Agronomía Mesoamericana

Artículo científico

Volumen 33(Especial): Artículo 50954, 2022

e-ISSN 2215-3608, doi:10.15517/am.v33iEspecial.50954

https://revistas.ucr.ac.cr/index.php/agromeso/index

Optimización del “Germinator” como complemento de análisis de calidad germinativa de semillas de arroz (Oryza sativa L.)1

Optimization of the “Germinator” as a complement for the analysis of seed germination quality in rice (Oryza sativa L.)

Andrés Hernández-Pridybailo2,3, Ester Vargas-Ramírez2, Dessireé Zerpa-Catanho4, Marialicia Vega-López2, Adonay Zúñiga-Centeno2, Luis Barboza-Barquero2

1 Recepción: 9 de mayo, 2022. Aceptación: 20 de julio, 2022. Este trabajo formó parte del proyecto de investigación B4-229 “I-TSKÌR: prototipo de alto rendimiento para cuantificar germinación de semillas” de la Vicerrectoría de Investigación de la Universidad de Costa Rica.

2 Universidad de Costa Rica, Centro para Investigaciones en Granos y Semillas, San Pedro, Montes de Oca, San José, Costa Rica. andres.hernandezpridybailo@ucr.ac.cr (https://orcid.org/0000-0001-7703-8953), ester.vargas15@ucr.ac.cr (https://orcid.org/0000-0002-7651-1961), marialicia.vega@ucr.ac.cr (https://orcid.org/0000-0003-3507-9516), adonayzc@gmail.com (https://orcid.org/0000-0003-1136-1007), luisorlando.barboza@ucr.ac.cr (autor para la correspondencia; https://orcid.org/0000-0002-4140-6598).

3 Universidad de Hohenheim, Departamento de Fisiología de la Nutrición de los Cultivos, Stuttgart, Alemania.

4 Universidad de Illinois Urbana-Champaign, Instituto de Sostenibilidad, Energía y Medio Ambiente. Urbana, Illinois, Estados Unidos de América. dpz2@illinois.edu (https://orcid.org/0000-0002-8733-5043).

Resumen

Introducción. El uso de análisis de imágenes digitales con el “Germinator” permite evaluar la germinación de las semillas de forma automática. Además de la germinación máxima, se pueden cuantificar otros parámetros asociados al vigor de forma simultánea. Objetivo. Optimizar el “Germinator” como complemento de análisis automático de calidad germinativa de semillas de arroz. Materiales y métodos. Los experimentos se realizaron en el Centro para Investigaciones en Granos y Semillas (CIGRAS) durante el 2015 al 2018. Se optimizó el paquete de software denominado “Germinator” en la variedad Palmar 18 y después se probó con un panel de 126 muestras de semillas de arroz compuesta por catorce variedades. Se cuantificaron curvas de germinación, los datos obtenidos de forma automática se compararon con conteos manuales de protrusión radicular y con una metodología estandarizada. Además, se realizaron experimentos de envejecimiento acelerado y envejecimiento controlado para mostrar la sensibilidad del método automatizado. Resultados. La relación entre la germinación obtenida de forma automática y la cuantificada de forma manual fue alta (R2= 0,99). La germinación máxima, cuantificada por medio del análisis de imágenes varió de 69 % a 100 % en el panel de 126 muestras. La correlación entre la germinación evaluada mediante imágenes digitales y el método estándar fue de rho (spearman)= 0,34. El “Germinator” permitió cuantificar de forma simultánea otras variables asociadas con el vigor de las semillas, como el parámetro t50, que es el tiempo que la muestra de semillas toma para alcanzar el 50 % de la germinación. Además, el método automático reveló el efecto diferenciado de dos protocolos de envejecimiento. Conclusiones. El uso de análisis de imágenes en arroz permitió evaluar la germinación de forma automática basado en la protrusión radicular y también posibilitó cuantificar otras variables complementarias asociadas al vigor de la semilla (t50).

Palabras clave: calidad de semillas, vigor, fenotipado, envejecimiento acelerado, envejecimiento controlado.

Abstract

Introduction. The use of digital image analysis with the “Germinator” allows the automatic evaluation of seed germination. In addition to maximum germination, other parameters associated with seed germination vigor can be quantified simultaneously. Objective. To optimize the “Germinator” as a complement for the automatic analysis of seed germination quality in rice. Materials and methods. The experiments were conducted at the Centro para Investigaciones en Granos y Semillas (CIGRAS) from 2015 to 2018. The “Germinator” software package was optimized on the Palmar 18 variety, and then tested with a panel of 126 rice seed samples comprising fourteen varieties. The germination curves were quantified, the automatically acquired data were compared with manual counting based on radical protrusion and a standardized method. Besides, accelerated aging and controlled aging experiments were conducted to show the sensibility of the automatic method. Results. The relationship between germination quantified automatically and quantified manually was high (R2= 0.99). Maximum germination, quantified by image analysis, ranged from 69 % to 100 % in the panel of 126 samples. The correlation between germination assessed by digital images and the standard method was rho (spearman)= 0.34. The “Germinator” allowed the simultaneous quantification of other variables associated with seed vigor, such as the t50 parameter, which is the time the seed lot takes to reach 50 % of the germination. In addition, the automatic method revealed the differential effect of two seed aging protocols. Conclusions. The use of digital image analysis made it possible to evaluate automatically seed germination based on radicle protrusion and also made it possible to quantify other complementary variables associated with seed vigor (t50).

Keywords: seed quality, vigor, phenotyping, accelerated aging, controlled aging.

Introducción

El arroz es un grano de gran importancia alimentaria en la región mesoamericana; sin embargo, en el caso específico de Costa Rica, la producción local de semilla ha presentado una tendencia a la disminución en los últimos quince años (Oficina Nacional de Semillas, 2019). En conjunto con una crisis en la producción del grano, un detrimento en la producción local de semilla de arroz podría poner en riesgo la soberanía alimentaria del país. La adopción de tecnologías que mejoren la eficiencia de los sistemas de producción de semillas y faciliten el desarrollo de nuevas variedades, podría contribuir a reactivar este sector.

