Agronomía Mesoamericana
Artículo científico
Volumen 34(3): Artículo 52472, 2023
e-ISSN 2215-3608, https://doi.org/10.15517/am.2023.52472
https://revistas.ucr.ac.cr/index.php/agromeso/index
Maria Gladis Rosero Alpala2, Carlos Enrique Velásquez Arroyo2, Johanna Paola Garnica Montaña3, William Armando Tapie4, Albeiro De Jesús Macias Vivares2
1 Recepción: 21 de septiembre, 2022. Aceptación: 20 de febrero, 2023. Este trabajo formó parte del proyecto “Nuevos materiales de siembra, uso de diversidad genética y propagación de genotipos de arracacha” ejecutado por la Corporación Colombiana de Investigación Agropecuaria (AGROSAVIA) y financiado por el Ministerio de Agricultura y Desarrollo Rural (MADR).
2 Corporación Colombiana de Investigación Agropecuaria (AGROSAVIA). Centro de Investigación La Selva. Rionegro - Antioquia, Colombia. Código postal: 054040. mroseroa@agrosavia.co (autora para correspondencia, https://orcid.org/0000-0003-0541-5021), cvelasquez@agrosavia.co (https://orcid.org/0000-0003-0032-602X), amacias@agrosavia.co (https://orcid.org/0000-0003-1178-4843).
3 Corporación Colombiana de Investigación Agropecuaria (AGROSAVIA). Centro de Investigación Nataima. Espinal - Tolima, Colombia. Código postal: 733529. jgarnicam@agrosavia.co (https://orcid.org/0000-0003-3051-809X).
4 Universidad de Antioquia, Facultad de Ciencias Agrarias, Grupo de Investigación en Ciencias Agrarias GRICA. AA 1226, Calle 67 No. 53 - 108. Medellín, Colombia. watapiec@unal.edu.co (https://orcid.org/0000-0001-7064-6753).
Introducción. El Sistema de Bancos de Germoplasma para la Alimentación y la Agricultura de la Nación Colombiana conserva raíces y tubérculos de interés, entre las cuales se encuentra Arracacia xanthorrhiza Bancroft. La renovación de las accesiones permite reconocer la heterogeneidad del germoplasma en enraizamiento y desarrollo, muestra grupos diferenciales, algunos con riesgo de sobrevivencia y en consecuencia riesgo de pérdida de material genético. Objetivo. Determinar el potencial de enraizamiento en veintiséis accesiones pertenecientes al Banco de Germoplasma de Arracacha. Materiales y métodos. El experimento se llevó a cabo en el Centro de Investigación La Selva, Rionegro, Antioquia, Colombia, en 2019 – 2020. Se evaluaron veintiséis accesiones y se estableció el experimento con un diseño completamente al azar bajo condiciones controladas mediante el uso de agua como medio de propagación. Se definió y utilizó una escala cualitativa para evaluar la formación de callosidad y una escala cuantitativa para evaluar la abundancia de raíces de callo sobre el tejido meristemático expuesto. Resultados. La rizogénesis inició a partir de los doce días con la formación de tejido meristemático radicular. Trece accesiones tuvieron escala alta, dos en media y nueve en escala baja. En cuanto a la abundancia y número de raíces, diecinueve accesiones se ubicaron en escala baja, tres en media, tres en alta incluido el testigo, y una accesión fue nula. Mediante el modelo logístico se estimó una tasa de crecimiento (TC) de 0,74 y 0,51 mm/día para las accesiones 15010099 y 15010097, mientras que con el modelo de Gompertz una TC de 0,39 mm/día para la accesión 15010007. Conclusión. Se determinó el potencial de enraizamiento de A. xanthorrhiza por atributos de precocidad, abundancia y tamaño de las raíces, en 26 accesiones del Banco de Germoplasma, como herramienta para generar acciones en la conservación de accesiones en campo.
Palabras clave: conservación biológica, propagación vegetativa, plantas madre, propágulos, agua.
Introduction. The System of Germplasm Banks for Food and Agriculture of the Colombian Nation preserves roots and tubers of interest, such as Arracacia xanthorrhiza Bancroft. The renewal of the accessions allows to recognize the heterogeneity of the germplasm in rooting and development, shows differential groups, some with risk of survival and consequently risk of loss of genetic material. Objective. Determine the rooting potential of twenty-six accessions, belonging to the Arracacha Germplasm Bank. Materials and methods. The experiment was conducted at La Selva Research Center, Rionegro, Antioquia, Colombia, in 2019 - 2020. Twenty-six accessions were evaluated and the experiment was established with a completely randomized design under controlled conditions using water as propagation medium. A qualitative scale was defined and utilized to assess callus formation, while a quantitative scale was employed to evaluate the abundance of callus roots on exposed meristematic tissue. Results. Rhizogenesis began after twelve days with the formation of root meristematic tissue. Thirteen accessions had a high scale, two medium scale, and nine low scale. For the abundance and number of roots, nineteen accessions were located on a low scale, three on a medium scale, three in high scale including the control, and one accession was null. Using the logistic model, a growth rate (TC) of 0.74 and 0.51 mm/day was estimated for the accessions 15010099 and 15010097, while with the Gompertz model a TC of 0.39 mm/day for the accession 15010007. Conclusion. The rooting potential of A. xanthorrhiza was determined by attributes of precocity, abundance, and size of the roots in 26 accessions of the Germplasm Bank as a tool to generate actions in the conservation of accessions in the field.
Keywords: biological preservation, vegetative propagation, mother plants, propagules, water.
