés hídrico en las fases iniciales de la germinación de semillas de maíz cv. Tuzón (Hernández et al., 2018), evaluación de la expresión de genes UGT85C2 y KO que regulan el contenido de esteviol y glicósido bajo condiciones de deficiencia hídrica en plántulas de Stevia rebaudiana (Hashempoor et al., 2018), marcadores químicos de tolerancia a bajos contenidos de agua y estrés salino en plántulas de caña de azúcar sometidas en biorreactores de inmersión temporal (Gómez et al., 2020), caracterización de clones élite de Eucalyptus tereticornis tolerantes al estrés salino (Singh & Kumar, 2020).

Las plantas han desarrollado diversos mecanismos para disminuir los efectos nocivos del estrés abiótico, la disminución del crecimiento en las plántulas es el efecto más significativo en la respuesta morfológica por la falta de agua, que incluso la puede conducir a su muerte (Chutipaijit, 2016; Yang et al., 2021). Algunas plantas tienen la capacidad de incrementar la longitud de la raíz en los estadios tempranos de crecimiento, como la longitud, peso, volumen y densidad de las raíces, variables que pueden estar asociadas a la resistencia al estrés hídrico en los cultivos (Fang & Xiong, 2015); además, hay plantas que bajo condiciones hídricas adversas el crecimiento foliar se afecta más en comparación con el crecimiento radicular (Mahajan & Tuteja, 2005). La tolerancia al estrés hídrico en las especies cultivadas, es la capacidad de las plantas para mantener la biomasa, crecimiento o producción bajo escasa disponibilidad de agua (Tardieu et al., 2018).

En los cultivares de M. esculenta sometidos a potenciales hídrico de -0,3 MPa, las plántulas incrementaron la longitud de raíces, respuesta que pudo estar asociada a la expansión de la superficie de contacto con el medio de cultivo para mejorar la absorción de agua y evitar el estrés hídrico (Jolayemi & Opabode, 2018). Otro aspecto importante del desarrollo de plántulas bajo condiciones de estrés in vitro, es la asociación con los pigmentos fotosintéticos, por ejemplo en explantes de palma cv. Bartamoda en altas concentraciones de manitol, seguida por sorbitol a 0,5M, el contenido de las clorofilas en los brotes disminuyó significativamente (Elzaher et al., 2019), sin embargo, en especies del género Lathyrus el estrés hídrico simulado con PEG 6000 registró bajo efecto en los pigmentos fotosintéticos (Piwowarczyk et al., 2014).

Los valores del índice de clorofila (IC, unidades SPAD), se han empleado para obtener un registro rápido del estado de la clorofila en las plántulas, estudios previos sustentan que los IC disminuyen bajo condiciones de estrés hídrico, corroborados en los cultivares de Manihot esculenta (Zhu et al., 2020) y genotipos de Solanum tuberosum (Rolando et al., 2015); sin embargo, en especies como Vigna radiata los IC aumentan bajo condiciones de estrés hídrico (Bangar et al., 2019), por otro lado, en Jathropa curcas los bajos contenidos de agua no reducen la cantidad de clorofila, pero conduce a una reducción de la clorofila a/b (Sapeta et al., 2013).

En la actualidad, por efecto del cambio climático y destrucción del equilibrio ecológico, la escasez de agua se ha convertido en un grave problema. La sequía es un factor clave que restringe el desarrollo de la producción agrícola, por lo tanto, son necesarios estudios que permitan conocer la tolerancia de los cultivos frente a la sequía (Yang et al., 2021). El género Rubus es sensible a la sequía y los efectos del cambio climático puede tener un efecto negativo en este cultivo, que afecta la calidad y productividad de la fruta (Vergara et al., 2016). El estudio del uso de manitol en la inducción de estrés osmótico, produce una severidad específica por genotipo, la cual se evalúa de manera separada por cada especie (Samarina et al., 2020).

Al existir escasa información del uso del manitol para simular condiciones de estrés hídrico para la selección de cultivares de Rubus spp., la presente investigación tuvo como objetivo evaluar la respuesta morfológica y fisiológica in vitro de los explantes en tres cultivares y una accesión silvestre de Rubus spp. bajo condiciones de estrés hídrico simulado con manitol.

Materiales y métodos

El estudio se realizó en el Laboratorio de Biología de la Universidad Nacional Toribio Rodríguez de Mendoza de Amazonas, Perú, durante el año 2020. El material vegetal empleado estuvo conformado por plántulas in vitro de Rubus spp., de los cultivares Brazos Navaho, Tupy y la accesión silvestre 001-Rsp-UNTRM (AS-001), un genotipo adecuado para su agroindustrialización (Millones, 2018).

En junio de 2020 las plántulas con 5 a 6 cm de longitud se multiplicaron a partir de segmentos nodales y se colocaron en medio de enraizamiento constituido por las sales y vitaminas MS (Murashige & Skoog, 1962), myo-inositol 100 mg L-1, sacarosa 3 %, buffer fosfato 18 mL L-1, phytagel Sigma 0,15 %, carbón activado 0,3 %, ácido indolbutírico (AIB) 2 mg L-1, ácido naftalenacético (ANA) 1 mg L-1 y pH ajustado a 5,8 (Millones & Vásquez, 2020).