El análisis del desempeño de un determinado lote de semillas es una labor que requiere una cantidad alta de tiempo y recursos. Además, en el ámbito oficial existe una dependencia de personal entrenado para la descripción de la calidad germinativa de semillas, lo cual puede influir en el resultado del análisis. Si bien, existen normas internacionales que contribuyen a la objetividad, verificabilidad y replicabilidad metodológica de pruebas de calidad (por ejemplo, International Seed Testing Association [ISTA], 2022), existe una creciente necesidad de desarrollar o adaptar metodologías que puedan aumentar la eficiencia de ejecución de los análisis de germinación.

La descripción fisiológica de semillas y plántulas es una herramienta científica que tiene el potencial de apoyar programas de mejoramiento genético de arroz. El vigor de germinación es una característica que determina la homogeneidad y el éxito del establecimiento de plántulas en el campo y, por lo tanto, tiene una influencia sobre el rendimiento del cultivo (Sun et al., 2007). Sin embargo, la evaluación del vigor de semillas a partir de una inspección visual, al igual que con los métodos oficiales, presenta una baja eficiencia en cuanto al uso de recursos para el procesamiento de muestras. Por lo tanto, se han desarrollado tecnologías para evaluar plantas por medio del análisis de imágenes digitales con el fin de automatizar los procesos de evaluación (Watt et al., 2020).

Una de las ventajas de utilizar imágenes digitales es que al automatizar el análisis (Lurstwut & Pornpanomchai, 2017), la evaluación de las imágenes podría ser más rápida cuando se trabaja con un número significativo de muestras (Severini et al., 2011). Además, la sensibilidad de estas técnicas digitales les confiere un alto potencial en el estudio de la germinación de semillas, ya que se obtienen datos confiables y reproducibles (Dell’ Aquila, 2004). También, la automatización permite evaluar poblaciones más grandes (por ejemplo, de más de 100 muestras), lo cual es muy común hoy en día, por ejemplo, para realizar mapeo por asociación y así identificar loci o incluso genes que controlan una característica en particular.

Algunas de las técnicas que se utilizan requieren de una inversión inicial alta. Existen técnicas basadas en imágenes multiespectrales (Olesen et al., 2014), de rayos X (Kim et al., 2017), tomografías de coherencia óptica (Wijesinghe et al., 2017), imágenes térmicas, de fluorescencia y de resonancia magnética (ElMasry et al., 2020). Sin embargo, el desarrollo de algoritmos de acceso libre que permitan el análisis de imágenes RGB, como las generadas con una cámara fotográfica digital o escáner de uso común, abre la posibilidad de adaptar tecnologías de bajo costo para su uso en la región mesoamericana.

El análisis de imágenes RGB para la captura semi- o automatizada de caracteres morfológicos, ya ha sido evaluada en arroz. El programa “SmartGrain” fue desarrollado por Tanabata et al. (2012) para cuantificar longitud, ancho, circularidad, área proyectada, perímetro y otras variables morfométricas asociadas, que permiten la caracterización y diferenciación de variedades de arroz. “P-TRAP” (AL-Tam et al., 2013) es capaz de reconocer las semillas en una fotografía de una panícula, cuantificarlas y determinar distintos parámetros de forma y tamaño. Además, otros programas como “CellProfiler” (Carpenter et al., 2006), e “ImageJ” (Schindelin et al., 2012; Severini et al., 2011), si bien no fueron desarrollados en primera instancia para semillas de arroz, fueron evaluados para su uso en este cultivo por Mussadiq et al. (2015). Por lo tanto, es posible usar herramientas existentes y adaptarlas al cultivo de arroz.

En años anteriores, la evaluación de la germinación se realizaba mediante la aplicación de técnicas manuales (Mussadiq et al., 2015). El uso de las imágenes digitales para evaluar germinación en arroz ha favorecido la estandarización del proceso, ya que a través de una fotografía se pueden detectar semillas germinadas y no germinadas (Watt et al., 2020). Además, con este tipo de metodologías, es posible recolectar un banco de imágenes (Gehan et al., 2017) y caracterizar las variedades de arroz según las características de la semilla, para de este modo potenciar procesos de mejoramiento genético en este cultivo (Nguyen & Norton, 2020).

Se han desarrollado programas informáticos que permiten la cuantificación automatizada de semillas germinadas en series de fotografías de lotes en imbibición. Por lo general, las diferencias en color y forma permiten a los algoritmos distinguir las semillas con protrusión radicular. En semillas de arroz, Lurstwut y Pornpanomchai (2017) desarrollaron un método basado en reconocimiento de patrones de textura, color y forma por medio de inteligencia artificial a partir de redes neurales. Sin embargo, al igual que con la determinación de caracteres morfométricos, otros paquetes poseen el potencial de ser o ya fueron adaptados para semillas de arroz. El “SeedGerm” (Colmer et al., 2020) es una plataforma para evaluar características morfológicas (área, perímetro, proporción de la longitud mayor y longitud menor, entre otras) y la germinación a través de la detección de la rotación de la semilla, cambio en el área, longitud de la radícula, por medio de reconocimiento de patrones con redes neuronales.

El “Germinator” (Joosen et al., 2010), es un paquete de software que cuantifica la germinación mediante imágenes digitales, por medio de la detección de diferencias del contraste de colores entre la radícula y la cubierta de la semilla. Dicho paquete también proporciona un diseño experimental aleatorio y construye curvas de germinación e interpola parámetros como la germinación máxima (Gmax), el tiempo para alcanzar el 50 % de germinación (t50) como medida de la velocidad de germinación y el intervalo de tiempo entre 16 % y 84 % de germinación (u otro rango de germinación que indique el usuario) como estimación de la uniformidad (U8416). Una de las ventajas de este software, es que permite definir parámetros para la germinación, la cual si se hace de forma manual puede variar según la persona evaluadora. El uso del “Germinator” se ha evaluado en las semillas de Arabidopsis thaliana (Joosen et al., 2010; Vidigal et al., 2016), Brassica spp. (Joosen et al., 2010), Hylocereus spp. (Zerpa-Catanho et al., 2019), X Triticosecale Wittmack (Alvarez et al., 2019) y Baccharis spp. (Moreno-Pizani et al., 2019). En arroz, se ha utilizado el “Germinator” para calcular curvas de germinación (Onwimol et al., 2016), sin embargo, el conteo de semillas germinadas se realizó de forma manual, no de forma automatizada. Por lo tanto, el objetivo de este trabajo fue optimizar el “Germinator” como complemento de análisis automático de calidad germinativa de semillas de arroz.