La arracacha (Arracacia xanthorrhiza Bancroft), es una especie de la familia Apiaceae, de ciclo bienal a perenne, sin embargo, es considerada anual, puesto que su producción de raíces reservantes se da entre los 8 y 12 meses. Es de propagación vegetativa como única característica para esta familia domesticada en la región andina de América del Sur, con patrones de adaptación a ambientes mesotérmicos y de tierras altas tropicales desde los 700 hasta los 3200 m s. n. m. (Alvarado & Ochoa, 2010; Hermann, 1997; Knudsen et al., 2006; Mazón Ortiz et al., 1996). Es una planta herbácea caulescente, con cinco partes distintivas: hoja compuesta, inflorescencia, raíz reservante o nabo, cormo o cepa y propágulos, también llamados cormos laterales o colinos que se producen en la cepa (Blas-Sevillano et al., 2006; Matos-Mercado & Ortiz, 2010).
La arracacha se cultiva en Brasil, Colombia, Ecuador, Perú, Venezuela y se extiende hasta Bolivia y norte de Chile, así como Costa Rica, Puerto Rico, Estados Unidos, Australia, Alemania e Inglaterra (Garnica Montaña et al., 2021; Hermann, 1997; Knudsen, 2003). El aporte en la alimentación y nutrición humana está dado por el contenido de almidones, proteínas, vitaminas, carotenos, calcio, fósforo, potasio, hierro y magnesio (Gutiérrez, 2011; Mazón Ortiz et al., 1996). En Colombia el cultivo de arracacha es de gran importancia económica, debido a las condiciones ambientales y ecológicas idóneas para su producción. En el año 2020, la arracacha se cultivó en catorce departamentos con una producción de 162 883,68 t, producción más alta de los últimos catorce años, las cuales, se cultivaron en un área de 14 112,96 ha. El departamento del Tolima reportó la mayor producción y área sembrada con 117 393 t en 10 105 ha (Ministerio de Agricultura y Desarrollo Rural, 2020).
En los cultivos comerciales, la propagación de la arracacha se realiza de forma asexual mediante el corte de los propágulos los cuales se siembran en el campo (Atencio Solano et al., 2021; Hermann, 1997). La fase fenológica I (emergencia) se observa entre los cero y treinta días después de la plantación del propágulo, donde se desarrollan nuevos brotes, aparecen de dos a tres hojas, la planta alcanza una altura de 15 cm y hay formación de raíces absorbentes de hasta 16,9 cm (Garnica Montaña et al., 2021). El desarrollo de raíces depende de las condiciones edafoclimáticas y del genotipo. Sin embargo, esta práctica ha mostrado limitantes debido a la exposición hídrica, la falta de enraizamiento y los patógenos, que en su conjunto ocasionan la pudrición del colino.
En Brasil, se ha observado que la siembra directa y no controlada aumenta los porcentajes de floración temprana, lo que incide en bajas producciones (Knudsen et al., 2001). La siembra en camas de propágulos pre-enraizados permite minimizar el riesgo de pérdida de plantas en campo (Dos Santos & Dos Carmo, 1998). Esta técnica se ha evaluado en diferentes sustratos como arcilla, suelo y vermiculita. Se observa la formación de callo y el desarrollo de raíces en un periodo de 45 a 60 días, hasta que presentan entre cuatro a cinco hojas, para luego ser trasplantadas a campo (Bueno, Carvalho & Medeiros, 2000; Câmara, 1992; Madeira et al., 2017).
En la propagación vegetativa el agua es utilizada como medio de enraizamiento. A pesar de que no se reportan trabajos específicos de enraizamiento de propágulos de arracacha en agua, algunos estudios relacionados han encontrado que el agua puede ser un medio eficaz para el enraizamiento de material vegetal de propagación (Cedeño García et al., 2016). En este sentido, se puede estimar el periodo óptimo de exposición para que los propágulos expresen su potencial rizogénico, lo que constituye una técnica eficiente para realizar mediciones en el desarrollo de raíces para evitar el estrés del órgano y el esquema destructivo que se maneja cuando se usa otros sustratos (Bueno, Carvalho & Bovi, 2000).
En propágulos de Alpinia purpurata K. Schumann, se incrementó la producción y el desarrollo longitudinal de las raíces, además favoreció la producción de brotes con mayor tamaño y número de hojas. En estacas de Ixora coccinea L. pre tratadas con regulador de crecimiento a base de ácido-α-naftalenacético, mostraron mayor número de hojas y raíces a diferencia de las enraizadas en suelo (Méndez-Natera et al., 2004; Suárez et al., 2008). En estacas de Gossypium barbadense L. se utilizaron reguladores de crecimiento suplementados con ácido indol butírico (AIB) a 25 y 50 mg L-1 y solución nutritiva de Knop, los resultados no mostraron diferencia en comparación con el enraizado en agua (Rojas-Idrogo et al., 2013).
En Colombia, gran parte de la variabilidad de arracacha se conservan ex situ en el Banco de Germoplasma Vegetal, conformado por 72 accesiones provenientes de diferentes regiones productoras del país y en custodia de la Corporación Colombiana de Investigación Agropecuaria (AGROSAVIA). La conservación y propagación de los morfotipos de esta especie, ha evidenciado genotipos que se agrupan según la calidad de enraizamiento en alto, medio y bajo, estos últimos podrían estar vulnerables a pérdida, lo cual, afecta la preservación de la variabilidad genética de esta especie en el país. El presente estudio tuvo como objetivo determinar el potencial de enraizamiento en propágulos de arracacha con limitado desarrollo de raíces de accesiones del banco de germoplasma vegetal en Colombia.
Se evaluó el mecanismo de propagación vegetativa de Arracacia xanthorrhiza Bancroft en el Banco de Germoplasma entre los años 2019 y 2020, en el Centro de Investigación La Selva en Rionegro, Antioquia Colombia donde se conserva de manera ex situ la colección de arracacha perteneciente al Sistema de Bancos de Germoplasma de la Nación Colombiana, subsistema vegetal. Las coordenadas geográficas son longitud: 075°24’51,9 y latitud: 06°07’52,7. La altitud es de 2100 m s. n. m., la temperatura promedio fue de 16 °C, la humedad relativa de 74,83 % y zona de vida bosque húmedo montano bajo (bh-MB), según Holdridge (1982).
