Agronomía Mesoamericana

Scientific article

Volumen 34(1): Artículo 49302, 2023

e-ISSN 2215-3608, doi:10.15517/am.v34i1.49302

https://revistas.ucr.ac.cr/index.php/agromeso/index

Effects of foliar biofertilization on the Water Use Efficiency in different varieties of basil (Ocimum basilicum L.)1

Efecto de la biofertilización foliar en el Uso Eficiente del Agua en diferentes variedades de albahaca (Ocimum basilicum L.)

Luis Eduardo Huito-Tarquino2, Emilio Garcia-Apaza3, Eva Conde-Viscarra4

1 Reception: December 1st, 2021. Acceptance: May 9th, 2022. This work is part of the research “Evaluation of two varieties of basil (Ocimum basilicum L.) with three doses of biofertilizer foliar in walipini, in the Ventilla area - La Paz”. Supported by Walipinis Ventilla Farm.

2 Institute of Agricultural Research and Natural Resources, Universidad Mayor de San Andrés, Héroes Del Acre N° 1850, La Paz, Bolivia. eduarht@gmail.com (http://orcid.org/0000-0002-7685-1165)

3 Universidad Mayor de San Andrés, Faculty of Agronomy, Héroes Del Acre N° 1850, La Paz, Bolivia. egarcia@umsa.bo (autor para correspondencia; http://orcid.org/0000-0002-5033-707X).

4 Universidad Mayor de San Andrés, Department of Research, Postgraduate and Social Interaction (DIPGIS), Av. 6 de Agosto N° 2170, Edif. Hoy, piso 14, La Paz, Bolivia. evacondeviscarra@gmail.com (http://orcid.org/0000-0002-4275-9993).

Abstract

Introduction. Basil (Ocimum basilicum L.) is a little-known crop in the Bolivian highlands as its response to water use efficiency (WUE) in a Walipini-type greenhouses. Objective. To evaluate the behavior of two varieties of basil and the water use efficiency (WUE) in the application of foliar biofertilizer in a Walipini-type greenhouse. Materials and methods. The experiment was installed at the Ventilla Ecological Farm, in the Central Highlands of Bolivia, with an experimental period of 135 days (July 13 to November 25), 2014. A factorial experiment with two factors (varieties: Nufar F1 and Italian Large Leaf) and two levels of foliar biofertilizer (Biol) was used under a completely randomized block design. Results. Through the WUE, specific leaf area, and net assimilation rate relationship, it was observed that basil had a better development in Walipini-type greenhouse (underground greenhouse) since biomass accumulation was not significantly affected. The results showed that the production of basil in this environment using foliar biofertilizer, Biol, differ mainly by the variety rather than by the doses of Biol, showing that Nufar F1 had better development. Conclusion. A significant relationship was observed between Nufar F1 and Italian large Leaf for biomass weight when applying Biol at two different levels. It shows that there does not necessarily have to be a positive and significant relationship between biomass accumulation and WUE, so it is presumed that basil can develops regularly in Walipini-type greenhouses under semi-arid region conditions.

Keywords: aromatic plant, biomass production, Biol, varieties.

Resumen

Introducción. La albahaca (Ocimum basilicum L.) es un cultivo poco conocido en el altiplano boliviano, al igual que su respuesta a la eficiencia de uso del agua (EUA) en invernadero tipo Walipini. Objetivo. Evaluar el comportamiento de dos variedades de albahaca y la eficiencia de uso del agua en la aplicación de biofertilizante foliar en un invernadero tipo Walipini. Materiales y métodos. El experimento se instaló en la Granja Ecológica Ventilla, en el Altiplano Central de Bolivia, con un periodo experimental de 135 días (13 de julio al 25 de noviembre), 2014. Se utilizó un experimento factorial con dos factores (variedades: Nufar F1 e Italian large Leaf) y dos niveles de biofertilizante foliar (Biol), bajo un diseño de bloques completamente al azar. Resultados. Mediante la relación EUA, área foliar específica y tasa neta de asimilación, se observó que la albahaca tuvo un mejor desarrollo en invernadero tipo Walipini (invernadero subterráneo), ya que la acumulación de biomasa no se vio afectada significativamente. Los resultados mostraron que la producción de albahaca en estos ambientes con biofertilizantes foliares, Biol, difirieron principalmente por la variedad más que por las dosis de Biol, y mostraron que Nufar F1 tuvo mejor desarrollo. Conclusión. Se observó una relación significativa entre Nufar F1 e Italian large Leaf para el peso de biomasa al aplicar Biol en dos diferentes niveles. Se muestra que no necesariamente debe haber una relación positiva y significativa entre la acumulación de biomasa y la EUA, por lo que se presume que la albahaca se desarrolla regularmente en invernaderos tipo Walipini bajo condiciones de región semiárida.

Palabras clave: planta aromática, producción de biomasa, Biol, variedades.

Introduction

Now a day, there is a huge anthropogenic pressure on natural resources (Zeng & Li, 2021), which come from intense land use (Zhong et al., 2020), or excessive use of fossil fuel causing climate change effects (Lelieveld et al., 2019; Wuebbles & Jain, 2001). It is important to rescue plants with high nutritional qualities, resistant to rough environments, and medicinal qualities (Chen et al., 2018), which combined with organic production, short-cycle, perennial species and produced in controlled environments (Asociación de Organizaciones de Productores Ecológicos de Bolivia, 2002) will be a positive success achievement for food security. Therefore, the use of biofertilizers known as Biol seems necessary to use in intensive productions (Anli et al. 2020; Malusà et al., 2016; Singh et al., 2020).

Organic or ecological agriculture does not use chemical products (Meemken & Qaim, 2018), it is about replacing the so-called agrochemical products with organic contributions (Flórez, 2009). The main function of these biofertilizers in the crop production is to activate the strengthening of the nutritional balance (Restrepo Rivera, 2001). Therefore, extracts of soluble powders or organic compounds that have a mix of nitrogen, phosphorus, and potassium (macro and micronutrients), such as biofertilizers known as Biol should be used (Ginandjar, 2019). However, the qualities of the plant must be known for the conditions where it is produced, so it is necessary to know how effective its physiology is in hard but protected environments (Chapman et al., 2012), such as in the Bolivian Highland. This implies identifying the plant development in all its physiological phases in a like-greenhouse environment or Walipini-type greenhouse (Bacarreza, 2018), to know how efficient is the plant in using water (Luque Quispe, 2004; Tesén Gallardo, 2021), or how it reacts to the use of biofertilizers (Aduana Aguilar, 2016; Mamani, 2006). The objective of this research was to evaluate the behavior of two varieties of basil and the water use efficiency (WUE) in the application of two doses of foliar biofertilizer in a Walipini-type greenhouse.