Materiales y métodos

Material vegetal

Los ensayos se desarrollaron en el Centro para Investigaciones en Granos y Semillas (CIGRAS) de la Universidad de Costa Rica (San José, Costa Rica), durante el periodo 2015-2018. Para la optimización de los parámetros de segmentación de las imágenes digitales, en la determinación de la correlación entre la cuantificación de la germinación manual y la metodología de detección automática de germinación con el software “Germinator” (Joosen et al., 2010), y los ensayos de envejecimiento, se utilizaron semillas de arroz (Oryza sativa L.) de la variedad Palmar 18. La validación del uso del paquete de software “Germinator” para cuantificar la germinación, se realizó con semillas de las variedades de uso comercial Palmar 18, Lazarroz FL, Nayudel FL, Garabito FL 163, Nayuribe FL, Sierpe 250, Cuenca FL, Sibú FL, Lagunas CL, CFX-18, CR 5272, INTA CR-1508, GURI INTA y PUITA INTA, durante los años 2016–2018. Estas son variedades registradas, tanto vigentes como retiradas, por lo que las características varietales de cada una se detallan en el Registro de Variedades Comerciales de arroz (Oficina Nacional de Semillas, 2020).

Las semillas utilizadas en todos los ensayos fueron suministradas por el Laboratorio Oficial de Análisis de Calidad de Semillas del CIGRAS y producidas bajo un sistema comercial de producción de semillas.

Optimización de la obtención de curvas de germinación por medio de imágenes digitales

La determinación de la germinación (tanto estandarizada como de forma automática) se realizó con cuatro repeticiones por muestra, el número de muestras analizado varió según el ensayo. Cada repetición tuvo cien semillas. Para la determinación automatizada se colocaron las semillas en una caja plástica (37 × 27 × 9 cm), con una doble capa de papel azul de germinación que abarcó un área de 30,8 × 23 cm dentro de la caja, la cual se humedeció con 150 mL de agua destilada. Se ajustaron los papeles en el centro de la bandeja (con la misma distancia entre los márgenes y los bordes). Las semillas se colocaron sobre el papel de germinación en diez filas de diez semillas y se dejó como mínimo 2-3 cm de margen respecto al borde del papel. Durante el periodo de cuantificación de la germinación, las cajas de plástico con las semillas se incubaron en una cámara de germinación a una temperatura de 30 ± 2 ºC, iluminación difusa (lámparas fluorescentes), con intervalos de encendido-apagado cada 12 h y una humedad relativa de 98 %.

Para la optimización del “Germinator” para cuantificar de forma automática la germinación en arroz, se tomaron fotografías (Figura 1a-b) con una cámara digital durante 96 horas en periodos de 0, 24, 48, 72 y 96 h. La cámara fotográfica se posicionó dentro de una estructura con luz similar a la descrita por Joosen et al. (2010), con ligeras modificaciones. Primero, se construyeron dos paneles que se colocaron uno al lado del otro, cada uno con tres tubos fluorescentes de luz blanca (30 cm de largo, 8 vatios), colocados de forma vertical detrás de una lámina de acrílico blanco de 3 mm de grosor, para producir una intensidad lumínica de 615 lux en medio de los paneles, donde se colocaron las semillas para ser fotografiadas. Luego, se instaló una cámara digital de modo que permitió la toma de imágenes con vista superior de los lotes de semillas colocados en medio de los paneles de luz. La cámara se ajustó con una velocidad de obturador de 1/6 s, un factor de exposición de F/8 y un coeficiente ISO de 100. La cámara se controló por medio del software Camera Control Pro 2 (versión 2.16.0).

Figura 1. Uso de análisis de imágenes digitales para cuantificar la germinación en semillas de arroz. (a) Muestra de arroz (Oryza sativa L.) con cincuenta semillas cv. Palmar 18, (b) muestra de arroz con una semilla donde se observa la protrusión radicular (arriba) y otra sin germinar (abajo), (c) imagen analizada donde se escogió un umbral (YUV-) para seleccionar las cubiertas de las semillas e (d) imagen analizada donde se utilizó un umbral (YUV+) para seleccionar las cubiertas y la radícula. Centro para Investigaciones en Granos y Semillas (CIGRAS), Costa Rica, 2015.

Figure 1. Use of digital image analysis to assess rice seed germination. (a) Sample with fifty seeds of rice (Oryza sativa L.) ‘Palmar 18’, (b) sample with a seed with radicle protrusion (up) and a seed without germination (down), (c) analyzed image using a threshold (YUV-) to select the seed coats, and (d) analyzed image using a threshold (YUV+) to select the seed coats and the radicle. Centro para Investigaciones en Granos y Semillas (CIGRAS), Costa Rica, 2015.

Las imágenes se procesaron mediante el software “ImageJ” (Schindelin et al., 2012). Primero se cortaron las fotografías de manera que se enmarcó el área en donde se encontraban las semillas, se excluyeron bordes del papel azul y de la bandeja de germinación y se optimizaron los parámetros de encuadre y segmentación, para definir los umbrales límites requeridos para lograr una separación de los diferentes objetos de la imagen. Para ello, se ajustó el contraste de la imagen a 0,2 % de saturación, luego se realizó una segmentación de color con base en el espacio de color YUV entre 0-255 y se analizó cada imagen dos veces. En el primer análisis, la imagen se modificó con valores 70-255, 0-160 y 130-255, para contabilizar las semillas al excluir los píxeles en color blanco (YUV-, Figura 1c); mientras que para el segundo análisis, se utilizaron los valores 90-255, 0-160 y 80-255, para incluir los píxeles en color blanco (por ejemplo, la radícula) (YUV+, Figura 1d).

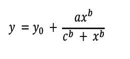
La germinación se analizó mediante el paquete de software “Germinator” (Joosen et al., 2010). Los datos obtenidos de “ImageJ” se importaron a una hoja de cálculo llamada “Germinator_Table 2.01” (incluida en el paquete) y se calculó la germinación a las 0, 24, 48, 72 y 96 horas, la germinación máxima (Gmax), el intervalo de tiempo en alcanzar el 50 % de germinación (t50), el área bajo la curva de germinación (AUC) y el tiempo en horas transcurrido entre 16 % y 84 % de germinación (u8416). Se determinó y ajustó la curva de germinación con la hoja de cálculo “Germinator_curve_fitting 1.29”. La interpolación a partir de la curva de germinación se realizó según lo descrito por El-Kassaby et al. (2008), con la función de Hill de cuatro parámetros:

En donde “y” es el porcentaje de germinación acumulativa en un tiempo “x”, “y0” es el intercepto con el eje “y”, “a” es la asíntota o la germinación máxima acumulativa y equivale a la capacidad de germinación, “b” es un parámetro que representa la forma y pendiente de la curva de germinación y “c” representa el tiempo requerido para que germine el 50 % de las semillas viables. Luego, se realizó un conteo manual de semillas que presentaron protrusión radicular para relacionarlo con los datos obtenidos de forma automática en 120 imágenes.