Se evaluaron veintiséis accesiones identificadas con el número de registro y su lugar de colecta (Cuadro 1), el criterio de selección fue la calidad de enraizamiento, se priorizaron las que mostraron limitado desarrollo de raíces en los últimos cinco años, según registros del curador. Como testigo se utilizó el cultivar regional denominado “Blanca Salamineña” cuyo potencial de enraizamiento es alto.
Cuadro 1. Accesiones seleccionadas del banco de germoplasma de arracacha (Arracacia xanthorrhiza Bancroft), por baja calidad de enraizamiento. Centro de Investigación La Selva, Rionegro, Antioquia, Colombia. 2019-2020.
Table 1. Accessions selected from the arracacha (Arracacia xanthorrhiza Bancroft) germplasm bank due to low rooting quality. Research Center La Selva, Rionegro, Antioquia, Colombia. 2019-2020.
Los propágulos se acondicionaron mediante el corte del peciolo con 20 cm de longitud, dimensión que se tomó desde la bifurcación de los peciolos hasta la unión del peciolo con la cepa (tercer anillo, 2,5 cm aproximadamente) con un corte horizontal (Figura 1A), el tejido meristemático expuesto dio origen al sistema radicular. El material de propagación se sometió a procesos de lavado con agua potable y desinfección en una solución a base de dióxido de cloro (ClO2) en una dosis de 2 cc L-1 de agua, mantenidos en inmersión por 15 min. Para la evaluación de enraizamiento de los propágulos se utilizó agua tratada con ClO2 en dosis de 0,2 cc L-1 de agua, agregada en bandejas hasta un nivel máximo de 1 cm de altura hasta cubrir la base del propágulo (Figura 1B).
Figura 1. Evaluación de enraizamiento de propágulos de arracacha (Arracacia xanthorrhiza Bancroft). A. Tipo de corte, B. Proceso de enraizamiento en agua. Centro de Investigación La Selva, Rionegro, Antioquia, Colombia. 2019-2020.
Figura 1. Rooting evaluation of arracacha (Arracacia xanthorrhiza Bancroft) propagules. A. Type of cutting, B. Rooting process in water. Research Center La Selva, Rionegro, Antioquia, Colombia. 2019-2020.
El experimento se estableció en casa malla en condiciones controladas con temperatura promedio de 18 °C, humedad relativa 78 % y radiación solar 48 wat/m2 en un diseño completamente aleatorizado, los tratamientos lo constituyeron veintiséis accesiones con diez repeticiones. Se evaluaron variables cualitativas: formación de callosidad y abundancia de raíces sobre el tejido meristemático expuesto. El seguimiento continuo de los propágulos permitió desarrollar la escala de enraizamiento (Cuadro 2) con la siguiente codificación: nula= 0, baja= 1, media= 2, alta= 3 en un periodo de veintiséis días.
Cuadro 2. Escala de evaluación de variables de enraizamiento en arracacha (Arracacia xanthorrhiza Bancroft). Centro de Investigación La Selva, Rionegro, Antioquia, Colombia. 2019-2020.
Table 2. Evaluation scale of rooting variables in arracacha (Arracacia xanthorrhiza Bancroft). La Selva Research Center, Rionegro, Antioquia, Colombia. 2019-2020.
Las variables cuantitativas evaluadas fueron: 1) sobrevivencia, expresada como la relación entre el número de plantas establecidas y el número de plantas vivas al final de la evaluación, 2) número de raíces, y 3) longitud de raíz más larga (mm). Para conocer las condiciones ambientales se registró la temperatura y humedad relativa con el datalogger CEM-DT 171.
El análisis de las medias de longitud de la raíz y el número de raíces a los quince y veintiséis días se realizó mediante un análisis de varianza, para la determinación de diferencias significativas entre las medias de las variables evaluadas se realizó la prueba de Tukey (p<0,05). En el proceso de crecimiento de la raíz se utilizaron dos modelos no lineales, Gompertz y logístico con tres parámetros en tres accesiones seleccionadas por su potencial de enraizamiento, 1) alto (accesión 15010099), 2) medio (accesión 15010097) y 3) bajo (accesión 15010007) (p<0,05).
La descripción matemática de los modelos no lineales de crecimiento se constituyó con los modelos Gompertz (ecuación 1) y logístico (ecuación 2).
Donde, Yt: longitud en un tiempo t; A: estimativo del crecimiento máximo; B: parámetro de integración, no posee significado biológico; K: pendiente del modelo, el cual es interpretado como el cambio de la longitud en relación con el crecimiento máximo alcanzado.
Los modelos se ajustaron a las series de longitud de raíz (mm) por tiempo (días) de cada accesión de arracacha y se utilizó la librería nls2 para modelos no lineales en R (R Core Team, 2020). Para distinguir la capacidad de ajuste de cada uno de los modelos en estudio, se utilizaron los siguientes criterios:
a. Coeficiente de determinación dado por 1- SQR/SQT, donde SQR representan la suma de cuadrados del residuo y SQT representa la suma del total corregida.
b. Criterio de información de Akaike (AIC) (ecuación 3) y criterio de información bayesiano (BIC) (ecuación 4), expresado mediante la fórmula:
Donde logLik y N son el logaritmo de máxima verosimilitud y el número de parámetros para cada modelo, y K es el número de observaciones. Para ambos criterios estadísticos, un valor menor indica un modelo preferible. El BIC se diferencia del AIC solo en el segundo término, que depende de K, a medida que K aumenta, el BIC favorece los modelos más simples (menos parámetros) (Archontoulis & Miguez, 2015).
c. Coherencia biológica de los parámetros estimados.
d. Coeficiente de correlación de concordancia (CCC) (Lin, 1989). El coeficiente de Lin puede variar entre -1 y 1, donde el grado de concordancia está dado por: casi perfecta: >0,99; sustancial: 0,95 – 0,99; moderada: 0,90; pobre: <0,90.
e. El error cuadrático medio de predicción (MSEP) se determinó mediante la ecuación 5:
Donde, n es el número de observaciones y k número de parámetros del modelo.
