Agronomía Mesoamericana
Nota técnica
Volumen 35: Artículo 55660, 2024
e-ISSN 2215-3608, https://doi.org/10.15517/am.2024.55660
https://revistas.ucr.ac.cr/index.php/agromeso/index
Ana Sáez-Cigarruista1, Donaldo Morales-Guevara2, Roman Gordon-Mendoza1, Jorge Jaén-Villarreal1, Jorge Franco-Barrera1, Francisco Ramos-Manzané1
* Recepción: 31 de julio, 2023. Aceptación: 25 de septiembre, 2023. Este trabajo forma parte de la tesis en opción de grado de Doctora en Ciencias Agrícolas de la primera autora, fue financiado por el Instituto de Innovación Agropecuaria de Panamá.
1 Instituto de Innovación Agropecuaria de Panamá. Ciudad del Saber, Clayton, Panamá, apartado postal 6-4391. ansacig@gmail.com (autora para la correspondencia; https://orcid.org/0000-0002-4901-7263); gordon.roman@gmail.com (https://orcid.org/0000-0002-8433-2357); jorgejaen02@gmail.com (https://orcid.org/0000-0002-2816-0562); joenfra13@gmail.com (https://orcid.org/0009-0000-0247-411X); franciscoramos2016@gmail.com (https://orcid.org/0009-0003-3203-3069).
2 Instituto Nacional de Ciencias Agrícolas (INCA). San José de Las Lajas, Mayabeque, Cuba. Código postal 32700. dmoralesguevara48@gmail.com (https://orcid.org/0000-0002-1504-6824).
Introducción. El maíz es uno de los granos alimenticios más antiguos conocido. Con el cambio climático y las sequías severas y frecuentes, se reducirá en gran medida el agua disponible en el suelo. El déficit hídrico afecta en diversos grados el desarrollo del cultivo de maíz y la sensibilidad a este estrés varía en las diferentes etapas de desarrollo. Objetivo. Identificar las etapas fenológicas más sensibles al déficit hídrico en el cultivo de maíz. Materiales y métodos. El experimento se realizó durante dos ciclos en los años 2020 y 2021 en El Ejido, Provincia de Los Santos, Panamá. Se desarrolló bajo condiciones semicontroladas en la casa de cultivo del Instituto Coronel Segundo de Villarreal. Se utilizó el híbrido de maíz comercial ADV-9293. El manejo agronómico se realizó según las recomendaciones del Instituto de Innovación Agropecuaria de Panamá (IDIAP). Durante todo el ciclo del cultivo, se determinaron las variables altura de planta, largo y ancho de hojas, diámetro del tallo, biomasa y los componentes del rendimiento como número de hileras por mazorca, número de granos por hilera y peso de cien granos. También, se determinó la humedad del suelo por el método gravimétrico. El déficit hídrico en distintas etapas se generó a través de la simulación de sequía. Resultados. El rendimiento de grano del testigo superó los diferentes tratamientos evaluados con 12,83 t ha-1, seguido por el tratamiento con estrés en el llenado de grano con 10,31 t ha-1. Se determinaron dos períodos más sensibles al déficit hídrico; los cuales son las etapas comprendidas desde los 20 a 35 y 40 a 55 dds. El déficit hídrico, durante las diferentes etapas fenológicas del cultivo, tuvo un impacto negativo en el contenido relativo de clorofilas. Conclusión. Las etapas de prefloración y floración resultaron más sensibles a la deficiencia hídrica en el cultivo del maíz.
Palabras claves: cambio climático, sequías, crecimiento, rendimiento.