Validación del “Germinator” con análisis de germinación estándar

La validación del “Germinator” como método para cuantificar la germinación de forma automática en semillas de arroz, se realizó con un panel de 126 muestras, las cuales se procesaron mediante los parámetros antes descritos y se analizaron con el “Germinator”. Además, las mismas muestras se analizaron de forma manual mediante el método de germinación estándar, el cual se basa en los lineamientos establecidos por la ISTA (2022), con la versión vigente de la norma según el año en que se realizó el análisis.

El método de germinación del ISTA se determina a partir del porcentaje de plántulas normales (plántulas que cuentan con el desarrollo adecuado y proporcionado de las estructuras esenciales). Las estructuras esenciales de una plántula de arroz son: coleóptilo, primera hoja (bien desarrollada emerge a través del coleóptilo o, si no ha emergido, deberá ocupar más del 50 % del coleóptilo), radícula (con numerosos pelos radicales) y raíces seminales. Además, se debe determinar el porcentaje de plántulas anormales (plántulas que no cuentan con el desarrollo adecuado de las estructuras esenciales), semillas muertas (semillas que no germinaron y que se pueden aplastar al ejercer presión sobre ellas) y semillas no germinadas (semillas que no germinaron, pero que no se pueden aplastar al ejercer presión sobre ellas). Según lo establece la norma, se realizó un primer conteo a los siete días después de la siembra, donde se evaluó el número de plántulas normales y el número de semillas muertas y un segundo conteo a los catorce días, donde se evaluaron los cuatro parámetros antes mencionados (plántulas normales, plántulas anormales, semillas muertas y semillas no germinadas).

Validación del “Germinator” con experimentos de envejecimiento acelerado y controlado

Para comprobar el potencial de uso de la metodología de determinación automática de curvas de germinación a partir de imágenes digitales, se establecieron dos experimentos. Para esto las semillas de arroz Palmar 18 se sometieron a un protocolo de envejecimiento acelerado (EA) y otro de envejecimiento controlado (EC), para afectar de forma negativa su vigor de germinación.

El protocolo de EA se basó en el estándar internacional de la ISTA (2018) para evaluación del vigor de semillas con algunas modificaciones. Se tomaron cajas de germinación, se les agregó 900 mL de agua destilada (10 % del volumen de la caja) y se les introdujo una estructura de reja que permitió la colocación de las semillas por encima de la lámina de agua sin contacto directo. Se separaron cuatro grupos de cuatrocientos semillas y se introdujeron en una bolsa de malla de nylon, se colocaron dentro de la caja y encima de la reja, cierre hermético de la caja y se colocó en una cámara de ambiente controlado ajustada para mantener la temperatura a 42 °C de forma constante. La humedad relativa dentro de la caja se mantuvo a 95 % de humedad. Las semillas permanecieron en esas condiciones por un total de cuatro días, durante los cuales se tomaron cuatro grupos de semillas a los dos, tres y cuatro días, y se establecieron los ensayos de germinación sobre papel azul, como se describió en la sección de “Optimización de la obtención de curvas de germinación por medio de imágenes digitales”.

Para el segundo experimento, se ejecutó el protocolo de EC según se realiza en el Jardín Botánico Kew del Reino Unido (Newton et al., 2009). Para ello, se utilizaron soluciones de cloruro de litio en lugar de solo agua para lograr humedades relativas específicas dentro de las cajas de envejecimiento (Hay et al., 2008). Primero, se colocaron cinco grupos de cuatrocientos semillas en presencia de 1800 mL de una solución 38,5 % (m/v) de LiCl (abarcó el 20 % del volumen de la caja), que brinda una humedad relativa de 47 % a 25 °C, en una cámara de ambiente controlado por dos semanas para su rehidratación. Luego, las semillas se colocaron en presencia de una solución de 30 % (m/v) de LiCl, que brinda una humedad relativa de 67 % y se mantuvieron a 45 °C por 30 días. Durante el periodo de incubación, se tomaron cuatro grupos de cien semillas a los cinco, diez, veinte y treinta días, y se establecieron los ensayos de germinación sobre papel azul. Para ambos protocolos se establecieron ensayos de germinación con semillas intactas como testigo.

Análisis estadístico

La relación entre los conteos de protrusión radicular determinada manual y automática, se analizó mediante una regresión lineal. Se realizó estadística descriptiva (valores mínimos, valores máximos, promedios, desviaciones estándar y coeficientes de variación) para estudiar las distintas variables analizadas. Los gráficos de barras se realizaron con el paquete de R “ggplot2” (versión 3.3.2). Para entender la relación entre las distintas variables se realizó un análisis de correlaciones mediante el paquete de R “qgraph” (versión 1.7.9), para lo cual se utilizó el método de “Spearman”. En el caso de los experimentos de EA y EC, la comparación de medias se realizó por medio de ANOVA. En el caso del número de semillas germinadas en el tiempo, se realizó la separación de medias por medio de una prueba de Tukey y, en el caso de las variables de vigor, se utilizó la prueba t de Student (n=4, p<0,05).

Resultados

El coeficiente de determinación entre la germinación automática obtenida con el “Germinator” y la germinación cuantificada de forma manual fue alto (R2>0,99) (Figura 2). Cabe recalcar que este conteo manual se realizó basado en conteos de la protrusión radicular, que es lo que cuantifica el “Germinator”, y no el conteo convencional de plántulas normales para evaluar la calidad fisiológica de las semillas.

Figura 2. Relación entre la germinación automática obtenida con el análisis de imágenes digitales (eje x) y el conteo manual de la protrusión radicular (eje y) en semillas de arroz (Oryza sativa L.) cv. Palmar 18. Centro para Investigaciones en Granos y Semillas (CIGRAS), Costa Rica, 2015.