En octubre de 2020, a plántulas de 5 cm de longitud se escindieron segmentos nodales con una yema axilar y se traspasaron a medio de crecimiento y desarrollo constituido por las sales y vitaminas MS, myo-inositol 100 mg L-1, sacarosa 3 %, buffer fosfato18 mL L-1, phytagel Sigma 0,15 %, pH ajustado a 5,8 (Millones & Vásquez, 2020) con manitol en las concentraciones 14,86, 22,29, 29,72, 37,15 y 44,58 g L-1, respectivamente, para simular los potenciales hídricos -0,2, -0,3, -0,4, -0,5 y -0,6 MPa (M1, M2, M3, M4 y M5), establecidos mediante la ecuación de Van’t Hoff (Klimaszewska et al., 2000), más el testigo sin manitol (T). Cuatro segmentos nodales se colocaron en vasos magenta con el medio de cultivo experimental respectivo y se cultivaron a 24 ± 2 ºC con fotoperiodo de 16/8 h e irradiación de 50 µmol m-2 s-1.

Después de 45 días de cultivo in vitro de los explantes, se recopilaron los datos de los potenciales hídricos M1, M2 y M3 y el testigo concerniente al número y longitud de raíces, área foliar (obtenida a partir de fotos y con el software Image Tool 3.0), índice de clorofila (IC) en unidades SPAD (con el medidor de clorofila Konica Minolta SPAD-502 Plus), contenido de agua (%) determinado mediante la fórmula CA (%) = [(peso fresco – peso seco)/peso fresco] x 100 (Rukundo et al., 2012), el peso seco del brote y la raíz (colocados por separado a secar en una estufa a 60 °C hasta peso constante), y relación raíz/brote (R/B) determinado mediante la relación del peso seco de la raíz sobre el peso seco del brote (Xu et al., 2015). No se procesaron datos de los potenciales hídrico M4 y M5 por ser afectados los explantes.

Los experimentos que determinaron los efectos del cultivar y los potenciales hídricos en el crecimiento vegetativo de plántulas in vitro de Rubus spp. fueron bajo un diseño completamente al azar en arreglo factorial (factor A: cuatro genotipos, factor B: cuatro potenciales hídricos que incluyen el testigo absoluto) y cuatro explantes por unidad experimental. Las diferencias significativas entre las medias se calcularon con la prueba Tukey a p≤0,05. El ANOVA de dos factores se realizó para analizar los efectos combinados de estos. El MANOVA de dos factores se realizó con todas las variables morfológicas y fisiológicas. Las diferencias significativas se analizaron a p≤0,05 y p≤0,01, respectivamente. La relación entre los caracteres morfológicos y fisiológicos se exploraron con la técnica de análisis de los componentes principales. Los resultados de los componentes principales se visualizaron con el Biplot construido entre los dos primeros componentes principales (PC1 y PC2). El análisis estadístico de los datos se realizó con el software R versión 4.1.0.

Resultados

El MANOVA de dos factores de las variables morfológicas y fisiológicas en el crecimiento vegetativo de plántulas de Rubus spp., mostraron que los parámetros individuales cultivar, potencial hídrico y el efecto de interacción cultivar x potencial hídrico fueron altamente significativos (p≤0,01), con efectos negativos sobre el crecimiento vegetativo en las plántulas de Rubus spp. (Cuadro 1).

Cuadro 1. MANOVA de dos factores de los efectos de cultivares de Rubus spp. y potenciales hídricos del manitol, y sus efectos combinados sobre todas las variables morfológicas y fisiológicas del crecimiento vegetativo en plántulas de Rubus spp. Laboratorio de Biología de la Universidad Nacional Toribio Rodríguez de Mendoza de Amazonas. Amazonas, Perú, 2020.

Table 1. MANOVA of two factors of the effects of cultivars of Rubus spp. and water potentials using mannitol, and their combined effects on all morphological and physiological variables of vegetative growth in seedlings of Rubus spp. Biology Laboratory of the Universidad Nacional Toribio Rodriguez de Mendoza de Amazonas. Amazonas, Peru, 2020.