En el proceso de enraizamiento en agua para callosidad y emergencia de raíces se encontró que la sobrevivencia de los propágulos fue del 100 % durante los veintiséis días de evaluación. Lo que demuestra es un tiempo óptimo de exposición en agua para estimular el desarrollo de callosidad y raíces de forma exógena.
La iniciación de la callogénesis en los propágulos de arracacha se evidenció por la aparición de tejido meristemático identificado de forma visual por la formación de callos sobre el anillo del meristema.
Durante los primeros cinco días después de sumergidos (dds) no se presentó formación de callosidad (nula) en ninguna de las accesiones, a partir del sexto día once accesiones iniciaron con baja callosidad, incluido el testigo. A los 15 dds, trece accesiones además del testigo presentaron alta callosidad, y ello indica precocidad en la fase de diferenciación del tejido radicular, dos accesiones mostraron callosidad moderada (media) y en nueve accesiones se observó escasa formación de callosidad (baja). Al final de los veintiséis días, las accesiones 15010032 y 15010070 no sobrepasaron la escala baja de callosidad debido a que el desarrollo del tejido calloso fue tardío (Figura 2A).
Figura 2. Escala de evaluación de variables de enraizamiento en accesiones de arracacha (Arracacia xanthorrhiza Bancroft). Centro de Investigación La Selva, Rionegro, Antioquia, Colombia. 2019-2020. A. Callosidad. B. Abundancia de raíces.
Figure 2. Evaluation scale of rooting variables in arracacha (Arracacia xanthorrhiza Bancroft) accessions. Research Center La Selva, Rionegro, Antioquia, Colombia. 2019-2020. A. Callosity. B. Root abundance.
La emergencia de raíces se presentó a partir de los 12 dds con la accesión 15010095. Para el día 15 dds de las veintiséis accesiones evaluadas, nueve presentaron precocidad en la formación de raíces, de las cuales, cuatro (15010004, 15010005, 15010007 y 15010022) alcanzaron una escala baja en abundancia de raíces a los 26 dds, dos en escala media (15010053 y 15010097), y tres en escala alta (150100021, 150100025 y el testigo 150100099). De las diecisiete accesiones restantes (que no presentaron precocidad a los 15 dds); quince alcanzaron escala baja en abundancia de raíces al final de la evaluación, una en media (15010080) y otra en nula (150100032) (Figura 2B).
De las veintiséis accesiones evaluadas, diecinueve expresaron un bajo potencial de enraizamiento, con menos de 42 raíces, debido al poco desarrollo de estas a los veintiséis días de evaluación. Las accesiones 15010053, 15010080 y 15010097 presentaron un potencial de enraizamiento medio, con 49, 51,2 y 58,8 raíces, respectivamente. El testigo 15010099 presentó precocidad en la emergencia de raíces desde los trece días con potencial de enraizamiento alto y 126 raíces al final de la evaluación, característica que también lo compartieron las accesiones 15010021 y 15010025 con 65,8 y 72,4 raíces. La accesión 150100032 fue la única que no desarrolló raíces en ninguna de las dos fechas evaluadas (Cuadro 3).
Cuadro 3. Prueba de Tukey para las variables número y longitud de raíz evaluados a los quince y veintiséis días de enraizamiento en agua en accesiones de arracacha (Arracacia xanthorrhiza Bancroft). Centro de Investigación La Selva, Rionegro, Antioquia, Colombia. 2019-2020.
Table 3. Tukey’s test for the variables root number and length evaluated at 15 and 26 days of rooting in water in arracacha (Arracacia xanthorrhiza Bancroft). Research Center La Selva, Rionegro, Antioquia, Colombia. 2019-2020.
La evaluación cualitativa de formación de callosidad y abundancia de raíces entre los cero y veintiséis días identificó siete accesiones representativas. En el Cuadro 4 se muestran las accesiones con callosidad baja, media y alta, y enraizamiento nulo y bajo. Accesiones con callosidad alta y enraizamiento medio y alto se presentan en el Cuadro 5.
Cuadro 4. Formación de callosidad baja, media y alta con enraizamiento nulo y bajo en accesiones de arracacha (Arracacia xanthorrhiza Bancroft), según escala de callosidad y enraizamiento. Centro de Investigación La Selva, Rionegro, Antioquia, Colombia. 2019-2020.
Table 4. Low, medium, and high callus formation with null and low rooting in arracacha (Arracacia xanthorrhiza Bancroft) accessions according to callus and rooting scale. Research Center La Selva, Rionegro, Antioquia, Colombia. 2019-2020.
Cuadro 5. Formación de callosidad alto con enraizamiento media y alta en accesiones de arracacha (Arracacia xanthorrhiza Bancroft), según escala de callosidad y enraizamiento. Centro de Investigación La Selva, Rionegro, Antioquia, Colombia. 2019-2020.
Table 5. High callus formation with medium and high rooting in arracacha (Arracacia xanthorrhiza Bancroft) accessions according to callus and rooting scale. Research Center La Selva, Rionegro, Antioquia, Colombia. 2019-2020.