R2: coeficiente de determinación.

Figure 2. Relation between the automatic seed germination obtained with the digital image analysis (x-axis), and the manual counting of root protrusison (y-axis) in rice (Oryza sativa L.) seeds cv. ‘Palmar 18’. Centro para Investigaciones en Granos y Semillas (CIGRAS), Costa Rica, 2015.

R2: coefficient of determination.

La Gmax varió de 69 % a 100 % al evaluar la germinación en un panel de 126 muestras de arroz en un lapso de tres años (Figura 3). La germinación promedio fue de 92 % (± 8 %) y el coeficiente de variación (CV) fue de 0,08 (Cuadro 1). El “Germinator” además de cuantificar la Gmax, también cuantificó de forma simultánea el t50, u8416 y el AUC (Cuadro 1). En el caso del t50, algunas muestras alcanzaron el 50 % de la germinación al cabo de 32,3 horas (Cuadro 1). La U8416 evidenció que algunas muestras requirieron seis horas para pasar de 16 % a 84 % de germinación (Cuadro 1).

Figura 3. Germinación máxima (a los cuatro días después de la imbibición) de 126 muestras de arroz (Oryza sativa L.) evaluadas mediante el uso de imágenes digitales. Centro para Investigaciones en Granos y Semillas (CIGRAS), Costa Rica, 2016-2018.

Las barras de error corresponden a la desviación estándar de la media (n=4).

Figure 3. Maximum germination (four days after imbibition) of 126 samples of rice (Oryza sativa L.) evaluated with the digital image analysis. Centro para Investigaciones en Granos y Semillas (CIGRAS), Costa Rica, 2016-2018.

Error bars indicate the standard deviation of the mean (n=4).

Cuadro 1. Estadísticas descriptivas para variables relacionadas con la viabilidad de semillas de arroz (Oryza sativa L.) cuantificadas por medio de análisis de imágenes digitales y por medio del método de germinación estándar. Centro para Investigaciones en Granos y Semillas (CIGRAS), Costa Rica, 2016-2018.

Table 1. Descriptive statistics for seed viability related traits in rice (Oryza sativa L.) quantified with digital image analysis and with the conventional seed germination method. Centro para Investigaciones en Granos y Semillas (CIGRAS), Costa Rica, 2016-2018.

Los datos obtenidos mediante el método de germinación estándar mostraron que la variación observada fue alta, ya que los valores fluctuaron desde 38 % hasta 94,8 % en número de plántulas normales (Figura 4). El valor promedio para esta variable fue de 78,8 % (± 10,6 %) y el CV fue de 0,13 (Cuadro 1).

Figura 4. Conteo de plántulas normales a los catorce días de la siembra en 126 muestras de arroz (Oryza sativa L.) evaluadas mediante el método de germinación estándar. Centro para Investigaciones en Granos y Semillas (CIGRAS), Costa Rica, 2016-2018.

Las barras de error corresponden a la desviación estándar de la media (n=4).

Figure 4. Normal seedlings counting at fourteen days after sowing in 126 rice (Oryza sativa L.) samples evaluated with the conventional seed germination method. Centro para Investigaciones en Granos y Semillas (CIGRAS), Costa Rica, 2016-2018.

Error bars indicate the standard deviation of the mean (n=4).

Se observaron correlaciones entre las variables evaluadas mediante imágenes digitales y con los resultados obtenidos mediante la metodología estándar. En cuanto a las variables determinadas de forma automática, la Gmax estuvo correlacionada de forma positiva con el área bajo la curva (rho = 0,52), al mismo tiempo tuvo correlación negativa con el t50 (rho =−0,36). La máxima correlación se observó entre el t50 y el AUC (rho = −0,93). El número de plántulas normales presentó una correlación negativa con el número de plántulas anormales (rho =−0,54), el número de semillas muertas (rho =−0,36) y el número de semillas latentes (rho =−0,42). Aunque las variables de Gmax y el número de plántulas normales podrían considerarse variables análogas entre ambos métodos, al hacer una correlación entre ambas variables se observó una correlación positiva baja (rho = 0,34), lo que indica que son variables complementarias y no son redundantes.

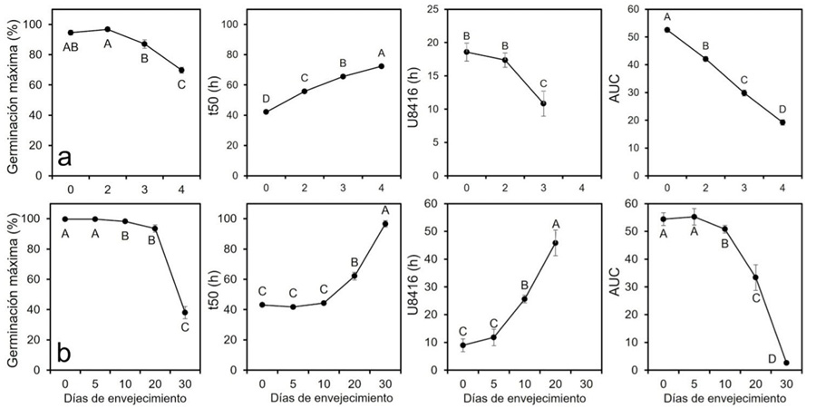
Se realizaron pruebas de EA y EC con el “Germinator” para mostrar la sensibilidad del método para detectar diferencias en vigor de semillas. Se utilizó el conteo automático de semillas germinadas a lo largo de cuatro días de germinación, en semillas deterioradas de forma controlada por medio de dos protocolos distintos. Se observó que el EA y el EC redujeron el vigor de las semillas, pero los protocolos presentaron respuestas distintas. El EA (Figura 5a) que utilizó agua destilada como agente humidificador, tendió a ser más agresivo que en el que se utilizó la solución de LiCl (Figura 5b).

Figura 5. Uso de análisis de imágenes digitales para cuantificar la germinación en ensayos de (a) envejecimiento acelerado (a 95 % de humedad relativa por 0, 2, 3 y 4 días) y (b) controlado (a 67 % de humedad relativa por 0, 5, 10, 20 y 30 días) en semillas de arroz (Oryza sativa L.) cv. Palmar 18. Centro para Investigaciones en Granos y Semillas (CIGRAS), Costa Rica, 2018.