Materials y methods

Geographic location

This study was developed at the Ventilla Ecological Farm, located in the Murillo Province, Municipality of Achocalla, (16° 37’ 36.97 “ S and 68° 10’ 20.48” W), in the Community of Ventilla in the department of La Paz, Bolivia (Montes de Oca, 1997).

Agroecological characteristics

The thermal range of the Bolivian Highland is considered high in winter (variations from 16 °C even up to 25 °C) due to the effect of the intense solar radiation and the absence of clouds; the actual temperatures vary from 8 to 17 °C (Torrez et al., 2013), and temperatures from 18 to 27 °C inside of the Walipini-type greenhouse, which is constructed 1.0 to 2 m under the soil, in the subsoil. The Walipinis are semi-underground greenhouse-type infrastructure that allow the use of wild or small spaces, generating an environment with a microclimate conducive to growing fodder at more than 3,500 meters above sea level (Pérez Mercado, 2012).

The maximum solar radiation in the region and in the research period varied between 1,435 wm-2 in November and 1,160 wm-2 in July. The daily radiations registered in summer were: the highest between 13:00 and 14:30 (1,300 wm-2 and 1,450 wm-2), the lowest occurred at 7:00 (200 wm-2) and at 17:00 (150 wm-2); in winter, they were: the highest between 13:00 and 14:30 (1,100 wm-2 and 1,200 wm-2), the lowest occurred before 9:00 (150 wm-2) and after 17:00 (150 wm-2) (Montano Saavedra et al., 2020; Viceministerio de Electricidad y Energías Alternativas, 2021).

Varieties of basil (Ocimum basilicum L.) used

Nufar F1 (Ocimum basilicum var. nufar) (NF): has a life cycle from 5 to 6 months, it could be transplanted or direct sowed, its transplant time varies from 28 to 30 days, it has 16 cuts within its productive cycle, the harvest start on 45 to 60 days after transplanting. Planting density of 60,000 to 80,000 plants per hectare, it has an average yield of 80 g m-2 per cut, growth rate of 2.5 cm per day approximately, it is adapted from 0 to 2,000 m.a.s.l. (Pushpangadan & George, 2012). In addition, this plant produces high contents of phenolic compounds and antioxidants, comparison to other varieties of basil (Lee et al., 2005).

Italian large leaf (Ocimum basilicum var. genovese) (ILL): has a life cycle from 4 to 6 months, transplanted or direct sowed, its transplant time varies from 25 to 30 days, it has 14 cuts within its productive cycle, the harvest start 50 days after transplanting. Planting density of 60,000 to 70,000 plants per hectare, it has an average yield of 75 g m-2 per cut; growth rate, 2.5 cm per day approximately, it is adapted wide from 0 to 2,500 m.a.s.l. (Pushpangadan & George, 2012).

Characteristics of the Biol

The Biol’s elaboration was in a 30 L volume biodigester (Restrepo Rivera, 2001). Biol was prepared based on 26 L of water, 6 kg of cattle manure, 1 kg of alfalfa (Medicago sativa), and 0.5 kg of Chancaca (molasses) for the fermentation processes. The fermentation period was 30 days. Chemical analysis of the Biol resulted in a content of 0.046 % of nitrogen, 0.035 % of phosphorus, 0.113 % of potassium, and 0,224 % of organic carbon. For the treatments, this solution was diluted using water in different levels.

For the application of the biofertilizer doses, a manual metal sprayer and a plastic container were used. After dilution and filtering, the applications were made after 4:00 p.m., over the foliar part of the plants.

Experimental period

The experimental period was 135 days from 13 of July (winter) to 25 of November (spring), 2014, with 9 measurements during this period. Four phases for measuring the plant development: 11 days, 28 days, 65 days, and 121 days after sowing, and the harvesting 79 days after transplanting were considered.

Measurement of variables

Nine plants per treatment were used. The number of leaves, and stems, plant height (cm), stem diameter (cm), weight (g), were measured as well as the water use efficiency.

Leaf surface

The leaf surface was determined by sampling the leaves of plants that were 25 cm high, thus covering the 40 to 60 days of the plant cycle. The total number of leaves sampled was n = 486, corresponding to 54 leaves sampled per plot and considering a total of 162 measured individually, determining length (L, in cm), width (A, in cm), and leaf area (LA; in cm2). The validation was done with Image J (Gonzalez, 2018).

Biomass (weight)

The final evaluation of the growth in green and dry biomass of the plant was determined in nine plants per treatment. The green weight was obtained in the field, and for the dry weight it was obtained in the laboratory, they were dried in an oven at 80 °C until constant mass.

Growth rates

From the leaf surface and the total dry biomass, according to Acosta-Motos et al. (2017) and Barroso (2004) the following indicators were calculated: net assimilation rate (NAR, equation 1), relative growth rate (RGR, equation 2), and specific leaf area (SLA, equation 3), using the following expressions:

g m2 day-1 (1) g g-1 day-1 (2)

m2 g-1 (3)

Where:

M1 and M2: Total dry mass at the beginning and end of the period.

ML1 and ML2: Leaf dry mass at the beginning and end of the period.

t2 and t1: Number of days at the beginning and end of the period.

SF2 and SF1: Total leaf area at the beginning and end of the period.

Water use efficiency

In the management of the crop and for avoiding the masked effect of the use of water in the Walipini-type greenhouse, it was irrigated taking into account the need of the plant in its phenological phases. This was done according to Daza Torrez (2018), Daza-Torrez et al. (2017), and Urrutia Cobo (2006), till harvesting at a rate of: a) initial phase: Kc: 0.34, 70 mm; b) growth and development phase: Kc: 0.46, 75 mm; c) maturity phase: Kc: 0.59, 122 mm; d) harvest and senescence phase: Kc: 0.42, 64 mm. For the water use efficiency (WUE) calculation, the relationship of Howel (2001) was used in which the WUE for productive systems can be defined in the equation 4:

kg m-3 (4)

If the production of the crop is expressed in g m-2 and the water is expressed in mm, then the WUE has kg m-3.