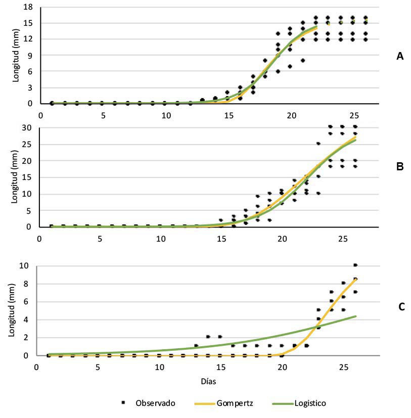
La longitud de la raíz se considera un buen estimador del crecimiento y desarrollo para las tres accesiones seleccionadas por el potencial de enraizamiento a los veintiséis días. En la accesión 15010099, el análisis de crecimiento con el modelo logístico estimó una tasa de crecimiento (TC) de 0,74 mm/día en relación al valor de crecimiento máximo alcanzado (15,4 mm) lo que ratificó el potencial de enraizamiento alto observado, esto por la acumulación temprana de biomasa antes de los quince días (Figura 3A). La accesión 15010097 mostró un desarrollo acelerado de la raíz a partir de los quince días con TC de 0,51 mm/día con una elongación máxima de raíces de 29,8 mm (Figura 3B). La accesión 15010007 presentó una TC de 0,39 mm/día y crecimiento máximo observado de 12,3 mm con el modelo de Gompertz a partir de los veinte días, lo que indica crecimiento lento de la raíz y se cataloga con potencial de enraizamiento bajo (Figura 3C).
Figura 3. Comportamiento del crecimiento de la raíz en propágulos de tres accesiones de arracacha (Arracacia xanthorrhiza Bancroft), mediante los modelos Gompertz y logístico. Centro de Investigación La Selva, Rionegro, Antioquia, Colombia. 2019-2020.
A. Potencial de enraizamiento alto (accesión 15010099); B. Potencial de enraizamiento medio (accesión 15010097); C. Potencial de enraizamiento bajo (accesión 15010007).
Figure 3. Root growth behavior in propagules of three accessions of arracacha (Arracacia xanthorrhiza Bancroft), using the Gompertz and Logistic models. Research Center La Selva, Rionegro, Antioquia, Colombia. 2019-2020.
A. High rooting potential (accession 15010099); B. Medium rooting potential (accession 15010097); C. Low rooting potential (accession 15010007).
Todos los parámetros estimados por los modelos presentaron significado biológico y, en general, se encontraron valores adecuados en los criterios de ajuste, por tanto, la longitud de la raíz en un tiempo máximo es un buen estimativo del desarrollo completo de la raíz parámetro “A” denominado crecimiento máximo. La estimación del parámetro A con el modelo de Gompertz fue superior al modelo logístico en las tres accesiones evaluadas (Cuadro 6).
Cuadro 6. Parámetros estadísticos asociados al crecimiento de raíz de arracacha (Arracacia xanthorrhiza Bancroft), estimados por los modelos de Gompertz y logístico. Centro de Investigación La Selva, Rionegro, Antioquia, Colombia. 2019-2020.
Table 6. Statistical parameters associated with root growth of arracacha (Arracacia xanthorrhiza Bancroft), estimated by the Gompertz and logistic models. Research Center La Selva, Rionegro, Antioquia, Colombia. 2019-2020.
Los dos modelos presentaron un buen ajuste, el modelo logístico predijo de manera más coherente la longitud máxima de la raíz. El parámetro K está relacionado con la pendiente del modelo y, por tanto, K es la tasa de crecimiento que expresa la relación de la tasa máxima de desarrollo en relación con el crecimiento máximo (mm/día), donde valores más bajos de K indican tasa de crecimiento retrasada y valores más altos de K indican tasa acelerada. K fue mayor para el modelo logístico en las accesiones 15010099 y 15010097, y mayor para el modelo de Gompertz en la accesión 15010007 (Cuadro 6). El parámetro K no es proporcional al parámetro A. En cuanto al parámetro B, se ha considerado como una constante de integración sin significado biológico particular.
Con base en los criterios de ajuste en su conjunto, se encontró que el modelo logístico no se ajustó a los datos de la función de crecimiento de la accesión 15010007, ya que el valor del CCC (0,67) estuvo por debajo del límite considerado (CCC <0,9) Para las accesiones 15010099 y 15010097 con el modelo logístico los valores de CCC fueron de 0,97 y 0,95, respectivamente, lo que significa que este modelo presentó un grado de concordancia sustancial (CCC = 0,95 – 0,99). Consecuente con estos resultados, los valores de los parámetros de suma cuadrado del residuo (RSS), criterio de información Bayesiano (BIC) y criterio de información de Akaike (AIC), en el modelo logístico fueron inferiores al modelo de Gompertz, se espera que modelos con valores comparativos en estos criterios más bajos, se ajusten mejor a un conjunto de datos. El coeficiente de determinación (R2) para el modelo logístico estuvo entre 90,3 a 94,1 en las accesiones 15010097 y 15010097, en tanto que para la accesión 15010007 el mejor ajuste para todos los criterios mencionados se logró con el modelo de Gompertz (Cuadro 7).
Cuadro 7. Ajuste de los modelos Gompertz y logístico para el crecimiento de raíz en accesiones de arracacha (Arracacia xanthorrhiza Bancroft), con potencial alto, medio y bajo de enraizamiento alto, medio y bajo. Centro de Investigación La Selva, Rionegro, Antioquia, Colombia. 2019-2020.
Table 7. Adjustment of the Gompertz and logistic models for root growth in arracacha (Arracacia xanthorrhiza Bancroft) accessions with high, medium, and low rooting potential. Research Center La Selva, Rionegro, Antioquia, Colombia. 2019-2020.