Las barras de error corresponden a la desviación estándar de la media (n=4). Letras distintas indican diferencias significativas luego de una comparación de medias basado en la prueba de Tukey (p<0,05). NS = no hubo diferencias significativas.

Figure 5. Use of digital image analysis to quantify the germination in (a) accelerated (at 95 % relative humidity for 0, 2, 3, and 4 days) and (b) controlled (at 67 % relative humidity for 0, 5, 10, 20, and 30 days) aging test in rice (Oryza sativa L.) seeds cv. Palmar 18. Centro para Investigaciones en Granos y Semillas (CIGRAS), Costa Rica, 2018.

Error bars indicate the standard deviation of the mean (n=4). Different letters indicate significant differences according to a Tukey test (p<0.05). NS = non-significant differences observed.

En ambos protocolos de envejecimiento se observó una reducción del vigor de germinación de forma específica, sin afectar la Gmax (Figura 6). El EA (Figura 6a) presentó una tendencia a reducir significativamente la velocidad de germinación de forma más drástica que el EC (Figura 6b), manifestado por un aumento del t50 más acelerado a partir del segundo día de EA. La estimación de la uniformidad U8416 presentó tendencias inversas en ambos protocolos de envejecimiento, en donde el EA tendió a generar un efecto positivo sobre la uniformidad en comparación con el EC. En ambos protocolos, el U8416 no fue posible calcularlo a los cuatro días de EA y 30 días de EC, pues la germinación total fue menor al 84 %. En consecuencia, las áreas bajo la curva de germinación presentaron una reducción en ambos protocolos, sin embargo, en el caso del EC, fue hasta después del décimo día que se observó una AUC significativamente menor al testigo, mientras que en de EA fue desde el quinto día.

Figura 6. Uso de análisis de imágenes digitales para determinar variables de vigor de germinación en ensayos de envejecimiento (a) acelerado (EA) (a 95 % de humedad relativa por 0, 2, 3 y 4 días) y (b) envejecimiento controlado (EC) (a 67 % de humedad relativa por 0, 5, 10, 20 y 30 días) en semillas de arroz (Oryza sativa L.) cv. Palmar 18. Centro para Investigaciones en Granos y Semillas (CIGRAS), Costa Rica, 2018.

Las barras de error corresponden a la desviación estándar de la media (n=4). Letras distintas indican diferencias significativas de acuerdo con la prueba t de Student (p<0,05). t50: tiempo en horas para alcanzar el 50 % de la germinación; u8416: tiempo en horas transcurrido entre 16 % y 84 % de germinación; AUC: área bajo la curva de germinación.

Figure 6. Use of digital image analysis to quantify germination vigor in (a) accelerated aging (EA) tests (at 95 % relative humidity for 0, 2, 3, and 4 days) and (b) controlled (EC) (at 67 % relative humidity for 0, 5, 10, 20, and 30 days) in rice (Oryza sativa L.) seeds cv. Palmar 18’. Centro para Investigaciones en Granos y Semillas (CIGRAS), Costa Rica, 2018.

Error bars indicate the standard deviation of the mean (n=4). Different letters indicate significant differences according to a Student’s t-test (p<0.05). t50: time in hours to obtain 50 % of germinated seeds; u8416: time in hours between 16 % and 84 % of germinated seeds; AUC: germination area under the curve.

Discusión

Hubo una relación positiva baja entre la Gmax cuantificada de forma automática y la germinación cuantificada de manera convencional (rho (spearman)= 0,34); similar a lo reportado en plántulas de maíz, en donde se encontraron correlaciones positivas (R2= 0,664) de las cuantificaciones de la germinación de semillas mediante métodos automáticos y la emergencia en campo (Wagner et al. 2011). Es de esperar que dicha correlación no sea lineal, puesto que en el caso de la variable Gmax, al estar basada en protrusión radicular, es posible que incluya tanto plántulas normales como anormales. Sin embargo, las correlaciones entre las variables obtenidas por medio de análisis de imágenes y la metodología estándar, indican la complementariedad de los resultados, lo cual contribuye a la obtención de mayor cantidad de información en un mismo ensayo. Dentro de las variables evaluadas de forma automática, cabe destacar que el t50 fue la que tuvo mayor efecto sobre la curva de germinación en sí, manifestada por el AUC. La velocidad de germinación fue una variable de importancia en el panel evaluado y es probable que tenga el potencial de ser estudiado a futuro en programas de producción de semilla y de mejoramiento genético. Se podría valorar el uso de este método automático en la evaluación de la germinación de arroz y compararla con los resultados de la germinación en campo.

La inducción de envejecimiento de semillas como método que permite estudiar el proceso de deterioro de las semillas, permitió la validación del “Germinator” como metodología para detectar cambios en el vigor de germinación. La cuantificación automática evidenció que la temperatura y la humedad de incubación de ambos protocolos afectaron la longevidad de las semillas de forma diferente, así como se ha reportado en la literatura (Whitehouse et al., 2015). Los protocolos de envejecimiento es probable que causaran la degradación de las moléculas de reserva (Walters, 1998) y generaran alteraciones del metabolismo respiratorio (Yin et al., 2016). En consecuencia, en una primera fase, las semillas perdieron el potencial máximo de germinación de forma gradual hasta que, en una segunda fase, dicho potencial se redujo de forma drástica (Ellis & Roberts, 1980). En el caso de las semillas sometidas al EA, la Gmax mostró una fase drástica de disminución del potencial germinativo a partir del día tres; en el caso del EC, no fue sino hasta el día diez en que las semillas comenzaron una reducción rápida de su Gmax.

La diferencia entre las humedades relativas a las cuales las semillas se sometieron en ambos protocolos de envejecimiento, puede explicar las respuestas observadas. Las semillas pueden adsorber el agua del aire circundante y la temperatura tiene un efecto positivo en este proceso (Wang et al., 2017). En consecuencia, y en conjunto con una temperatura por encima de los 40 °C, el vigor de las semillas se puede ver reducido significativamente. Además, es posible que el ambiente saturado de humedad del EA haya causado la imbibición de las semillas (Jimenez et al., 1989), lo cual pudo, a su vez, activar los cambios metabólicos que ocurren durante la fase I de la germinación (Rajjou et al., 2012). Lo anterior podría explicar el efecto positivo sobre la uniformidad de germinación de las semillas sometidas al EA por tres días, aunque su vigor haya sido afectado de forma negativa.