Description of the experimental plot

Walipini is a semi-underground construction, type of greenhouse; this infrastructure manages to create warmer temperatures inside in comparison to the outside temperature. A Walipini has a depth between 1.80 - 2 m, which creates favorable climatic characteristics and minimal temperature fluctuations. Its ground walls help retain heat and humidity, something that minimizes water consumption, a very scarce resource in the highlands. This system has characteristics that allow intensive production of horticultural products throughout the year (Calle Ramos, 2006). The experimental area of the plot consisted of 40.5 m2, the furrows were made prior to transplanting the seedlings considering a surface per experimental unit of 2.10 cm2. All the treatments were distributed randomly to later establish the basil crop.

Experimental design

The experimental design used in the research was the randomized complete block design with a factorial arrangement of 23. The results were subjected to an analysis of variance (ANOVA) (Federer, 1983); the mean comparison between treatments and varieties was made through the test of Duncan. The spatial arrangement has been arranged in three blocks and six treatments, which gave rise to 18 experimental units. The factors used were the following:

Factor A: varieties of basil

a1 = Nufar F1

a2 = Italian Large Leaf

Factor B: Dose of foliar biofertilizer

b1 = Foliar biofertilizer with 100 % of water and 0 % of Biol (control)

b2 = Foliar biofertilizer with 95 % of water and 5 % of Biol

b3 = Foliar biofertilizer with 75 % of water and 25 % of Biol

The statistical model used was following Koller et al. (2016) and Federer (1983) and are represented in the equation 5:

Yijk = µ + δk + αi + βj + (α β)ij + Єijk (5)

Where:

Yijk = Any observation or value of the evaluated response variable in an experimental unit of the k-th block that received the combination of the i-th level of A and j-th level of B.

µ = Mean

δk = Effect of k-th block.

αi = Effect of i-th level of A.

βj = Effect of j-th level of B.

(α β)ij= Effect of the interaction between levels i-th of A and j-th of B.

Єijk = Random effect of residuals or experimental error.

Features of treatments

A total of six treatments are sowed in Table 1, originating from the combination of the factors of varieties and doses of foliar biofertilizer with its control.

Table 1. Organization of the treatments in the Walipini-type greenhouse where the research with basil (Ocimum basilicum L.) was carried out. Ventilla farm, La Paz, Bolivia. 2014.

Cuadro 1. Organización de los tratamientos en el invernadero tipo Walipini donde se realizó la investigación con albahaca (Ocimum basilicum L.). Granja de Ventilla, La Paz, Bolivia. 2014.

The combination of both factors was randomly distributed, considering 35 basil plants in each experimental unit, of which nine were taken into account for evaluation randomly.

The independent-samples t-test were done to compare the means between unrelated groups on the same continuous, dependent variables; all relevant graph and data analyzes were performed using Minitab® 17 software (Pennsylvania State University, PA, USA) and MS Excel 2010 (Microsoft, Washington, USA). The normal distribution of the data was determined by the Shapiro-Wilk W test, while the homogeneity of the variances was determined by the Bartlett test. The ANOVA results were considered significant at p<0.05 and p<0.01, as appropriate, and mean comparisons were made using the Tukey HSD test. For the correlation analysis at the significance level (p<0.05) based on the Pearson method. The data analysis combined with bibliographic information also was done.

Results

Agroecological conditions

The agroecological conditions of the Walipinin-type greenhouse is shown in the Table 2 and Figure 1.

Table 2. Results of the soil analysis of the Walipini-type greenhouse where the research with basil (Ocimum basilicum L.) was carried out. Ventilla farm, La Paz, Bolivia. 2014.

Cuadro 2. Resultados de los análisis de suelo del invernadero tipo Walipini donde se realizó la investigación con albahaca (Ocimum basilicum L.). Granja de Ventilla, La Paz, Bolivia. 2014.

Figure 1. Average temperature measured inside the Walipini-type greenhouse and outside of this infrastructure. Relative humidity measured outside the infrastructure (H°: %). Ventilla Farm, La Paz, Bolivia. 2014.

Walipini is a semi-underground construction, type of greenhouse; this infrastructure manages to create warmer temperatures inside in comparison to the outside temperature.

ACT: average temperature, MAX: maximum temperature, MIN: Minimum temperature.

Figura 1. Temperatura promedio medida dentro del invernadero tipo Walipini y fuera de esta infraestructura. Humedad relativa medida fuera de la infraestructura (H°: %). Granja de Ventilla, La Paz, Bolivia. 2014.

Walipini es una construcción semienterrada, tipo invernadero; esta infraestructura logra crear temperaturas más cálidas en el interior en comparación con la temperatura exterior.

ACT: temperatura media, MAX: temperatura máxima, MIN: temperatura mínima.

Plant growth

According to the ANOVA, it was observed that there was a highly significant difference between varieties for days to flowering (DF), also no significant differences between varieties for the number of leaves and plant height (p=0.179 and p=0.181, respectively). However, the variety had a 93.2 % impact on the number of stems (p=0.068), 95.3 % for stem diameter (p=0.047), and 94.5 % for weight (p=0.055). On the other hand, it was observed there no significant differences among the levels of Biol (neither for plant height, stem diameter, weight, number of leaves, and number of stems) (Table 3).

Table 3. Value of p from the analysis of variance in the experiment with basil (Ocimum basilicum L.) of two varieties under three levels of foliar fertilizer Biol. Ventilla Farm, La Paz, Bolivia. 2014.

Cuadro 3. Valor de p del análisis de varianza en el experimento con albahaca (Ocimum basilicum L.) de dos variedades bajo tres niveles de fertilizante foliar Biol. Granja de Ventilla, La Paz, Bolivia. 2014.

The response of the application of foliar biofertilizer (Biol) in two varieties of basil has shown that there was a significant difference between Nufar F1 (NF) with 0 % Biol (only water) and Italian Large Leaf (ILL) with 25 % Biol (p<0.05), for the rest of the treatments, showed differences between treatments 1 to 3 and treatments 4 to 5. Likewise, a significant difference was observed between NF with 0% Biol (only water) and ILL with 25 % Biol (p<0.001) for the number of leaves, number of stems, plant height, stem diameter, and the weight of the plant (Table 4).

Table 4. Means of the morphological characteristics of two varieties of basil (Ocimum basilicum L.) under three levels of foliar fertilizer Biol. Ventilla Farm, La Paz, Bolivia. 2014.

Cuadro 4. Medias de las características morfológicas de dos variedades de albahaca (Ocimum basilicum L.) bajo tres niveles de fertilizante foliar Biol. Granja de Ventilla, La Paz, Bolivia. 2014.