La formación de callosidad y enraizamiento en propágulos de arracacha de forma endógena mediante el uso de agua como medio enraizante y la evaluación de variables como la formación de callosidad y el número y la longitud de las raíces, permitió generar cuatro escalas de significancia: nula (0), baja (1), media (2) y alta (3), según se observó en el Cuadro 4, con desarrollo de callosidad a partir de los 12 días en un periodo no superior a 30 días, las cuales categorizaron el potencial de enraizamiento por atributos relacionados con la emergencia, la abundancia y el tamaño de raíces. Escalas similares fueron utilizadas por Matos et al. (2015) en trabajos con micropropagación de ápices caulinares de arracacha bajo un mecanismo exógeno estimulado por reguladores de crecimiento en dos diferentes medios de cultivos, donde se definieron tres escalas: sin callo (1), callo leve (2) y callo moderado (3), con incidencia de callosidad a partir de los quince días. Sin embargo, Slíva et al. (2010) al utilizar peciolos de arracacha enraizados en medios de cultivo de tejidos sin reguladores del crecimiento, obtuvieron brotes nuevos por explante a partir de la cuarta semana.
El agua como medio enraizante en propágulos de arracacha respondió de manera eficiente a la estimulación de tejido calloso en un 100%, desarrollo de raíces en un 99 % y sobrevivencia en un 100% al final del ensayo. Según Kikowska et al. (2014), en micropropagación de plántulas de Eryngium maritimum L. (Apiaceae) al utilizar como enraizante medio líquido con y sin auxinas exógenas consiguieron una inducción de brotes de más del 96 % y un crecimiento continuo de raíces. En especies de pasifloras como Passiflorum mollisima, P. tripartita, P. cumbalensis, P. ligularis y P. pinnatistipula se evaluaron diferentes sustratos para su propagación vegetativa, donde los mejores medios para el enraizamiento fueron: agua destilada-esterilizada más ácido indolacético (AIA) con 100 % de enraizamiento, agua de llave reposada 24 h con 97,5 %, agua destilada esterilizada con 95 %, agua mineral con 90,9 % y agua de lluvia con 84,8 %. Además, se encontró que el tiempo estimado de enraizamiento fue de 23 y 40 días desde la inmersión en el sustrato hasta su plena formación de raíces (Molina Valero, 1993).
La cinética del desarrollo radicular en propágulos de arracacha, identificada mediante modelos de crecimiento, consideró parámetros que permitieron generar una curva exponencial en función del tiempo con diferentes velocidades de crecimiento longitudinal, donde la variable longitud de la raíz, además de discriminar a las accesiones por su tamaño, también fue un buen estimador de la tasa de crecimiento, por la acumulación de la biomasa de raíces adventicias. Esta variable es considerada un indicador del crecimiento (Hunt, 1990), ya que permite identificar la calidad del material de propagación y estimar la velocidad de enraizamiento, su producción, el crecimiento de la planta y la duración de su ciclo fenológico (Heredia Zarate et al., 2009).
El análisis de crecimiento con el modelo logístico y modelo de Gompertz estimó una tasa de crecimiento (TC) para cada una de las accesiones evaluadas en el tiempo, lo que ratificó el potencial de enraizamiento encontrado (alto, medio y bajo) y permitió categorizar accesiones de acuerdo con su capacidad de enraizamiento en agua, constituyéndose en un indicador de vulnerabilidad para la conservación de accesiones de escaso enraizamiento. Por lo anterior, el análisis del crecimiento es una herramienta útil que permite evaluar el ciclo de vida o producción, a través de indicadores como la acumulación de biomasa en los diferentes órganos de la planta que pueden ser validados estadísticamente (Di Benedetto & Tognetti, 2016). Lo anterior, fue evidenciado también en genotipos de batata, donde las características morfológicas, como la acumulación de biomasa y el crecimiento de la planta, influyeron en el desempeño agronómico y el rendimiento de las raíces reservantes. Estos parámetros fueron considerados indicadores de adaptación y tolerancia al momento de la selección de variedades (Pérez-Pazos et al., 2021).
Conocer el potencial de enraizamiento de materiales que presentan propagación vegetativa, permite identificar materiales de siembra homogéneos, con características fenotípicas similares como el tiempo y la capacidad de generación de raíces, sumado a la abundancia de las mismas, lo que permite a futuro obtener cultivos homogéneos y adaptados a condiciones agroclimáticas específicas. En el sur del Estado de Minas de Gerais, Brasil, lograron determinar la estabilidad y adaptabilidad del clon de arracacha EH-56 mediante el uso de metodologías de análisis factorial y regresión bisegmentada, este clon presentó un alto potencial productivo en diferentes ambientes, superior a los demás clones evaluados, quienes presentaron adaptación específica incluso superiores a las de un clon cultivado por años por los agricultores de esta región, el cual resultó poco adaptado (Carvalho et al., 2018).
La evaluación de enraizamiento en propágulos A. xanthorrhiza seleccionados por su baja producción de raíces, permitió identificar dentro del set de accesiones, dos grupos, el primero conformado por accesiones consideradas precoces por su formación de raíces a partir de los 12 dds, de las cuales, cuatro alcanzaron una escala baja en abundancia de raíces al final de la evaluación (15010004, 15010005, 15010007 y 15010022), dos en escala media (15010053 y 15010097), y tres en escala alta (150100021, 150100025 y el testigo 150100099). El segundo grupo, conformado por 17 accesiones que no presentaron precocidad, entre ellas, 15 alcanzaron escala baja, una en media (15010080) y una en escala nula (150100032) en abundancia de raíces.
Los parámetros evaluados dentro del set de accesiones con limitado desarrollo de raíces permitieron identificar atributos relacionados con la emergencia, abundancia y tamaño de raíces, y evaluar el grado de vulnerabilidad para las accesiones con bajo potencial de enraizamiento, con fines de tomar medidas para su conservación.
Entre los factores que determinan el desarrollo de raíces en los propágulos de arracacha se encuentra la eficiencia rizogénica de las accesiones, en donde los factores genéticos expresados por el fenotipo, fisiológicos y de adaptación están intrínsecos en el desarrollo y crecimiento de raíces adventicias.