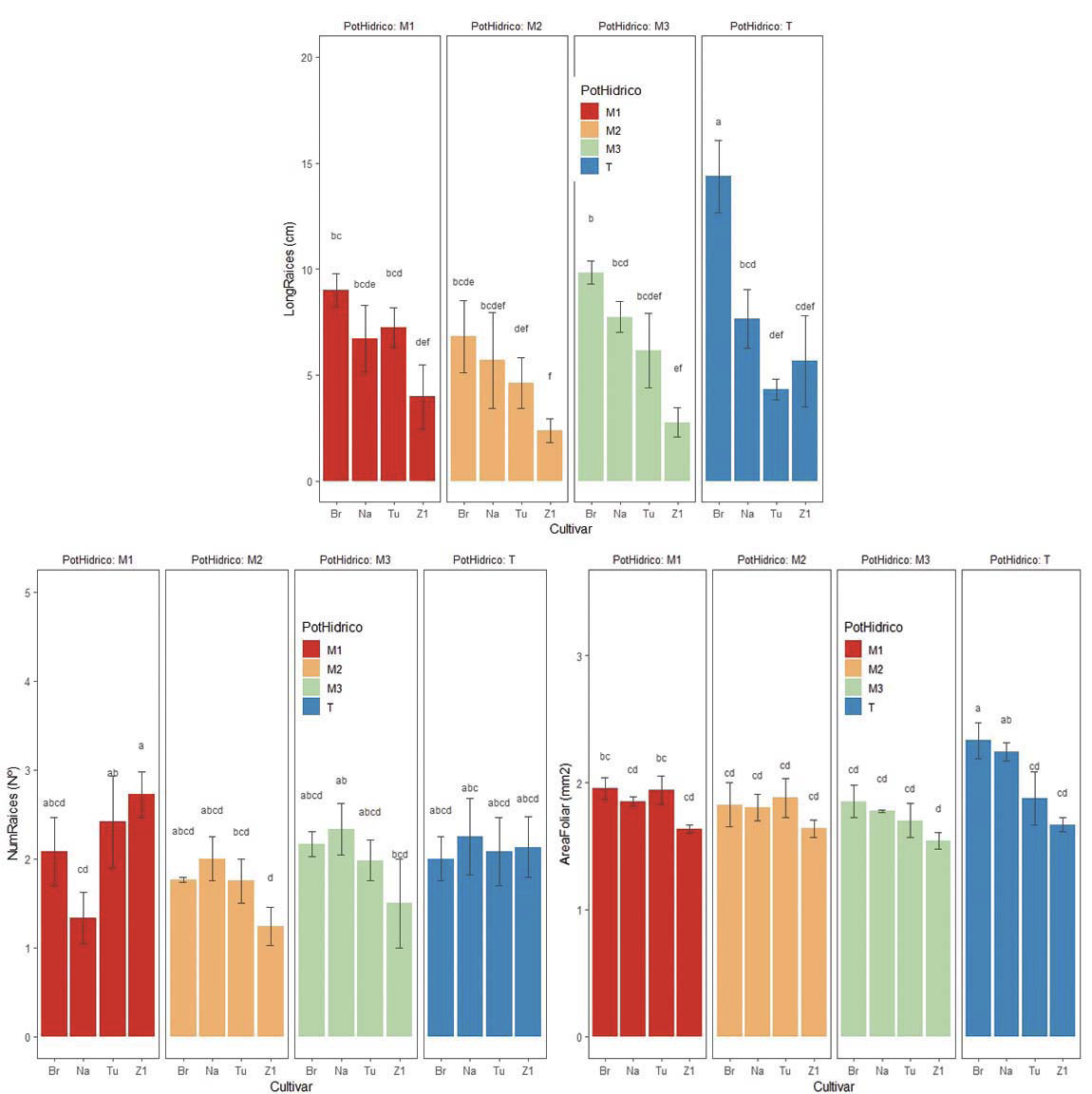
Los cultivares de Rubus spp. respondieron de forma diferente en los caracteres morfológicos frente al estrés hídrico simulado. En el número de raíces en explantes sin estrés hídrico los cultivares respondieron de manera similar (Figura 1a). En potencial hídrico (PHi) -0,2 MPa el cv. Navaho, en PHi de -0,3 MPa el cv. Tupy y la accesión silvestre 001-Rsp-UNTRM (AS-001) y en PHi -0,4 Mpa, la AS-001, mostraron un patrón de disminución del número de raíces. El efecto negativo marcado de disminución del número de raíces se registró en la AS-001, seguido del cv. Tupy en PHi -0,3 y -0,4 MPa, en tanto, los cultivares Brazos y Navaho mostraron una tolerancia similar al estrés hídrico en estos PHi en comparación con el testigo.

Figura 1. Respuesta morfológica de plántulas de Rubus spp. sometidas a diferentes potenciales hídricos con el empleo del manitol. Laboratorio de Biología de la Universidad Nacional Toribio Rodríguez de Mendoza de Amazonas. Amazonas, Perú, 2020. a) número de raíces, b) longitud de raíces, c) área foliar.

Datos presentados con medias ± desviación standard, diferentes letras indican diferencias significativas en los parámetros para un p≤0,05 de acuerdo con la prueba Tukey. Br (Brazos), Na (Navaho), Tu (Tupy), Z1 (accesión silvestre 001-Rsp-UNTRM). M1 (-0,2 Mpa), M2 (-0,3 MPa), M3 (-0,4 MPa), T (Testigo).

Figure 1. Morphological response of Rubus spp. seedlings subjected to different water potentials with the use of mannitol. Biology Laboratory of the Universidad Nacional Toribio Rodriguez de Mendoza de Amazonas. Amazonas, Peru, 2020. a) Number of roots, b) Length of roots, c) leaf area.

Data presented with means ± standard deviation, different letters indicate significant differences in the parameters for a p≤ =0.05 according to the Tukey test. Br (Brazos), Na (Navaho), Tu (Tupy), Z1 (wild accession 001-Rsp-UNTRM). M1 (-0.2 MPa), M2 (-0.3 MPa), M3 (-0.4 MPa), T (Control).

La longitud de raíces (LngR) en explantes sin estrés hídrico mostró diferencias significativas en los cultivares Navaho, Tupy y la AS-001 comparados con el cv. Brazos que registró mayor LngR (Figura 1b). En PHi -0,2 MPa la AS-001, en PHi -0,3 MPa el cv. Tupy y AS-001 y en PHi -0,4 MPa la AS-001, mostraron un patrón de disminución de la LngR. Las marcadas reducciones en la LngR se observaron en la AS-001 en PHi -0,3 y -0,4 MPa, en tanto, los cultivares Brazos y Navaho mostraron una tolerancia similar al estrés hídrico en estos PHi, sin embargo, el cv Brazos registró valores menores de LngR comparados con el testigo.

El área foliar en explantes sin estrés hídrico mostraron diferencias significativas en los cultivares Brazos y Navaho en comparación con el cv. Tupy y el AS-001 (Figura 1c). En PHi -0,2 a -0,4 el cv. Tupy y la AS-001, mostraron una tolerancia en comparación con el testigo. Los cultivares Brazos y Navaho registraron una disminución del área foliar en estos PHi.