Water use efficiency

On average, the water use efficiency (WUE) has been 4.3 kg m-3 for NF and 3.2 kg m-3 for ILL. It was established that there are significant differences between NF with 0 % Biol (only water) (4.8 kg m-3) and ILL with 25 % Biol (1.9 kg m-3) (p <0.001) (Figure 2). No differences were observed between means of treatments 2, 3, 4, and 5 (Figure 2). The ANOVA shows that there were no significant differences for the dose (p>0.072) and for the variety (p>0.058), so there was no interaction between both factors (p>0.279).

Figure 2. Water use efficiency of three levels of Biol and two varieties of basil (Ocimum basilicum L.) plants after the growing period. Ventilla Farm, La Paz, Bolivia. 2014.

The Biol’s elaboration was in a 30 L volume biodigester (Restrepo Rivera, 2001).

Figura 2. Uso Eficiente del Agua de tres niveles de Biol y dos variedades de plantas de albahaca (Ocimum basilicum L.) después del período de crecimiento. Granja de Ventilla, La Paz, Bolivia. 2014.

La elaboración del Biol fue en un biodigestor de 30 L de volumen (Restrepo Rivera, 2001).

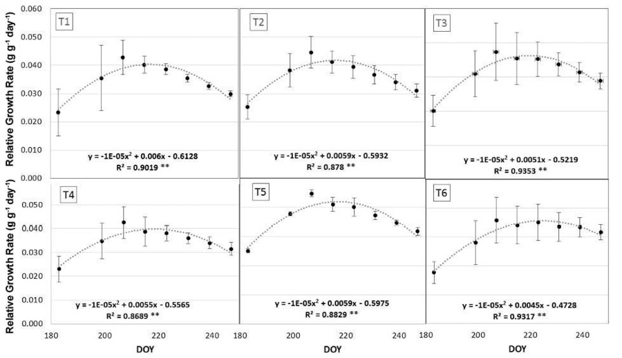
Growth rates

The highest values of the relative growth rate (RGR) observed were on days 24 and 32 after planting, with values for ILL 5 % Biol 0.044 g g-1 day-1 and the same variety with 0 % Biol 0.046 g g-1 day-1. The response that showed values higher during growth was the treatment ILL 5 % Biol (p<0.001) (T5) with a cumulative value of 0.292 g g-1 day-1. This was followed by NF Biol 5 % with a cumulative 0.290 g g-1 day-1, revealing a maximum growth rate at 16 and 24 days, a condition in which the plant had an increased demand for water (Figure 3). However, in the treatment of 25 % Biol for both species, its behavior presented more varied values but that was sustained over time more than in the other treatments. In the day 40 after sowing, the RGR dropped to values of 0.025 g g-1 day-1 for ILL with 25 % Biol and 0.030 g g-1 day-1 for NF with 25 % Biol (Figure 3).

Figure 3. Relative growth rate of three levels of Biol and two varieties of basil (Ocimum basilicum L.) plants in all growing period. T1 to T6 refers to Table 1. Ventilla Farm, La Paz, Bolivia. 2014.

Each symbol represents the mean of 9 plants which represents one treatment. *** Significant at p<0.001. The Biol’s elaboration was in a 30 L volume biodigester (Restrepo Rivera, 2001).

Figura 3. Tasa de crecimiento relativo de tres niveles de Biol y dos variedades de plantas de albahaca (Ocimum basilicum L.) en todo el período de crecimiento. T1 a T6 se refiere al Cuadro 1. Granja de Ventilla, La Paz, Bolivia. 2014.

Cada símbolo representa la media de 9 plantas que representa un tratamiento. *** Significativo a p<0,001. La elaboración del Biol fue en un biodigestor de 30 L de volume (Restrepo Rivera, 2001).

The treatment that showed the higher value of specific leaf area was NF with 5 % Biol (T2), with an area of 628 m2 g-1, followed by NF 0 % Biol with an area of 601.3 m2 g-1, however, it is denoted that there were no statistical differences between the treatments (p>0.545) (Figure 4).

Figure 4. Specific leaf area and net assimilation rate of three levels of Biol and two varieties of basil (Ocimum basilicum L.) plants. Ventilla Farm, La Paz, Bolivia. 2014.

Different letters above bars indicate significant differences at p<0.01. The Biol’s elaboration was in a 30 L volume biodigester (Restrepo Rivera, 2001).

Figura 4. Área foliar específica y tasa de asimilación neta de tres niveles de Biol y dos variedades de plantas de albahaca (Ocimum basilicum L.). Granja de Ventilla, La Paz, Bolivia. 2014.

Las letras diferentes al lado de los resultados indican diferencias significativas a p<0,01. La elaboración del Biol fue en un biodigestor de 30 L de volumen (Restrepo Rivera, 2001).

The results showed, that rate of assimilation net higher was for the treatment ILL with 25 % Biol (0.085 g m2 day-1), and the lowest was for NF with 0 % Biol (0.021 g m2 day-1), showing a highly significant difference between these two treatments (p<0.001), the differences were influenced by varieties but not by the doses (Figure 5).

Figure 5. Relationship between (a) net assimilation rate (NAR) and water use efficiency (WUE) for basil (Ocimum basilicum L.) plants. Relationship between (b) net assimilation rate and specific leaf area (SLA) for basil plants. Ventilla Farm, La Paz, Bolivia. 2014.

The symbol shows treatments with Nufar F1 (NF), and symbols show treatments with Italian Large Leaf (ILL). * Not significant at p<0.001. The Biol’s elaboration was in a 30 L volume biodigester (Restrepo Rivera, 2001).

Figura 5. (a) Relación entre la tasa de asimilación neta (NAR) y el uso eficiente del agua (WUE) para plantas de albahaca (Ocimum basilicum L.). (b) Relación entre la tasa de asimilación neta y el área foliar específica (SLA) en plantas de albahaca. Granja de Ventilla, La Paz, Bolivia. 2014.

El símbolo muestra tratamientos con Nufar F1 (NF), y el símbolo muestra tratamiento con Italian Large Leaf (ILL). * No significativo a p<0,001. La elaboración del Biol fue en un biodigestor de 30 L de volumen (Restrepo Rivera, 2001).

There was an inversely proportional and negative relationship between the NAR and WUE, and between NAR and SLA. For both relationships, the higher slope observed was for the ILL variety in comparison to NF which was more stable (Figure 4).

The NAR and WUE relationship in the ILL variety has higher WUE and SLA than NF variety. The ILL variety shows lower WUE and SLA than the NF variety.

In addition, it is observed that NAR decreases in ILL more than in NF as long as it decreases the proportion of Biol in the treatment. The NAR was high in ILL with 25 % of Biol, and low with 5 % of Biol, but much lower in NF for both cases (one can see the same behavior in Figure 3b).