Introduction. Corn is one of the oldest known food grains. With climate change and frequent and severe droughts, the water available in the soil will be considerably reduced. Water deficit affects maize crop development to varying degrees, and sensitivity to this stress varies at different development stages. Objective. To identify the phenological stages most sensitive to water deficit in maize. Materials and methods. The experiment was conducted during two growing seasons in 2020 and 2021 in El Ejido, Los Santos province, Panama, under semi-controlled conditions in the greenhouse facilities of the Instituto Coronel Segundo de Villarreal. The commercial corn hybrid ADV-9293 was used and agronomic management was carried out according to the recommendations of the Institute for Agricultural Innovation of Panamá (IDIAP). Plant height, leaf length and width, stem diameter, biomass and yield components, such as number of rows per ear, number of grains per row and 100-grain mass, were determined throughout the crop cycle. Soil moisture was also determined by the gravimetric method. Water deficit at different stages was generated by drought simulation. Results. The grain yields of the control were higher than the different treatments evaluated with 12.83 t ha-1, followed by the treatment with grain filling stress with 10.31 t ha-1. Two periods were determined to be more sensitive to water deficit; these were the stages from 20 to 35 and 40 to 55 days after planting. Water deficit in the different phenological stages of the crop had a negative impact on the relative chlorophyll content. Conclusion. The pre-flowering and flowering stages were more sensitive to water deficiency in maize.
Keywords: climate change, drought, growth, yield.
El maíz (Zea mays L.) es un cultivo con gran potencial en producción de grano pero es sensible a las deficiencias hídricas (Wang et al., 2017). La disponibilidad hídrica es la principal limitante para el desarrollo de maíz, debido a la baja capacidad de almacenamiento de agua de los suelos, las elevadas demandas atmosféricas y la irregularidad de las precipitaciones (Giménez, 2012). El cultivo del maíz es una planta que presenta una demanda hídrica entre los 500 y 800 mm. Sin embargo, la sequía y la escasez de agua son los elementos predominantes que limitan la producción agrícola en las regiones áridas y semiáridas del mundo (Chen et al., 2019).
El déficit hídrico puede ocurrir en diferentes etapas de desarrollo del maíz, desde la germinación y emergencia hasta el llenado de los granos (Villalobos-González et al., 2016). Cada etapa de crecimiento tiene sus propias demandas de agua, y la sensibilidad del maíz a la escasez de agua puede variar según el estado de desarrollo en el que se encuentre. Un estrés hídrico afectará el rendimiento del maíz con base en su intensidad y etapa fenológica en la que se presente, por lo cual la disponibilidad de humedad en el suelo es el factor más importante que afecta el rendimiento y calidad del maíz (Sifuentes-Ibarra et al., 2021).
El efecto del agua sobre la producción de maíz en las zonas tropicales es determinante; el estrés hídrico durante la etapa vegetativa puede marchitar las plantas jóvenes y reducir la densidad de población (Gordón-Mendoza, 2020). El principal efecto de la sequía en el período vegetativo es que puede reducir el establecimiento del cultivo y el crecimiento. En las etapas fenológicas más avanzadas, como la floración y el llenado del grano, puede afectar el desarrollo del área foliar y la capacidad de fotosíntesis de la planta. Cuando el estrés hídrico, ocurre antes o durante la floración y el llenado del grano, tiene un efecto negativo en la producción de mazorcas y granos (Bänziger et al., 2012).
En la actualidad, la búsqueda de alternativas que ayuden a disminuir el consumo de agua en la producción de maíz ha cobrado mayor importancia. El riego localizado por goteo se convierte en una alternativa viable ya que reduce las dosis de agua con un ahorro significativo, a la vez que se logra un mayor aprovechamiento por parte de la planta (Serra-Wittling et al., 2019). Además del método de riego, se pueden aplicar acciones que ayudan a minimizar el consumo de agua, con el riego deficitario como una opción (Tapia Chávez et al., 2021).
Los estudios sobre riego deficitario controlado (RDC) han tomado gran importancia. Esta práctica se enfoca en la aplicación eficiente del agua en los cultivos cuando no se dispone de la cantidad necesaria para mantener un régimen de riego óptimo. Esto quiere decir, que se reduce la cantidad de agua aplicada en períodos fenológicos poco sensibles (Rodríguez-Correa et al., 2022).