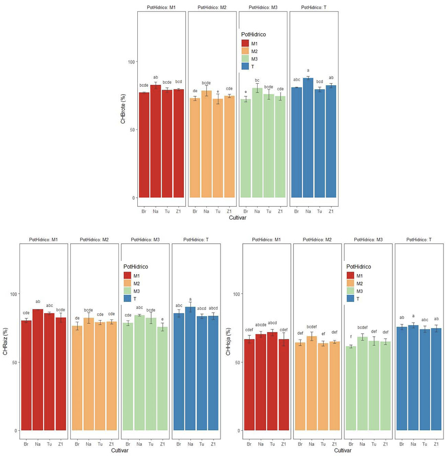
Los caracteres fisiológicos mostraron también diferentes respuestas frente al estrés hídrico, en el contenido hídrico del brote (CHBr) sin estrés hídrico, el cv. Tupy registró menor porcentaje de CHBr, y se registraron diferencias significativas con los otros cultivares (Figura 2a). En PHi -0,2, -0,3 y -0,4 MPa, el cv. Navaho mostró diferencias significativas con el resto de los cultivares y AS-001. Los cultivares Navaho y Tupy mostraron una tolerancia al estrés hídrico en los caracteres fisiológicos en PHi de -0,2 MPa.

Figura 2. Respuesta fisiológica de plántulas de Rubus spp. sometidas a diferentes potenciales hídricos con el empleo de manitol. Laboratorio de Biología de la Universidad Nacional Toribio Rodríguez de Mendoza de Amazonas. Amazonas, Perú, 2020. a) contenido hídrico de brote, b) contenido hídrico de raíz, c) contenido hídrico de hoja.

Datos presentados con medias ± desviación standard, diferentes letras indican diferencias significativas en los parámetros para un p≤0,05 de acuerdo con la prueba Tukey. Br (Brazos), Na (Navajo), Tu (Tupy), Z1 (accesión silvestre 001-Rsp-UNTRM). M1(-0,2 Mpa), M2(-0,3 MPa), M3(-0,4 MPa). CH (contenido hídrico).

Figure 2. Physiological response of Rubus spp. seedlings subjected to different water potentials with the use of mannitol. Biology Laboratory of the Universidad Nacional Toribio Rodriguez de Mendoza de Amazonas. Amazonas, Peru, 2020. a) sprout water content, b) root water content, c) leaf water content.

Data presented with means ± standard deviation, different letters indicate significant differences in the parameters for a p≤0,05 according to the Tukey test. Br (Arms), Na (Navajo), Tu (Tupy), Z1 (wild accession 001-Rsp-UNTRM). M1 (-0.2 MPa), M2 (-0.3 MPa), M3 (-0.4 MPa). CH (Water content).

En el contenido hídrico de raíz (CHRz) sin estrés hídrico la respuesta de los cultivares fue similar (Figura 2b). En PHi -0,2 MPa los cultivares Brazos y AS-001, en PHi -0,4 los cultivares Brazos, Tupy y AS-001, registraron un patrón de disminución del % de CHRz. El cv. Navaho mostró tolerancia al estrés hídrico en PHi -0,2 y -0,4 MPa.

En el contenido hídrico de hoja (CHHj) sin estrés hídrico la respuesta de los cultivares fue similar (Figura 2c). En PHi -0,2 MPa los cultivares Brazos y AS-001, en PHi -0,3 y -0,4 los cultivares Brazos, Tupy y AS-001, registraron un patrón de disminución del % de CHHj. El cv. Navaho y Tupy mostraron tolerancia al estrés hídrico en PHi -0,2 MPa.

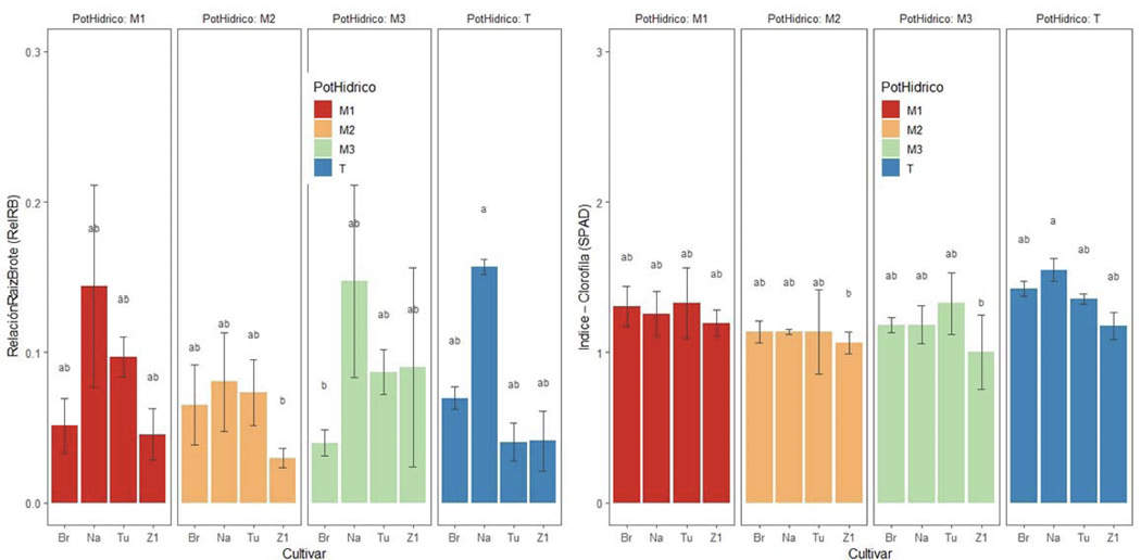
La relación raíz/brote sin estrés hídrico y los PHi -0,2 y -0,4 MPa, no mostraron diferencias significativas (Figura 3a). En tanto, en el PHi -0,4 MPa solo el cv. Brazos mostró diferencias significativas comparado con los otros genotipos.

Figura 3. Respuesta fisiológica de plántulas de Rubus spp. sometidas a diferentes potenciales hídricos con el empleo de manitol. Laboratorio de Biología de la Universidad Nacional Toribio Rodríguez de Mendoza de Amazonas. Amazonas, Perú, 2020.

a) relación R/B, b) índice de clorofila. Datos presentados con medias ± desviación standard, diferentes letras indican diferencias significativas en los parámetros para un p≤0,05 de acuerdo con la prueba Tukey. Br (Brazos), Na (Navajo), Tu (Tupy), Z1 (accesión silvestre 001-Rsp-UNTRM). M1(-0,2 Mpa), M2(-0,3 MPa), M3(-0,4 MPa).