Discussion

There were no significant differences between Nufar F1 (NF) and Italian Large Leaf (ILL), primarily for the number of leaves and plant height; however, the ILL variety had a better response in the days to flowering (with 25 % of Biol) and the NF variety had a better response at the final weight (with 5 % of Biol). The plant growth results are similar to those mentioned by Colorado et al. (2013) referring with the agronomic management regularity, where the basil reached a plant heights between 35.5 and 37.5 cm (in the present research an average of 30.5 cm for NF and 26.9 cm for ILL were found). In the same period as in this research, an average of 45 leaves per plant was found for Ramírez-Quimbayo et al. (2001), while in this research an average of 40 leaves for NF and 34 leaves for ILL was found.

Other authors observed in experiments with Ocimum basilicum L. that there were no differences in its growth parameters between most of the treatments with foliar fertilizers imposed against the control: Kwiatkowski and Juszczak (2011) for plant height, Alhasan et al. (2021) for the number of leaves per plant, Alhasan et al. (2020) in stem diameter, and Al-mansour et al. (2017) on the weight of the plant.

Although responses for applying Biol on the development of growth of basil in the present research have coincidences with other findings in similar ecosystems, low response interaction between the variety factor and the dose factor is assumed has due to the construction characteristics of the Walipini. High temperatures inside of Walipini-type greenhouse (up to 25.1 °C within 17 °C against the outside on average), could have an effect on plant development (Figure 1); thus, the height of plants was reduced for treatments with 25 % Biol and showing the same heights all period in treatment with 5 % Biol but only for the ILL variety. These results coincide with Yépez-Hernández et al. (2016), who found that the application of nitrogen above the required doses and extreme external conditions for plant growth, such as high temperature and the water deficit, could affect negatively the plant growth development.

For final weights and stem diameter of basil, which treatments were not statistically different, low yields were found in the application of Biol, which shows no interaction between the levels of Biol, similar responses were found by Matsumoto et al. (2013). In this respect, the nitrogen content of the Biol used and the plasticity of the variety ILL, may have influenced the similarity of responses of the studied parameters. Bioles of similar characteristics, 0.0196 % Biol of bovine ruminal origin (Peñafiel & Ticona, 2015), 0.05 % Biol and 0.09 % manure Biol with 45 days of decomposition (Cabos Sánchez et al., 2019) have shown similar behaviors.

The water use efficiency (WUE) was affected by both the type of variety and the dose of Biol. So, it is assumed that this response has been given by the best assimilation in both varieties with 5 % Biol. It seems that this level gives the highest nitrogen availability to this plant (4.27 kg m-3 in NF and 4.34 kg m-3 for ILL). Although this value is similar to those reported by Goldani et al. (2021), Howell (2001), and Borivoj et al. (2017) on a dry basis, the highest value of this parameter was for ILL with 5 % of Biol (5.54 kg m-3), followed by 5.44 NF with 0 % of Biol (5.44 kg m-3), and of NF with 5 % of Biol (5.08 kg m-3), which indicate that both varieties respond differently to the use of water. Since the dose of 0 % and 25 % of Biol has a lower WUE in 36 % in the ILL variety compared to NF. Agreeing with Goldani et al. (2021) who obtained lower values in control treatments (6.25, 4.46, 5.36 kg m-3). Furthermore, it is known that the N is essential for cell division and thus, for plant growth. The application of a greater volume of Biol was not reflected in the WUE. According to Ferreira et al. (2015), they do not recommend the use of high doses of N when making a single cut of basil plants.

Whereas plant growth is a function of environmental parameters, the effect there of is cumulative. It is expected that the plant develops best in optimal conditions of temperatures (Walters & Currey, 2019), with optimal light concentrations (Solis-Toapanta & Gomez, 2019), with optimal water consumption and nutrient availability (Solis-Toapanta et al., 2020). When the system becomes stressed, whether, because of high temperatures or depleted soils, with low contents of organic matter, and therefore, low water storage capacity, the RGR values are low. The decrease in RGR values is normal in the last phases of the plant when successive cuts have been made. The RGR of the present research has varied from 0.027 to 0.022 g g-1 day-1 similar to those found by Ferreira dos Santos et al. (2019), in whose research they found that RGR decreased as basil was exposed to a greater number of stressors. Likewise, Walters and Currey (2019) found that basil exposed to temperatures higher than 28 °C lowered its RGR, concluding that this plant is sensitive to low and high temperatures. Also the basil responded negatively to high radiation exposures and high temperatures, as well as for periods in which the plant was subjected to stress such as the harvest period (RGR of 0.074 to 0.02 g g-1 day-1) (Vasquez et al., 2013).

The specific leaf area (SLA) found in the plants was not significantly different for all the treatments. Although the SLA coincides with those found by Ferreira et al. (2019) with areas between 450 to 1000 m2 g-1. When plants are exposed to high light intensities (i.e. 1300 w m-2), these grow very slowly and therefore affecting the SLA (Caliskan et al., 2009) (as also found by Andressen et al., 2007).

The net assimilation rate (NARs) have been higher for ILL than for NF. As this index is related to the SLA; however, apparently, the higher specific surface does not seem to indicate a higher WUE. Many authors mention that the whole WUE is defined by the balance between the total production of biomass of the plant and the total water consumption. The water transpired, therefore, depends on the structure and growth of aerial parts (leaf angle related to the incoming irradiance and shoot position). This structure determines the interception of light by the plant or the energy charge by transpiration (Escalona et al., 2003) which are essential for the WUE. Furthermore, WUE is dependent on water losses during non-assimilatory periods (cuticular and nocturnal transpiration) (Caird et al., 2007), and also depends on respiration in leaves, stems, and roots throughout the day. And consequently, it is expected that there will not be a direct relationship between NAR and SLA, which is directly related to biomass production (Blum, 2009). Given this type of relationship, for the research results, no significant relationships between WUE and the NAR where be found (Podlaski et al., 2017). Consequently, it is assumed that the soil conditions and the external conditions of the arid zone (Nicotra & Davidson, 2010) have affected this low correlation. Hence, the WUE can be used as an indicator of this plant, showing the potential to adapt in semi-arid regions, zones with less annual rainfall, and low water content in the soil profile; it can be a potential species to adapt to climate change conditions, as also mention by Yan et al. (2015). This behavior of this plant in the Walipini-type greenhouse shows also that biomass accumulation and water loss by transpiration play an important role in crop yield, regardless of the variety, therefore it is necessary to study also the efficiency of water uptake and the structural limitations of stomata on the photosynthesis processes.