El RDC requiere conocimiento preciso de la respuesta del cultivo al estrés hídrico y de su tolerancia a la sequía, aspectos que varían según el genotipo y la etapa fenológica; para diseñar estrategias de RDC exitosas se deben combinar la modelación de la productividad agrícola con investigación de campo (Geerts & Raes, 2009). Por lo que, es necesario comprender los impactos que las deficiencias hídricas tienen en el rendimiento del cultivo de maíz en las diferentes etapas de crecimiento, a fin de evaluar las estrategias de gestión del riego. Por lo anterior, este trabajo tuvo como objetivo identificar las etapas fenológicas más sensibles al déficit hídrico en el cultivo de maíz.
La presente investigación se llevó a cabo durante dos ciclos de cultivo (agosto 2020 a enero 2021 y enero a junio 2021), en una casa de cultivo en la finca del Instituto Coronel Segundo de Villarreal, ubicado en El Ejido provincia de Los Santos, República de Panamá (7°54.660’ de latitud Norte y 80°22’ longitud Oeste), con una altitud de 25 m s. n. m. Para este estudio, se utilizó semilla de maíz híbrido de color amarillo ADV-9293.
Durante el primer ciclo de investigación, se registraron valores promedio de temperatura y humedad relativa dentro de la casa de cultivo, los cuales fueron de 28,4 °C y 80,9 %, respectivamente. En el segundo ciclo, la temperatura promedio fue de 29,9 °C, mientras que la humedad relativa promedio se situó en 76,5 %. Se utilizó un suelo alfisol de clase textural franco-arcilloso, cuya composición se caracterizó por un porcentaje de partículas de arena, limo y arcilla de 44-24-32, respectivamente. Este suelo exhibió una capacidad de campo de 33,98 % y un punto de marchitez permanentes de 18,67 %.
La preparación de suelo, fertilización, control de arvenses, plagas y enfermedades se realizaron según la tecnología generada por el Instituto de Innovación Agropecuaria de Panamá (Gordón Mendoza, 2021). Se utilizó un sistema de riego por goteo con cintas a una distancia entre goteros de 0,2 m y un caudal de 1,0 L h-1. La entrega del agua se controló mediante válvulas colocadas en los laterales de riego de cada tratamiento. El tiempo de riego para el cultivo se estableció con base en la evapotranspiración acumulada. El cálculo se realizó a través del programa Cropwat 8 (Smith, 1992). Los tratamientos en estudio se presentan en el Cuadro 1.
Cuadro 1. Descripción de los tratamientos en estudio, para evaluar la sensibilidad del maíz (Zea mays) híbrido de color amarillo ADV-9293 al déficit hídrico controlado. Instituto Coronel Segundo de Villarreal (ICSV) e Instituto de Innovación Agropecuaria de Panamá (IDIAP) El Ejido, Los Santos, Panamá. 2020-2021.
Table 1. Description of the treatments under study, evaluating the sensitivity of the maize (Zea mays) ADV-9293 yellow hybrid to controlled water deficit. Coronel Segundo de Villarreal Institute (ICSV) and Agricultural Innovation Institute of Panama (IDIAP) El Ejido, Los Santos, Panama. 2020-2021.
La humedad del suelo se determinó a través del método gravimétrico, al iniciar y finalizar cada etapa de evaluación. Se obtuvo una muestra por parcela a una profundidad de 20 cm (Centro Internacional de Mejoramiento de Maíz y Trigo [CIMMYT], 2013). Se determinó el peso seco de hojas y tallos en diferentes momentos del desarrollo de las plantas. Las determinaciones se realizaron a cuatro plantas por parcela, a los 20, 35, 40, 55, 60, 75 días después de la siembra (DDS), las hojas y los tallos se secaron por separados en un horno a 70 o C hasta peso constante, luego se pesaron para determinar el peso seco de cada órgano.