Figure 3. Physiological response of Rubus spp. seedlings subjected to different water potentials with the use of mannitol. Biology Laboratory of the Universidad Nacional Toribio Rodríguez de Mendoza de Amazonas. Amazonas, Peru, 2020.

a) root to shoot ratio, b) chlorophyll index. Data presented with means ± standard deviation, different letters indicate significant differences in the parameters for a p≤0.05 according to the Tukey test. Br (Arms), Na (Navajo), Tu (Tupy), Z1 (wild accession 001-Rsp-UNTRM). M1 (-0.2 MPa), M2 (-0.3 MPa), M3 (-0.4 MPa).

El índice de clorofila sin estrés hídrico y los PHi -0,2; a 0,4 MPa no mostraron diferencias significativas entre los cultivares de Rubus spp. (Figura 3b). En tanto, en el PHi -0,3 y -0,4 MPa el AS-001 mostró diferencias significativas en comparación con el testigo.

Respuestas fisiológicas y morfológicas de especies de Rubus spp. sometidas a estrés hídrico se evaluaron a través del análisis de componentes principales (PC) las PC1 y PC2 explicaron el 87,3 % de la varianza de los datos (Figura 4). Las puntuaciones negativas del PC1 (representó el 76 % de la varianza total), en las cuales el cv. Brazos y la AS-001, registraron niveles menores de CHBr, CHHj y CHRz, en comparación con el cv. Navaho y Tupy (en las puntuaciones positivas de PC1). Estos resultados mostraron que el cv. Brazos y la AS-001 exhibieron cambios fisiológicos notables en el contenido hídrico del brote, la hoja y la raíz, para intentar adaptarse a los cambios en la disponibilidad hídrica del medio de cultivo simulado con manitol.

Figura 4. Componentes principales de las respuestas morfológicas y fisiológicas de cultivares de Rubus spp. Br (Brazos), Na (Navaho), Tu (Tupy), Z1(accesión silvestre 001-Rsp-UNTRM). Laboratorio de Biología de la Universidad Nacional Toribio Rodríguez de Mendoza de Amazonas. Amazonas, Perú. 2020.

Longitud de raíces (LngR), número de raíces (NmRc), contenido hídrico de raíces (CHRz), contenido hídrico de hojas (CHHj), contenido hídrico de brotes (CHBr), SPAD, área foliar (ArFo).

Figure 4. Principal components of the morphological and physiological responses of cultivars of Rubus spp. Br (Brazos), Na (Navaho), Tu (Tupy), Z1 (wild accession 001-Rsp-UNTRM). Biology Laboratory of the Universidad Nacional Toribio Rodriguez de Mendoza de Amazonas. Amazonas, Peru. 2020.

Root length (LngR), number of roots (NmRc), root water content (CHRz), leaf water content (CHHj), shoot water content (CHBr), SPAD, leaf area (ArFo).

Discusión

Bajo condiciones de estrés hídrico simulado con manitol los caracteres morfológicos registrados en los cultivares y la accesión silvestre de Rubus spp. respondieron de forma diferente. La longitud de raíces en los cultivares Navaho y Tupy no fueron afectadas por el estrés hídrico en comparación con el testigo (p<0,001), y mostraron un crecimiento similar en los PHi -0,2 a -0,4 MPa (Figura 1a), al respecto, es probable que la disminución del crecimiento radicular por efectos de estrés hídrico pueda estar relacionado al hecho de que está expuesta a la escasa de disponibilidad de agua, por tanto, es un órgano crítico para la tolerancia al estrés hídrico en las plantas (Sattar et al., 2021).

El número de raíces en los cultivares Brazos, Navaho y Tupy registraron valores similares, fueron poco afectados por el estrés hídrico al compararse con el testigo (p<0,001) y mostraron un número similar en los PHi -0,2 a -0,4 MPa (Figura 1b). El área foliar el cv. Tupy y la AS-001 registraron similar respuesta bajo estrés hídrico en comparación con el testigo (p=0,004), se observó un crecimiento similar en los PHi -0,2 a -0,4 MPa (Figura 1c). Estos resultados están respaldados por estudios anteriores, donde los caracteres morfológicos son afectados por el estrés hídrico, cuyos principales efectos, en primer lugar están relacionados con la disminución de la altura de planta, registrado en especies de maíz (Anjum et al., 2017) y arroz (Patmi et al., 2020), número y longitud de raíces en Solanum tuberosum (Sattar et al., 2021), y en segundo lugar, por la disminución del área foliar como en Vigna radiata (Bangar et al., 2019) y Jatropha curcas (Sapeta et al., 2013); ambos efectos son producidos por el descenso de la expansión celular, provocada por la pérdida de la turgencia celular, incluso puede estar asociado con el deterioro de los mecanismos de la división celular (Yang et al., 2021). En PHi -0,2 a -0,4 el cv. Tupy y la AS-001, registraron en el área foliar una tolerancia en estos potenciales hídricos en comparación con el testigo. Mantener los valores de área foliar bajo estrés hídrico moderado, es importante, porque permite tener mayores tasas de fotosíntesis y por tanto, mayores valores de la relación raíz/brote (R/B) en las plántulas.