Conclusions

The Nufar F1 variety had a better response to the application of two doses of foliar biofertilizer, due to its better response to productivity in Walipini type of greenhouse compared to the Italian Large Leaf variety.

The variety that showed the highest average for all measured variables was Nufar F1, which obtained high values compared to the Italian Large Leaf variety, showing that the varieties behave differently.

The treatment with which the best development of the measured parameters was for the Nufar F1 without Biol (0 % of Biol, only water). Conversely, the variety that achieved a regular development of the measured parameters was for the Italian Large Leaf variety with a dose of 25 % of Biol.

The Nufar F1 variety presented higher WUE concerning the WUE of the Italian Large Leaf, the WUE is similar for both varieties but only at 5 % of the Biol. In doses of 0 % and 25 % in NUFAR F1 it is higher than in Italian Large Leaf.

Through the WUE, SLA, and NAR relationship, it was observed that basil has better development in Walipini- type greenhouse in semi-arid zones since the accumulation of biomass seems not to be affected significantly.

Since a significant relationship was observed between Nufar F1 and Italian large Leaf for biomass weight applying BIOL at two different levels, it is shown that there should not necessarily be a positive and significant relationship between biomass accumulation and WUE, so it is presumed that basil can develops regulary in Walipini-type greenhouse for semiarid region conditions.

References

Acosta-Motos, J. R., Ortuño, M. F., Bernal-Vicente, A., Diaz-Vivancos, P., Sanchez-Blanco, MJ., & Hernandez, J. A. (2017). Plant responses to salt stress: Adaptive mechanisms. Agronomy, 7(1), Article 18. https://doi.org/10.3390/agronomy7010018

Aduana Aguilar, S. (2016). Efecto de la aplicación de un fertilizante orgánico en el rendimiento en dos variedades de hierba de los canónigos (Valerianella locusta l.) bajo ambiente protegido [Tesis de Grado, Universidad Mayor de San Andrés]. Repositorio de la Universidad Mayor de San Andrés. https://bit.ly/3kHgNHZ

Andressen, R., Monasterio, M., & Terceros, L. F. (2007). Regímenes climáticos del altiplano sur de Bolivia: una región afectada por la desertificación. Revista Geográfica Venezolana, 48(1), 11–32. https://www.redalyc.org/articulo.oa?id=347730365002

Anli, M., Baslam, M., Tahiri, A., Raklami, A. Symanczik, S., Boutasknit, A., Ait-El-Mokhtar, M., Ben-Laouane, R., Toubali, S., Ait Rahou, Y., Ait Chitt, M., Oufdou, K., Mitsui, T., Hafidi, M., & Meddich, A. (2020). Biofertilizers as strategies to improve photosynthetic apparatus, growth, and drought stress tolerance in the date palm. Frontiers in Plant Science, 11, Article 516818. https://doi.org/10.3389/fpls.2020.516818

Alhasan, A. S., Abbas, M. K., & Al-Ameri, D. T. (2021). Response of two purple basil (Ocimum basilicum l.) cultivars grown under field conditions to different rates of NPK foliar fertilization. IOP Conference Series: Earth and Environmental Science, 735, Article 012053. https://doi.org/10.1088/1755-1315/735/1/012053

Alhasan, A. S., Abbas, M. K., Al-Ameri, M., Al-Ameri, D. T. (2020). Growth and yield response of basil (Ocimum basilicum L.) to different rates of urea fertilizer under field conditions. IOP Conference Series: Earth and Environmental Science, 553, Article 12044. https://doi.org/10.1088/1755-1315/553/1/012044

Al-mansour, B., Kalaivanan, D., Suryanarayana, M. A., Umesha, K., & Nair, A. K. (2017). Influence of organic and inorganic fertilizers on yield and quality of sweet basil (Ocimum basilicum L.). Journal of Spices and Aromatic Crops, 27(1), 38–44. https://doi.org/10.25081/josac.2018.v27.i1.1013

Asociación de Organizaciones de Productores Ecológicos de Bolivia. (2002). Normas básicas para la agricultura ecológica en Bolivia (5ª ed.). Asociación de Organizaciones de Productores Ecológicos de Bolivia.

Bacarreza, M. (2018). Producción de dos variedades de brócoli (Brassica oleracea var. italica) en tres distancias de plantación en condiciones de Walipini [Tesis de Grado, Universidad Mayor de San Andrés]. Repositorio de la Universidad Mayor de San Andrés. https://bit.ly/3NeMjth

Barroso, L. (2004). Crecimiento, desarrollo y relaciones hídricas en la albahaca blanca (Ocimum basilicum l.) en función del abastecimiento hídrico [Tesis Postdoctoral, no publicada]. Instituto Nacional de Ciencias Agrícolas.

Blum, A. (2009). Effective use of water (EUW) and not water-use efficiency (WUE) is the target of crop yield improvement under drought stress. Field Crop Research, 112(2-3), 119–123. https://doi.org/10.1016/j.fcr.2009.03.009

Borivoj, P., Dušan, A., Livijab, M., & Ksenijaa, M. (2017). Effect of drip irrigation on yield, evapotranspiration and water use efficiency of sweet basil (Ocimum basilicum L.). Ratarstvo i Povrtarstvo, 54(3), 124–129. https://doi.org/10.5937/ratpov54-14808

Cabos Sánchez, J., Bardales Vásquez, C. B., León Torres, C. A., & Gil Ramírez, L. A. (2019). Evaluación de las concentraciones de Nitrógeno, Fósforo y Potasio del biol y biosol obtenidos a partir de estiércol de ganado vacuno en un biodigestor de geomembrana de policloruro de vinilo. Arnaldoa, 26(3), 1165–1176. https://bit.ly/3lsvOOe

Caird, M. A., Richards J. H., & Donovan L. A. (2007). Nighttime stomatal conductance and transpiration in C3 and C4 plants. Plant Physiology 143(1), 4–10. https://doi.org/10.1104/pp.106.092940

Caliskan, O., Odabas, M. S., & Cirak, C. (2009). The modeling of the relation among the temperature and light intensity of growth in Ocimum basilicum L. Journal of Medicinal Plants Research, 3(11), 965–977. https://bit.ly/3N0tJ7N

Calle Ramos, S. G. (2006). Estudio comparativo de dos medios de cultivo, bajo tres densidades de siembra en valerianela (Valerianella locusta), en el municipio de El Alto [Tesis de Grado, Universidad Mayor de San Andrés]. Repositorio de la Universidad Mayor de San Andrés. https://bit.ly/3w88R7T