Conclusiones

La optimización del paquete de software “Germinator” aportó una mayor descripción de la calidad en lotes de semillas de arroz de forma automatizada, por lo que se puede considerar como complemento para el análisis de la calidad germinativa de semillas de arroz. Se mostró la versatilidad del método para ser utilizado en un grupo amplio y variado de muestras y, a su vez, la posibilidad de integrarlo a los métodos de análisis rutinarios. Se propone la integración de esta metodología (o similares) a los análisis de calidad de semillas que se realizan de forma rutinaria en un laboratorio o banco de semillas, como una alternativa de bajo costo y alta reproducibilidad para potenciar la verificación de estándares de calidad de semillas de arroz.

Referencias

AL-Tam, F., Adam, H., dos Anjos, A., Lorieux, M., Larmande, P., Ghesquière, A., Jouannic, S., & Shahbazkia, H. R. (2013). P-TRAP: A panicle trait phenotyping tool. BMC Plant Biology, 13(1), Article 122. https://doi.org/10.1186/1471-2229-13-122

Alvarez, J., Carbonell, V., Martinez, E., & Florez, M. (2019). The use of Peleg’s equation to model water absorption in triticale (x Triticosecale wittmack) seeds magnetically treated before soaking. Romanian Journal of Physics, 64, Article 810. https://rjp.nipne.ro/2019_64_3-4/RomJPhys.64.810.pdf

Carpenter, A. E., Jones, T. R., Lamprecht, M. R., Clarke, C., Kang, I. H., Friman, O., Guertin, D. A., Chang, J. H., Lindquist, R. A., Moffat, J., Golland, P., & Sabatini, D. M. (2006). CellProfiler: Image analysis software for identifying and quantifying cell phenotypes. Genome Biology, 7(10), Article R100. https://doi.org/10.1186/gb-2006-7-10-r100

Colmer, J., O’Neill, C. M., Wells, R., Bostrom, A., Reynolds, D., Websdale, D., Shiralagi, G., Lu, W., Lou, Q., Le Cornu, T., Ball, J., Renema, J., Flores Andaluz, G., Benjamins, R., Penfield, S., & Zhou, J. (2020). SeedGerm: A cost-effective phenotyping platform for automated seed imaging and machine-learning based phenotypic analysis of crop seed germination. New Phytologist, 228(2), 778–793. https://doi.org/10.1111/nph.16736

Dell’Aquila, A. (2004). Application of a computer-aided image analysis system to evaluate seed germination under different environmental conditions. Italian Journal of Agronomy, 8(1), 51–62. https://bit.ly/3RNmfrS

El-Kassaby, Y. A., Moss, I., Kolotelo, D., & Stoehr, M. (2008). Seed germination: mathematical representation and parameters extraction. Forest Science, 54(2), 220–227. https://doi.org/10.1093/forestscience/54.2.220

Ellis, R. H., & Roberts, E. H. (1980). Improved equations for the prediction of seed longevity. Annals of Botany, 45(1), 13–30. https://doi.org/10.1093/oxfordjournals.aob.a085797

ElMasry, G., ElGamal, R., Mandour, N., Gou, P., Al-Rejaie, S., Belin, E., & Rousseau, D. (2020). Emerging thermal imaging techniques for seed quality evaluation: Principles and applications. Food Research International, 131, Article 109025. https://doi.org/10.1016/j.foodres.2020.109025

Gehan, M. A., Fahlgren, N., Abbasi, A., Berry, J. C., Callen, S. T., Chavez, L., Doust, A. N., Feldman, M. J., Gilbert, K. B., Hodge, J. G., Hoyer, J. S., Lin, A., Liu, S., Lizárraga, C., Lorence, A., Miller, M., Platon, E., Tessman, M., & Sax, T. (2017). PlantCV v2: Image analysis software for high-throughput plant phenotyping. PeerJ, 5, Article e4088. https://doi.org/10.7717/peerj.4088

Hay, F. R., Adams, J., Manger, K., & Probert, R. (2008). The use of non-saturated lithium chloride solutions for experimental control of seed water content. Seed Science and Technology, 36(3), 737–746. https://doi.org/10.15258/sst.2008.36.3.23

International Seed Testing Association. (2018). International rules for seed testing. In International Seed Testing Association (Ed.), Seed vigour testing (2018 ed., pp. i15-1-i15-16). International Seed Testing Association.

International Seed Testing Association. (2022). International rules for seed testing. In International Seed Testing Association (Eds.), The germination test (2022 ed., pp. i5-1-i5.53). International Seed Testing Association.

Jimenez, J. A., Coyne, D. P., Anderson, F. N., & Pavlish, L. A. (1989). Imbibition of seed of dry bean cultivars stored under high or low temperature and relative humidity conditions. Scientia Horticulturae, 40(2), 91–98. https://doi.org/10.1016/0304-4238(89)90090-3

Joosen, R. V. L., Kodde, J., Willems, L. A. J., Ligterink, W., van der Plas, L. H. W., & Hilhorst, H. W. M. (2010). Germinator: A software package for high-throughput scoring and curve fitting of Arabidopsis seed germination. The Plant Journal, 62(1), 148–159. https://doi.org/10.1111/j.1365-313X.2009.04116.x

Kim, J. H., Kim, K. O., Lee, A. K., Roh, M. S., & Suh, J. K. (2017). Germination of Corylopsis seeds evaluated by X-ray imaging and cold stratification. Horticultural Science, 44(2), 105–111. https://doi.org/10.17221/194/2015-HORTSCI

Lurstwut, B., & Pornpanomchai, C. (2017). Image analysis based on color, shape and texture for rice seed (Oryza sativa L.) germination evaluation. Agriculture and Natural Resources, 51(5), 383–389. https://doi.org/10.1016/j.anres.2017.12.002

Moreno-Pizani, M. A., Farias-Ramirez, A. J., Thaner dos Santos,H., da Luz Coelho Novembre, A. D., Guevara-Orozco, L. I., Paredes-Trejo, F., Marin, F. R., da Silva Dias, N., & Alves Marques, P. A. (2019). Qualitative and quantitative evaluation protocol of Baccharis seed germination. Journal of Agricultural Science, 11(3), 421-434. https://doi.org/10.5539/jas.v11n3p421