El presente trabajo se convierte en el primer estudio viable para la propagación de arracacha en agua sin hormonas. Esta es una técnica sencilla y fácil de aplicar para reconocer la capacidad de enraizamiento de los materiales de siembra. El tiempo empleado para la determinación fue de 26 días, considerado óptimo para estimular la formación de callosidad y raíces exógenas, y 100% de supervivencia de los propágulos.
Al Sistema de Bancos de Germoplasma de la Nación para la Alimentación y la Agricultura (SBGNAA) como fuente del material biológico. Esta investigación se desarrolló en el marco del macroproyecto “Generación y vinculación de tecnologías para mejorar la productividad de los sistemas de producción de arracacha en Colombia” proyecto “Nuevos materiales de siembra, uso de diversidad genética y propagación de genotipos de arracacha” financiados por la Corporación Colombiana de Investigación Agropecuaria – AGROSAVIA y el Ministerio de Agricultura y Desarrollo Rural (MADR).
Alvarado, Á. E., & Ochoa, L. E. (2010). Tecnologías locales de producción de arracacha (Arracacia xanthorrhiza Bancroft) en el municipio de Boyacá, departamento de Boyacá. Revista U.D.C.A Actualidad & Divulgación Científica, 13(1), 125–133. https://doi.org/10.31910/rudca.v13.n1.2010.716
Archontoulis, S. V., & Miguez, F. E. (2015). Nonlinear Regression Models and Applications in Agricultural Research. Agronomy Journal, 107(2), 786–798. https://doi.org/10.2134/agronj2012.0506
Atencio Solano, L. M., Villamil Carvajal, J. E., Garnica Montaña, J. P., & Martínez Reina, A. M. (2021). Análisis de alternativas de producción de semilla vegetativa de Arracacia xanthorrhiza Bancroft en Tolima, Colombia. Ciencia y Agricultura, 18(3), 1–14. https://doi.org/10.19053/01228420.v18.n3.2021.13529
Blas-Sevillano, R., Julca-Otiniano. A., & Baudoin, J. (2006). Inducción floral de Arracacha (Arracacia xanthorrhiza Bancroft). Idesia (Arica), 24(1), 31–36. https://doi.org/10.4067/S0718-34292006000100006
Bueno, S., Carvalho, A., & Medeiros, F. (2000). Produção de mandioquinha-salsa a partir de mudas da parte superior e inferior do rebento, em plantio de inverno. Horticultura Brasileira, 18, 481–482.
Bueno, S., Carvalho, A., & Bovi, J. (2000). Produção de raízes e rebentos de mandioquinha-salsa, utilizando para o plantio de verão, quatro tipos de mudas. Horticultura Brasleira, 18, 480–481.
Câmara, L. A. (1992). Enraizamento e produção de mandioquinha-salsa em função da posição do propagulo na touceira. Horticultura Brasileira, 10(1), 42. https://bit.ly/3BFqyP8
Carvalho, A. D. F., Madeira, N. R., & Silva, G. O. (2018). Adaptability and stability of commercial yield of arracacha in Southern region of Minas Gerais State. Horticultura Brasileira, 36(1), 100–105. https://doi.org/10.1590/S0102-053620180117
Cedeño García, G., Soplín Villacorta, H., Cargua Chávez, J., Cedeño García, G. (2016). Potencial de enraizamiento en agua y vigor de plántulas de banano obtenidas en cámara térmica. La Técnica: Revista de las Agrociencias, 16, 6–15. https://doi.org/10.33936/la_tecnica.v0i16.529
Di Benedetto, A., & Tognetti, J. (2016). Técnicas de análisis de crecimiento de plantas: su aplicación a cultivos intensivos. RIA. Revista de Investigaciones Agropecuarias, 42(3), 258–282. https://www.redalyc.org/articulo.oa?id=86449712008
Dos Santos, F. F., & Dos Carmo, C. A. (1998). Mandioquinha: manejo cultural. Empresa Brasileira de Pesquisa Agropecuária.
Garnica Montaña, J. P., Villamil Carvajal, J. E., Vargas Berdugo, Á. M., Rodríguez Rodríguez, O. J., & Atencio Solano, L. M. (2021). Modelo productivo de arracacha (Arracacia xanthorrhiza Bancr.) Agrosavia la 22 para la región andina de Colombia. Corporación Colombiana de Investigación Agropecuaria. https://doi.org/10.21930/agrosavia.nbook.7404500
Gutiérrez, Á. M. (2011). Nueva aparcería en la producción de arracacha (Arracacia xanthorrhiza) en Cajamarca (Colombia). Cuadernos de Desarrollo Rural, 8(67), 205–228. https://revistas.javeriana.edu.co/index.php/desarrolloRural/article/view/2016
Heredia Zárate, N. A., Vieira, M. C., Graciano, J. D., Figueiredo, P. G., Blans, N. B., & Curioni, B. M. (2009). Produtividade de mandioquinha-salsa sob diferentes densidades de plantio e tamanho das mudas. Ciencia e Agrotecnologia, 33(1), 139–143. https://doi.org/10.1590/S1413-70542009000100020
Hermann, M. (1997). Arracacha. Arracacia xanthorrhiza Bancroft. In M. Hermann & J. Heller (Eds.), Andean roots and tubers: ahipa, arracacha, maca and yacon (pp. 75–172). Institute of Plant Genetics and Crop Plant Research. https://hdl.handle.net/10568/104208
Holdridge, L. R. (1982). Ecología basada en zonas de vida. Instituto interamericano de Cooperación para la Agricultura. http://www.cct.or.cr/contenido/wp-content/uploads/2017/11/Ecologia-Basada-en-Zonas-de-Vida-Libro-IV.pdf
Hunt, R. (1990). Basic growth analysis: Plant growth analysis for beginners (1st ed.). Springer. https://doi.org/10.1007/978-94-010-9117-6
Kikowska, M., Thiem, B., Sliwinska, E., Rewers, M., Kowalczyk, M., Stochmal, A., & Oleszek, W. (2014). The Effect of Nutritional Factors and Plant Growth Regulators on Micropropagation and Production of Phenolic Acids and Saponins from Plantlets and Adventitious Root Cultures of Eryngium maritimum L. Journal of Plant Growth Regulation, 33, 809–819. https://doi.org/10.1007/s00344-014-9428-y
Knudsen, S. (2003). Reproduction biology of the Andean root crop arracacha (Arracacia xanthorrhiza Bancroft var. xanthorrhiza) and the taxonomic status of the South American Arracacia Bancroft species with special emphasis on the position of the cultivated arracacha and rela [Doctoral Dissertation, unpublished]. Universidad de Copenhague.