Los caracteres fisiológicos tuvieron una respuesta diferente en los cultivares y la accesión silvestre evaluadas. En el CHBr y CHHj, los cultivares Navaho y Tupy mostraron tolerancia frente al estrés hídrico en PHi de -0,2 MPa, en tanto, en el CHRz el cv. Navaho registró tolerancia al estrés hídrico en los PHi -0,2 y -0,4 MPa (Figura 2a). Estos resultados permiten conocer como los explantes pueden mantenerse hidratados bajos condiciones de escasa disponibilidad de agua, es así, que en cultivares de Musa spp. permitió identificar cultivares tolerantes al estrés hídrico (Marssaro et al., 2017; Moreno-Bermúdez et al., 2015).

En la presente investigación el índice de clorofila (IC) en los cultivares de Rubus spp. no mostró diferencias significativas entre los PHi -0,2 a -0,4 MPa y el tratamiento sin estrés hídrico, en tanto, el AS-001 en PHi por encima de -0,2 MPa mostró diferencias significativas con el tratamiento sin estrés hídrico. Este IC es importante para identificar cultivares de Rubus sp. que efectúan adecuadas tasas de fotosíntesis bajo condiciones de estrés hídrico moderado.

Los valores de la relación R/B en las plántulas difirieron con respecto al cultivar, nivel de potencial hídrico y la interacción antagónica de estos factores. Esta relación con frecuencia experimenta un incremento por efecto del estrés hídrico, como las reportadas en arroz, soya y ryegrass (Du et al., 2020; Guo et al., 2020; Xu et al., 2015). En el presente estudio, los cultivares Navaho y Tupy, no mostraron diferencias significativas en PHi -0,2 a -0,4 MPa, en tanto, el cv. Brazos registró valores menores en comparación con explantes sin estrés hídrico en PHi -0,4 MPa (Figura 2d). El incremento de esta relación se observó en el cultivar Tupy al emplear potenciales hídricos de -0,2 a -0,4 MPa, con un aumento de la relación R/B, los valores registrados indican que la materia seca fue distribuida en mayor proporción a las raíces que en los brotes bajo condiciones de estrés hídrico, por tanto, esta relación es importante porque permitiría identificar cultivares con una plasticidad fenotípica que faculte a la plántula para disminuir los efectos negativos frente al estrés hídrico moderado (Nicotra et al., 2010).

Las variables fisiológicas: contenido hídrico de raíz (CHRz), contenido hídrico de hoja (CHHj) y el contenido de brote (CHBr) bajo condiciones de estrés hídrico simulado con manitol en PHi -0,2 a -0,4 MPa, actuaron como una señal que indujo un mecanismo de respuesta fisiológica, tal como se pudo apreciar en los CP de los cultivares desarrollados bajo condiciones de estrés hídrico (Figura 3). Estas respuestas fisiológicas en los cultivares Navaho y Tupy representaron un mecanismo de adaptación de los explantes al estrés hídrico, interpretado en las pequeñas diferencias observadas entre el control (sin estrés hídrico) y los PHi -0,2 a -0,4 Mpa. Por tanto, estos cultivares estarían mejor adaptados en la etapa vegetativa bajo condiciones moderadas de estrés hídrico.

Conclusiones

El estrés hídrico simulado con manitol produjo cambios a nivel morfológico y fisiológico en los cultivares estudiados.

Los cultivares Navaho y Tupy fueron los explantes in vitro que mostraron mayor tolerancia y los mejores adaptados para el estrés hídrico simulado con manitol en las variables fisiológicas como el contenido hídrico de raíz (CHRz), contenido hídrico de hoja (CHHj) y el contenido hídrico de brote (CHBr).

El explante in vitro cv. Brazos mostró una mayor tolerancia al estrés hídrico simulado con manitol en la variable morfológica de la longitud de la raíz (LngR).

Los rasgos morfológicos y fisiológicos relacionados con la longitud de raíz, el contenido hídrico del brote, raíz y hoja permitieron identificar in vitro cultivares de Rubus spp. tolerantes al estrés hídrico simulado con manitol en la fase vegetativa.

Referencias

Aazami, M. A., Torabi, M., & Jalili, E. (2010). In vitro response of promosing tomato genotypes for tolerance to osmotic stress. African Journal of Biotechnology, 9(26), 4014–4017. https://www.ajol.info/index.php/ajb/article/view/82552

Alice, L. A., & Campbell, C. S. (1999). Phylogeny of Rubus (Rosaceae) based on nuclear ribosomal DNA internal transcribed spacer region sequences. American Journal of Botany, 86(1), 81–97. https://doi.org/10.2307/2656957

Anjum, S. S., Ashraf, U., Tanveer, M., Khan, I., Hussain, S., Shahzad, B., Zohaib, A., Abbas, F., Saleem, M. F., Ali, I., & Wang, L. C. (2017). Drought induced changes in growth, osmolyte accumulation and antioxidant metabolism of three maize hybrids. Frontiers in Plant Science, 8, Article 69. https://doi.org/10.3389/fpls.2017.00069

Bangar, P., Chaudurry, A., Tiwari, B., Kumar, S., Kumari, R., & Bhat, K. V. (2019). Morphophysiological and biochemical response of mungbean [Vigna radiata (L.) Wilczek] varieties at different developmental stages under drought stress. Turkish Journal of Biology, 43(1), 58–69. https://doi.org/10.3906/biy-1801-64

Carloni, E., Tommasino, E., Colomba, E. L., Ribotta, A., Quiroga, M., Griffa, S., & Grunberg, K. (2017). In vitro selection and characterization of buffelgrass somaclones with different responses to water stress. Plant Cell Tissue and Organ Culture, 130(2), 265–277. https://doi.org/10.1007/s11240-017-1220-9

Chutipaijit, S. (2016). Changes in physiological and antioxidant activity of indica rice seedlings in response to mannitol-induced osmotic stress. Chilean Journal of Agricultural Research, 76(4), 455–62. https://doi.org/10.4067/S0718-58392016000400009