Chapman, S. C., Chakraborty, S., Dreccer, M. F., & Howden, S. M. (2012). Plant adaptation to climate change opportunities and priorities in breeding. Crop & Pasture Science, 63(3), 251–268. http://doi.org/10.1071/CP11303

Chen, M., Wichmann, B., Luckert, M., Winowiecki, L., Förch, W., & Läderach, P. (2018). Diversification and intensification of agricultural adaptation from global to local scales. PLoS ONE, 13(5), Article e0196392. https://doi.org/10.1371/journal.pone.0196392

Colorado, F., Montañez, I., Bolaños, C., & Rey, J. (2013). Crecimiento y desarrollo de albahaca (Ocimum basilicum L.) bajo cubierta en la sabana de Bogotá. Revista Universidad de Ciencias Aplicadas y Ambientales Actualidad & Divulgación Científica 16(1), 121–129. https://bit.ly/3D0R5G2

Daza Torrez, M. C. (2018). Estrategias para la optimización de la fertilización nitrogenada y reducción de la lixiviación de nitratos en sistemas productivos de plantas aromáticas [Tesis Postdoctoral, Universidad del Valle]. Repositorio de la Universidad del Valle. https://bit.ly/3LSi6zH

Daza-Torres, M. C., Arias-Prado, P. C., Reyes-Trujillo, A., & Urrutia-Cobo, N. (2017). Basil (Ocimum basilicum L.) water needs calculated from the crop coefficient. Ingeniería e Investigación, 37(3), 8–16. http://doi.org/10.15446/ing.investig.v37n3.65058

Escalona, J. M., Flexas, J., Bota, J., & Medrano, H. (2003). Distribution of leaf photosynthesis and transpiration within grapevine canopies under different drought conditions. Vitis, 42(2), 57–64. https://doi.org/10.5073/vitis.2003.42.57-64

Federer, W. T. (1983). Experimental design: theory and application. Oxford & IBH Publishing Co. https://cutt.ly/UR5CD5O

Ferreira, S. D., De Morais Echer, M., Guilherme Bulegon, L., Pastório, M. A., Egewarth, V. A., Massahiro Yassue, R., & Achre, D. (2015). Influência da adubação nitrogenada e época de cultivo sobre o rendimento de folhas de manjericão (Ocimum basilicum var. verde Toscana) para fins medicinais. Revista Cubana de Plantas Medicinales, 20(4), 389–396. https://cutt.ly/vR5CJzw

Ferreira dos Santos, J., Coelho Filho, M. A., Lopes Cruz, J., Soares, T. M., & Lopes Cruz, A. M. (2019). Growth, water consumption and basil production in the hydroponic system under salinity. Revista Ceres, Viçosa, 66(1), 45–53. https://doi.org/10.1590/0034-737X201966010007

Flórez, J. (2009). Agricultura ecológica. Mundi-Prensa Ediciones.

Ginandjar, S., Frasetya, B., Nugraha, W., & Subandi, M. (2019). The effect of liquid organic fertilizer of vegetable waste and planting media on growth and yield of strawberry (Fragaria spp.) Earlibrite cultivar. IOP Conference Series: Earth and Environmental Science, 334, Article 12033. https://doi.org/10.1088/1755-1315/334/1/012033

Goldani, M., Bannayan, M., & Yaghoubi, F. (2021). Crop water productivity and yield response of two greenhouse basil (Ocimum basilicum L.) cultivars to deficit irrigation. Water Supply, 21(7), 3735–3751. https://doi.org/10.2166/ws.2021.134

Gonzalez, A. M. (2018). Image J: una herramienta indispensable para medir el mundo biológico. En P. Demaio (Ed.), Folium Relatos botánicos (pp. 6–17). Sociedad Argentina de Botánica. https://bit.ly/3FSRfAa

Howell, T. A. (2001). Enhancing water use efficiency in irrigated agriculture. Agronomy Journal, 93(2), 281–289. https://doi.org/10.2134/agronj2001.932281x

Koller, M., Rayns, F., Cubison, S., & Schmutz, U. (Eds.). (2016). Guidelines for experimental practice in organic greenhouse horticulture. BioGreenhouse COST Action FA 1105. https://orgprints.org/id/eprint/30599/1/2016-BioGreenhouse_Research.pdf

Kwiatkowski, C. A., & Juszczak, J. (2011). The response of sweet basil (Ocimum basilicum L.) to the application of growth stimulators and forecrops. Acta Agrobotanica, 64(2), 69–76. https://doi.org/10.5586/aa.2011.019

Lee, J., Koo, N., & Min, D. B. (2005). Reactive oxygen species, aging, and antioxidative nutraceuticals. Comprehensive Reviews in Food Science and Food Safety, 3(1), 21–33. https://doi.org/10.1111/j.1541-4337.2004.tb00058.x

Lelieveld, J., Klingmüller, K., Pozzer, A., Burnett, R.T., Haines, A., & Ramanathan, V. (2019). Effects of fossil fuel and total anthropogenic emission removal on public health and climate. Proceedings of the National Academy of Sciences, 116(15), 7192–7197. https://doi.org/10.1073/pnas.1819989116

Luque Quispe, M. R. (2004). Evaluation of drip and microasperation irrigation methods in spinach (Spinaca oleracea) and Swiss lettuce (Valerianella locusta) in Walipinis [Bachelor’s thesis, Brigham Young University]. Theses and Dissertations library. https://bit.ly/3MU4JPs

Mamani, E. (2006). Efecto de la aplicación de abonos en el cultivo de lechuga suiza en Walipini en la Localidad de Ventilla. Universidad Mayor de San Andrés, Facultad de Agronomía [Tesis de Grado, Universidad Mayor de San Andrés]. Repositorio de la Universidad Mayor de San Andrés. https://repositorio.umsa.bo/handle/123456789/12114

Malusà, E., Pinzari, F., & Canfora, L. (2016). Efficacy of biofertilizers: Challenges to improve crop production. In D. Singh, H. Singh, & R. Prabha (Eds.), Microbial inoculants in sustainable agricultural productivity. Springer, New Delhi. https://doi.org/10.1007/978-81-322-2644-4_2

Matsumoto, S. N., Araujo, G. da S., & Viana, A. E. S. (2013). Growth of sweet basil depending on nitrogen and potassium doses. Horticultura Brasileira, 31(3), 489–493. https://doi.org/10.1590/S0102-05362013000300024

Meemken, E. -M., & Qaim, M. (2018). Organic agriculture, food security, and the environment. Annual Review of Resource Economics, 10, 39–63. https://doi.org/10.1146/annurev-resource-100517-023252

Montano Saavedra, A., Aruquipa Saravia, M. B., & Limachi Ochoa, C. (2020). Análisis de la eficiencia en la producción de energía eléctrica para la central solar fotovoltaica de 50 Kw conectada a la red, en el campus universitario de Cota Cota, ubicada en la ciudad de La Paz, Bolivia. Revista de Energía de Latinoamérica y el Caribe, IV(2), 28–38. https://bit.ly/395fe48

Montes de Oca, I. (1997). Geografía y recursos naturales de Bolivia. Impresión EDOBOL.