Knudsen, S. R., Hermann, M., & Sørensen, M. (2001). Flowering in six clones of the Andean root crop arracacha (Arracacia xanthorrhiza Bancroft). The Journal of Horticultural Science and Biotechnology, 76(4), 454–458. https://doi.org/10.1080/14620316.2001.11511393
Knudsen, S. R., Ørting, B., & Sørensen, M. (2006). Multiplicación y conservación de arracacha (Arracacia xanthorrhiza Bancr.) y ajipa (Pachyrhizus ahipa (Wedd.) Parodi). In M. Moraes, B. Øllgaard, P. Kvist, F. Borchsenius, & H. Balslev (Eds.), Botánica Económica de los Andes Centrales (pp. 483–508). Universidad Mayor de San Andrés.
Lin, L. I-K. (1989). A Concordance Correlation Coefficient to Evaluate Reproducibility. Biometrics, 45(1), 255–268. https://doi.org/10.2307/2532051
Madeira, N. R., Ferreira de Carvalho, A. D., da Silva, G. O., Borges Pinheiro, J., Borges Pereira, R., Michereff Filho, M., Pires Feldberg, N., Ola Moreira, S., Ribeiro Silveira, G. S., & Cássia, R. M. (2017). Proposição de um sistema de produção de mudas de mandioquinha-salsa. Brazilian Agricultural Research Corporation. https://ainfo.cnptia.embrapa.br/digital/bitstream/item/169065/1/CT-161.pdf
Matos-Mercado, D., & Ortiz, C. E. (2010). Estimados de índice de área foliar y razón de asimilación neta para apio. Journal of Agriculture of the University of Puerto Rico, 94(1–2), 199–203. https://doi.org/10.46429/jaupr.v94i1-2.2598
Matos, E., Marcano, M., Azócar, C. J., & Mora, A. (2015). Establecimiento y multiplicación in vitro de cinco cultivares de apio (Arracacia xanthorrhiza Bancroft) colectados en Venezuela. Bioagro, 27(2), 121–130. http://www.ucla.edu.ve/bioagro/Rev27(2)/7.%20ms%201422.pdf
Mazón Ortiz, N., Castillo Torres, R., Hermann, M., & Espinosa, P. (1996). La Arracacha o zanahoria blanca (Arracacia xanthorrhiza Bancroft) en Ecuador. Instituto Nacional Autónomo de Investigaciones Agropecuarias. https://repositorio.iniap.gob.ec/bitstream/41000/2696/1/iniapscpm67.pdf
Méndez-Natera, J. R., Salazar-Garantón, R. J., Dautant, M. A., Alcorcés de Guerra, N., & Laynez, J. (2004). Efecto del medio de enraizamiento, número de hojas por estaca y lesionado de las estacas de Ixora Enana (Ixora coccinea L.) con Hormojardín Nro 4. Revista Científica UDO Agrícola, 4(1), 31–35. http://www.bioline.org.br/abstract?id=cg04004&lang=en
Ministerio de Agricultura y Desarrollo Rural. (2020). Datos Abiertos. Evaluaciones Agropecuarias Municipales [EVA]. Base histórica de los años 2007 a 2018, relaciona con la producción agrícola. https://bit.ly/3LxReWz
Molina Valero, L. A. (1993). Propagación vegetativa de la curuba Passiflorum mollisima (H.B.K) Bailey en el departamento de Nariño. Revista De Ciencias Agrícolas, 12(1), 139–156. https://revistas.udenar.edu.co/index.php/rfacia/article/view/1234/1502
Pérez-Pazos, J. V., Rosero, A., Martínez. R., Pérez, J., Morelo, J., Araujo, H., & Burbano-Erazo, E. (2021). Influence of morpho-physiological traits on root yield in sweet potato (Ipomoea batatas Lam.) genotypes and its adaptation in a sub-humid environment. Scientia Horticulturae, 275, Article 109703. https://doi.org/10.1016/j.scienta.2020.109703
R Core Team. (2020). A language and environment for statistical computing. The R Foundation for Statistical Computing. https://www.r-project.org/
Rojas-Idrogo, C., Cuzquén-Cabrejos, C., & Delgado-Paredes, G. E. (2013). Propagación clonal in vitro y enraizamiento de estacas de algodón nativo (Gossypium barbadense L.). Acta Agronómica, 62(4), 312–320. https://revistas.unal.edu.co/index.php/acta_agronomica/article/view/38063
Slíva, Š., Viehmannová, I., & Vítámvás, J. (2010). Micropropagation and morphogenesis of arracacha (Arracacia xanthorrhiza Bancroft). Agricultura Tropica et Subtropica, 43(3), 206–211. http://www.agriculturaits.czu.cz/pdf_files/vol_43_3_pdf/sliva .pdf
Suárez, I. E., Marrugo, G. L., & Peña, M. (2008). Efecto del sustrato y tamaño del propágulo en el enraizamiento del ginger rojo (Alpinia purpurata). Revista Colombiana de Ciencias Hortícolas, 2(2), 225–231. https://revistas.uptc.edu.co/index.php/ciencias_horticolas/article/view/1190