Collado, R., Pérez, A. C., Martínez, I. P., Rojas, L. E., Leiva-Mora, M., García, L. R., Veitía, N., Martirena, A., Torres, D., & Rivero, L. (2017). Diferenciación de cultivares de Phaseolus vulgaris L. mediante respuesta del tejido foliar expuesto a estrés hídrico y salino. Biotecnología Vegetal, 17(1), 25–32. https://revista.ibp.co.cu/index.php/BV/article/view/534/html

Du, Y., Zhao, Q., Chen, L., Yao, X., Zhang, W., Zhang, B., & Xie, F. (2020). Effect of drought stress on sugar metabolism in leaves and root of soybean seedlings. Plant Phyiology and Biochemistry, 146, 1–12. https://doi.org/10.1016/j.plaphy.2019.11.003

Elzaher, M. H. A., Elwahab, S. M. A., Elsharabasy, S. F., Maiada, E. D., & Fouad, H. A. (2019). Rooting recovery and chemical analysis of date palm shootlets after sorbitol and mannitol sugars stress. Plant Archives, 19(Suppl.2), 886–894. http://plantarchives.org/SPL%20ISSUE%20SUPP%202,2019/160%20(886-894).pdf

Fang, Y., & Xiong, L. (2015). General mechanisms of drought response and their application in drought resistance improvement in plants. Cellular and Molecular Life Sciences, 72(4), 673–689. https://doi.org/10.1007/s00018-014-1767-0

Gómez, D., Martínez, J., Hernández, L., Escalante, D., Yabor, L., Shershen, & Lorenzo, J. C. (2020). Modifying sugarcane mineral levels through sodium chloride and mannitol exposure in temporary immersion bioreactors. In Vitro Cellular & Developmental Biology – Plant, 56, 169–176. https://doi.org/10.1007/s11627-019-10025-3

Guo, T., Tian, C., Chen, C., Duan, Z., Zhu, Q., & Sun, L. Z. (2020). Growth and carbohydrate dynamic of perennial ryegrass seedlings during PEG-simulated drought and subsequent recovery. Plant Physiology and Biochemistry, 154, 85–93. https://doi.org/10.1016/j.plaphy.2020.06.008

Hashempoor, S., Ghaheri, M., Kahrizi, D., Kazemi, N., Muhammadi, S., Safavi, S.M., Ghorbani, T., Rahmanian, E., & Heshmatpanaah, M. (2018). Effects of different concentrations of mannitol on gene expression in Stevia rebaudiana Bertoni. Cellular and Molecular Biology, 64(2), 28–31. https://doi.org/10.14715/cmb/2018.64.2.6

Hernández, L., Gómez, D., Valle, B., Tebbe, C. C., Trethowan, R., Acosta, R., Yabor, L., & Lorenzo, J. C. (2018). Carotenoids in roots indicated the level of stress induced by mannitol and sodium azide treatment during the early stages of maize germination. Acta Physiologiae Plantarum, 40(9), Article 163. https://doi.org/10.1007/s11738-018-2744-2

Jolayemi, O. L., & Opabode, J. T. (2018). Responses of cassava (Manihot esculenta Crantz) varieties to in vitro mannitol-induced drought stress. Journal of Crop Improvement, 32(4), 566–578. https://doi.org/10.1080/15427528.2018.1471431

Klimaszewska, K., Bernier-Cardou, M., Cyr, D. R., & Sutton, B. C. S. (2000). Influence of gelling agents on culture medium gel strength, water availability, tissue water potential, and maturation response in embryogenic cultures of Pinus strobus L. In Vitro Cellular & Developmental Biology - Plant, 36(4), 279-286. https://doi.org/10.1007/s11627-000-0051-1

Mahajan, S., & Tuteja, N. (2005). Cold, salinity and drought stresses: An overview. Archives of Biochemestry and Biophysics, 444(2), 139–158. https://doi.org/10.1016/j.abb.2005.10.018

Marssaro, A. L., Morais-Lino, L. S., Cruz, J. L., Ledo, C. A. S., & Santos-Serejo, J. A. (2017). Simulation of in vitro water deficit for selecting drought-tolerant banana genotypes. Pesquisa Agropecuária Brasileira, 52(12), 1301–1304. https://doi.org/10.1590/S0100-204X2017001200021

Millones, C. E. (2018). Establecimiento y ensayos preliminares de propagación in vitro de zarzamora silvestre (Rubus sp.) del Centro Poblado San Salvador, región Amazonas. Revista de Investigación Científica UNTRM: Ciencias Naturales e Ingeniería, 1(2), 31–38. http://doi.org/10.25127/ucni.v3i2.316

Millones, C. E., & Vásquez, E. R. (2020). Regeneración y enraizamiento de brotes adventicios etiolados de cultivares de zarzamora (Rubus sp.). Revista de Investigaciones Altoandinas, 22(4), 338–342. https://doi.org/10.18271/ria.2020.195

Moreno-Bermúdez, L. J., Reyes, M., Gómez-Kosky, R., Urquiza, M. R., & Chong-Pérez, B. (2015). Efecto del estrés hídrico con PEG 6000 sobre el contenido de agua de plantas in vitro de Musa spp. ‘Grande naine’ (AAA) y ‘Pelipita’ (ABB). Biotecnología Vegetal, 15(4), 251–254. https://revista.ibp.co.cu/index.php/BV/article/view/503

Murashige, T., & Skoog, F. (1962). A revised medium for rapid growth and bio assays with tobacco tissue cultures. Physiologia Plantarum, 15(3), 473–497. https://doi.org/10.1111/j.1399-3054.1962.tb08052.x

Nicotra, A. B., Atkin, O. K., Bonser, S. P., Davidson, A. M., Finnegan, E. J., Mathesius, U., Poot, P., Purugganan, M. D., Richards, C. L., Valladares, F., & Van-Kleunen, M. (2010). Plant phenotypic plasticity in a changing climate. Trends in Plant Science, 15(12), 684–692. https://doi.org/10.1016/j.tplants.2010.09.008

Pant, N. C., Agarrwal, R., & Agrawal, S. (2014). Mannitol-induced drought stress on calli of Trigonella foenum-graecum L. Var. RMt-303. Indian Journal of Experimental Biology, 52(11), 1128-1137.