Nicotra, A. B., & Davidson, A. (2010). Adaptive phenotypic plasticity and plant water use. Functional Plant Biology, 37(2), 117–127. https://doi.org/10.1071/FP09139

Pérez Mercado, R. (2012). Guía para la construcción de Wallipines. Food and Agriculture Organization. https://www.fao.org/3/as951s/as951s.pdf

Peñafiel, W., & Ticona, D. (2015). Elementos nutricionales en la producción de fertilizante biol con diferentes tipos de insumos y cantidades de contenido ruminal de bovino - matadero municipal de La Paz. Revista de Investigación e Innovación Agropecuaria y de Recursos Naturales, 2(1), 87-90.

Podlaski, S., Pietkiewicz, S., Chołuj, D., Horaczek, T., Wiśniewski, G., Gozdowski, D., & Kalaji, H. M. (2017). The relationship between the soil water storage and water-use efficiency of seven energy crops. Photosynthetica, 55(2), 210–218. https://doi.org/10.1007/s11099-017-0697-0

Pushpangadan, P., & George, V. (2012). Basil. In K.V. Peter (Ed.), Handbook of herbs and spices (Vol. 1; pp 55–72). Woodhead publishing. https://doi.org/10.1533/9780857095671.55

Ramírez-Quimbayo, C. -J., Moreno-Berrocal, A. -M., Murillo-Perea, E. (2001). Evaluación agronómica e industrial de siete variedades de albahaca en la zona cafetera colombiana. Cenicafé, 52(2), 117–126. https://bit.ly/3G2dzbS

Restrepo Rivera, J. (2001). Elaboración de abonos orgánicos fermentados y biofertilizantes foliares: Biopreparados, biofertilizantes y biofermentados basados en estiércol. Instituto Interamericano de Cooperación para la Agricultura. https://bit.ly/3LRz69l

Singh, B., Upadhyay, A. K., Al-Tawaha, T. W., Al-Tawaha, A. R., & Sirajuddin, S. N. (2020). Biofertilizer as a tool for soil fertility management in changing climate. IOP Conference Series: Earth and Environmental Science, 492, Article 12158. https://doi.org/10.1088/1755-1315/492/1/012158

Solis-Toapanta, E., Fisher, P., & Gómez, C. (2020). Growth rate and nutrient uptake of basil in small-scale hydroponics. HortScience, 55(4), 507–514. https://doi.org/10.21273/HORTSCI14727-19

Solis-Toapanta, E., & Gomez, C. (2019). Growth and photosynthetic capacity of basil grown for indoor gardening under constant or increasing daily light integrals. HortTechnology, 29(6), 880–888. https://doi.org/10.21273/HORTTECH04442-19

Tesén Gallardo, V. H. (2021). Rendimiento y calidad de dos cultivares de broccoli (Brassica oleracea var. italica plenck.) bajo tres densidades de siembra [Tesis de Grado, Universidad Nacional Agraria La Molina]. Repositorio de la Universidad Nacional Agraria La Molina. https://bit.ly/3vKqDz7

Torrez, R., Burgoa, A., & Ricaldi, E. (2013). Modelos de estimación de la radiación solar para el altiplano central de Bolivia. Revista Boliviana de Física, 23, 1–7. https://bit.ly/38zVRjQ

Urrutia Cobo, N. (2016). Informe final del proyecto Manejo integrado del riego y la fertilización nitrogenada en sistemas productivos de plantas aromáticas para evitar la lixiviación de nitratos. Universidad del Valle. https://bit.ly/3sfnEfV

Vasquez, A., Sanchez, E., van Baren, C., & Frezza, D. (2013). Agronomic performance and essential oil composition of Ocimum basilicum L.: Effect of genotype and date of harvest. Advances in Horticultural Science, 27(4), 166–172. https://doi.org/10.1400/230246

Viceministerio de Electricidad y Energías Alternativas. (2021). Estudio complementario de impacto de la radiación UV en paneles solares (datos UV de un año) y otros componentes expuestos en condiciones del altiplano boliviano. Ministerio de Hidrocarburos y Energías. https://bit.ly/3M1yrSL

Walters, K. J., & Currey, C. J. (2019). Growth and development of basil species in response to temperature. HortScience, 54(11), 1915–1920. https://doi.org/10.21273/HORTSCI12976-18

Wuebbles, D. J., & Jain, A. K. (2001). Concerns about climate change and the role of fossil fuel use. Fuel Processing Technology, 71(1–3), 99–119. https://doi.org/10.1016/S0378-3820(01)00139-4

Yan, J., Zhu, C., Liu, W., Luo, F., Mi, J., Ren, Y., Jianqiang, L. & Sang, T. (2015). High photosynthetic rate and water use efficiency of Miscanthus lutarioriparius characterize an energy crop in the semiarid temperate region. Bioenergy, 7(2), 207–218. https://doi.org/10.1111/gcbb.12118

Yépez-Hernández, F., Ferrera-Cerrato, R., Alarcón, A., Delgadillo-Martínez, J., Mendoza-López, M., & García-Barradas, O. (2016). Fertilización nitrogenada en el crecimiento, contenido de compuestos fenólicos y actividad antioxidante de albahaca. Revista Fitotecnia Mexicana, 39(1), 33–40. https://bit.ly/3adt98P

Zeng, X., & Li, J. (2021). Emerging anthropogenic circularity science: Principles, practices, and challenges. iScience, 24(3), Article 102237. https://doi.org/10.1016/j.isci.2021.102237

Zhong, L., Wang, J., Zhang, X., & Ying, L. (2020). Effects of agricultural land consolidation on ecosystem services: Trade-offs and synergies. Journal of Cleaner Production, 264, Article 121412. https://doi.org/10.1016/j.jclepro.2020.121412

Licencia de Creative Commons
Esta obra está bajo una licencia de Creative Commons Reconocimiento-NoComercial-SinObraDerivada 4.0 Internacional.
Puede hallar permisos más allá de los concedidos con esta licencia en pccmca@gmail.com