Mussadiq, Z., Laszlo, B., Helyes, L., & Gyuricza, C. (2015). Evaluation and comparison of open source program solutions for automatic seed counting on digital images. Computers and Electronics in Agriculture, 117, 194–199. https://doi.org/10.1016/j.compag.2015.08.010

Newton, R., Hay, F., & Probert, R. (2009). Protocol for comparative seed longevity testing. [Technical Information Sheet 01]. Millenniun Seed Bank Project Kew. https://doi.org/10.13140/RG.2.2.23886.25921

Nguyen, G. N., & Norton, S. L. (2020). Genebank phenomics: A strategic approach to enhance value and utilization of crop germplasm. Plants, 9(7), Article 817. https://doi.org/10.3390/plants9070817

Oficina Nacional de Semillas. (2019). Estadísticas Comercialización y Producción de Semilla de Arroz. Programa de certificación de semilla de arroz. https://bit.ly/3U5HWoi

Oficina Nacional de Semillas. (2020). Características varietales de arroz (julio, 2020). Programa de certificación de semilla de arroz. https://bit.ly/3U4W2qa

Olesen, M. H., Duijn, B. van, & Boelt, B. (2014). Seed Testing International. In International Seed Testing Association (Eds.), Introduction of new methods: Spectral imaging (ISTA News Bulletin No. 147; pp.10-13) International Seed Testing Association.

Onwimol, D., Chanmprasert, W., Changsee, P., & Rongsangchaichareon, T. (2016). Seed vigor classification using analysis of mean radicle emergence time and single counts of radicle emergence in rice (Oryza sativa L.) and mung bean (Vigna radiata (L.) Wilczek). Agriculture and Natural Resources, 50(5), 345–350. https://doi.org/10.1016/j.anres.2016.12.003

Rajjou, L., Duval, M., Gallardo, K., Catusse, J., Bally, J., Job, C., & Job, D. (2012). Seed germination and vigor. Annual Review of Plant Biology, 63, 507–533. https://doi.org/10.1146/annurev-arplant-042811-105550

Schindelin, J., Arganda-Carreras, I., Frise, E., Kaynig, V., Longair, M., Pietzsch, T., Preibisch, S., Rueden, C., Saalfeld, S., Schmid, B., Tinevez, J. -Y., White, D. J., Hartenstein, V., Eliceiri, K., Tomancak, P., & Cardona, A. (2012). Fiji: An open-source platform for biological-image analysis. Nature Methods, 9(7), 676-682. https://doi.org/10.1038/nmeth.2019

Severini, A. D., Borrás, L., & Cirilo, A. G. (2011). Counting maize kernels through digital image analysis. Crop Science, 51(6), 2796–2800. https://doi.org/10.2135/cropsci2011.03.0147

Sun, Q., Wang, J., & Sun, B. (2007). Advances on seed vigor physiological and genetic mechanisms. Agricultural Sciences in China, 6(9), 1060–1066. https://doi.org/10.1016/S1671-2927(07)60147-3

Tanabata, T., Shibaya, T., Hori, K., Ebana, K., & Yano, M. (2012). SmartGrain: High-throughput phenotyping software for measuring seed shape through image analysis. Plant Physiology, 160(4), 1871–1880. https://doi.org/10.1104/pp.112.205120

Vidigal, D. S., Marques, A. C. S. S., Willems, L. A. J., Buijs, G., Méndez-Vigo, B., Hilhorst, H. W. M., Bentsink, L., Picó, F. X., & Alonso-Blanco, C. (2016). Altitudinal and climatic associations of seed dormancy and flowering traits evidence adaptation of annual life cycle timing in Arabidopsis thaliana. Plant, Cell & Environment, 39(8), 1737–1748. https://doi.org/10.1111/pce.12734

Wagner, M., Demilly, D., Ducournau, S., Dürr, C., & Léchappé, J. (2011). Computer vision for monitoring seed germination from dry state to young seedlings. Seed Test, 142, 49–51. https://www.seedtest.org/api/rm/G8F2GEQMB2N8K53/sti14249-51.pdf

Walters, C. (1998). Understanding the mechanisms and kinetics of seed aging. Seed Science Research, 8(2), 223–244. https://doi.org/10.1017/S096025850000413X

Wang, P., Fu, N., Li, D., & Wang, L. (2017). Predicting storage conditions for rice seed with thermodynamic analysis. International Journal of Food Engineering, 13(11), Article 20170129. https://doi.org/10.1515/ijfe-2017-0129

Watt, M., Fiorani, F., Usadel, B., Rascher, U., Muller, O., & Schurr, U. (2020). Phenotyping: New windows into the plant for breeders. Annual Review of Plant Biology, 71, 689–712. https://doi.org/10.1146/annurev-arplant-042916-041124

Whitehouse, K. J., Hay, F. R., & Ellis, R. H. (2015). Increases in the longevity of desiccation-phase developing rice seeds: Response to high-temperature drying depends on harvest moisture content. Annals of Botany, 116(2), 247–259. https://doi.org/10.1093/aob/mcv091

Wijesinghe, R. E. H., Lee, S. -Y., Kim, P., Jung, H. -Y., Jeon, M., & Kim, J. (2017). Optical sensing method to analyze germination rate of Capsicum annum seeds treated with growth-promoting chemical compounds using optical coherence tomography. Journal of Biomedical Optics, 22(9), Article 091502. https://doi.org/10.1117/1.JBO.22.9.091502

Yin, G., Whelan, J., Wu, S., Zhou, J., Chen, B., Chen, X., Zhang, J., He, J., Xin, X., & Lu, X. (2016). Comprehensive mitochondrial metabolic shift during the critical node of seed ageing in rice. PLOS ONE, 11(4), Article e0148013. https://doi.org/10.1371/journal.pone.0148013

Zerpa-Catanho, D., Hernández-Pridybailo, A., Madrigal-Ortiz, V., Zúñiga-Centeno, A., Porras-Martínez, C., Jiménez, V. M., & Barboza-Barquero, L. (2019). Seed germination of pitaya (Hylocereus spp.) as affected by seed extraction method, storage, germination conditions, germination assessment approach and water potential. Journal of Crop Improvement, 33(3), 372–394. https://doi.org/10.1080/15427528.2019.1604457

Licencia de Creative Commons
Esta obra está bajo una licencia de Creative Commons Reconocimiento-NoComercial-SinObraDerivada 4.0 Internacional.
Puede hallar permisos más allá de los concedidos con esta licencia en pccmca@gmail.com