Patmi, Y. S., Pitoyo, A., Solichatun, & Sutarno. (2020). Effect of drought stress on morphological, anatomical, and physiological characteristics of Cempo Ireng cultivar mutant rice (Oryza sativa L.) strain 51 irradiated by gamma-ray. Journal of Physics: Conference Series, 1436, Article 012015. https://doi.org/10.1088/1742-6596/1436/1/012015

Piwowarczyk, B., Kamińska, I., & Rybiński, W. (2014). Influence of PEG generated osmotic stress on shoot regeneration and some biochemical parameters in Lathyrus culture. Czech Journal of Genetic and Plant Breeding, 50(2), 77–83. https://doi.org/10.13140/2.1.4330.3040

Rangel-Fajardo, M. A., Gómez-Montiel, N., Tucuch-Haas, J. I., Basto-Barbudo, D. C., Villalobos-Gonzáles, A., & Burgos-Díaz, J. A. (2019). Polietilenglicol 8000 para identificar maíz tolerante al estrés hídrico durante la germinación. Agronomía Mesoamericana, 30(1), 255–266. https://doi.org/10.15517/am.v30i1.34198

Rolando, J. L., Ramírez, D. A., Yactayo, W., Monneveux, P., & Quiroz, R. (2015). Leaf greenness as a drought tolerance related trait in potato (Solanum tuberosum L.). Enviromental and Experimental Botany, 110, 27–35. https://doi.org/10.1016/j.envexpbot.2014.09.006

Rukundo, P., Carpentier, S. C., & Swennen, R. (2012). Deveopment of in vitro technique to screen for drought tolerant banana varieties by sorbitol induced osmotic stress. African Journal of Plant Science, 6(15), 416–425. https://doi.org/10.5897/AJPS12.101

Samarina, L., Matskiv, A., Simonyan, T., Koninskaya, N., Malyarovskaya, V., Gvasaliya, M., Malyukova, L., Tsaturyan, G., Mytdyeva, A., Martínez-Montero, M. E., Choudhary, R., & Ryndin, A. (2020). Biochemical and genetic responses of tea (Camellia sinensis (L.) Kuntze) microplants under mannitol-induced osmotic stress in vitro. Plants, 9(12), Article 1795. https://doi.org/10.3390/plants9121795

Sapeta, H., Costa, J. M., Lourenço, T, Maroco, J., Linde, P. V. D., & Oliveira, M. M. (2013). Drought stress response in Jathropa curcas: growth and physiology. Environmental and Experimental Botany, 85, 76–84. https://doi.org/10.1016/j.envexpbot.2012.08.012

Sattar, F. A., Hamooh, B. T., Wellman, G., Ali, M. A., Shah, S. H., Anwar, Y., & Mousa, M. A. A. (2021). Growth and biochemical responses of potato cultivars under in vitro litium chloride and mannitol simulated salinity and drought stress. Plants, 10(5), 924. https://doi.org/10.3390/plants10050924

Singh, D., & Kumar, A. (2020). In vitro screening and characterization of selected elite clones of Eucalyptus tereticornis Sm. for salt stress. Journal of Plant Growth Regulation, 40, 694–706. https://doi.org/10.1007/s00344-020-10138-9

Tardieu, F., Simonneau, T., & Muller, B. (2018). The physiological basis of drought tolerance in crop plants: a scenario-dependent probabilistic approach. Annual Review of Plant Biology, 69, 733–759. https://doi.org/10.1146/annurev-arplant-042817-040218

Vergara, M. F., Vargas, J., & Acuña, J. F. (2016). Physicochemical characteristics of blackberry (Rubus glaucus Benth.) fruits from four production zones of Cundinamarca, Colombia. Agronomía Colombiana, 34(3), 336–345. https://doi.org/10.15446/agron.colomb.v34n3.62755

Xu, W., Cui, K., Xu, A., Nie, L., Huang, J., & Peng, S. (2015). Drought stress condition increases root to shootratio via alteration of carbohydrate partitotining and enzymatic activity in rice seedlings. Acta Physiologiae Plantarum, 37(2), Article 9. https://doi.org/10.1007/s11738-014-1760-0

Yang, X., Lu, M., Wang, Y., Wang, Y., Liu, Z., & Chen, S. (2021). Response mechanism of plants to drought stress. Horticulturae, 7(3), Article 50. https://doi.org/10.3390/horticulturae7030050

Wu, J., Miller, S. A., Hall, H. K., & Mooney, P. A. (2009). Factors affecting the efficiency of micropropagation from lateral buds and shoot tips of Rubus. Plant Cell Tissue and Organ Culture, 99, 17–25. https://doi.org/10.1007/s11240-009-9571-5

Zhu, Y., Luo, X., Nawaz, G., Yin, J., & Yang J. (2020). Physiological and biochemical responses of four cassava cultivars to drought stress. Scientific reports, 10(1), Article 6968. https://doi.org/10.1038/s41598-020-63809-8

Licencia de Creative Commons
Esta obra está bajo una licencia de Creative Commons Reconocimiento-NoComercial-SinObraDerivada 4.0 Internacional.
Puede hallar permisos más allá de los concedidos con esta licencia en pccmca@gmail.com