Se midió el largo y ancho de todas las hojas de cuatro plantas por parcela, luego se calculó el área foliar (AF) con la ecuación 1 (Razquin et al., 2017).
AF= Largo de la hoja*ancho de hoja*0,75 (1)
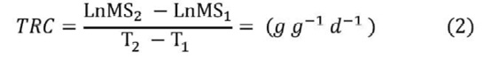
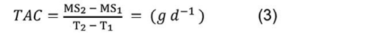
También se determinaron las relaciones de crecimiento por el método funcional a través de las ecuaciones establecidas por Di Benedetto y Tognetti (2016). Las cuales se pueden definir a través de las ecuaciones 2, 3 y 4.
Donde, TRC es la tasa relativa de crecimiento de las plantas, LnMS1 es el logaritmo natural del peso seco aéreo al inicio del período establecido, LnMS2 el logaritmo natural del peso seco aéreo al final del período establecido, T1el tiempo en días al inicio del período establecido, T2 el tiempo en días utilizado al finalizar el período establecido, TAC la tasa absoluta de crecimiento, MS1 el peso seco aéreo al inicio del período establecido, MS2 el peso seco aéreo al final del período establecido, TAN la tasa de asimilación neta, AF1 el área foliar al inicio del período establecido y AF2 el área foliar al finalizar el período establecido.
En los mismos períodos de muestreo se determinaron en cuatro plantas por parcela la altura de las plantas con una regla graduada, medida desde la base del tallo hasta la base de la floración masculina. El diámetro de los tallos se obtuvo con ayuda de un pie de rey digital y se midió en la base del tallo.
La determinación del contenido relativo de clorofilas se realizó con la ayuda del clorofilómetro Minolta Spad 502. Para la lectura de esta variable se tomaron las últimas hojas abiertas de diez plantas de cada parcela en el primer período (20-35 dds). Después de la floración, esta medida se tomó en la hoja frente a la mazorca. Se evaluaron componentes del rendimiento como número de hileras de granos por mazorca (veinte mazorcas por tratamiento), número de granos por hileras (en veinte mazorcas), peso de 100 granos (diez repeticiones por tratamiento).
Se utilizó un diseño de bloques al azar con tres repeticiones. Los datos presentados son el resultado de la media de dos ciclos de investigación y se analizaron mediante el paquete estadístico Statgraphic Centurion XVI (StatPoint Technologies, Inc.). Las medias se compararon mediante la Prueba de rangos múltiples de Tukey. Para graficar los datos se utilizó el programa SigmaPlot 11 (Systat Software, Inc.).
El porcentaje de humedad en el tratamiento control fue mayor en las tres etapas evaluadas, con porcentajes de 30, 33 y 33, respectivamente. En la primera etapa de 20-35 DDS, el tratamiento con suspensión del riego presentó 16 % de humedad del suelo, mientras el tratamiento con el 80 % del riego mostró 20 % de humedad. En la segunda etapa los tratamientos con suspensión y reducción del riego presentaron 14 % y 19 % de humedad, respectivamente. Mientras que en la tercera etapa la humedad del suelo fue de 20 % para el tratamiento con suspensión de riego y 23 % y en el de riego reducido (Figura 1).
Figura 1. Contenido de humedad del suelo para los tratamientos evaluados a 20 cm de profundidad en maíz (Zea mays) híbrido de color amarillo ADV-9293. Instituto Coronel Segundo de Villarreal e Instituto de Innovación Agropecuaria de Panamá El Ejido, Los Santos, Panamá. 2020-2021.
Las líneas sobre las barras representan el error estándar de las medias y letras diferentes indican diferencias significativas para p≤0,05 según Tukey. DDS: días después de la siembra. ETc: evapotranspiración estándar del cultivo.
Figure 1. Soil moisture content for the treatments evaluated at 20 cm depth in maize (Zea mays) ADV-9293 yellow hybrid. Coronel Segundo de Villarreal Institute and Agricultural Innovation Institute of Panama, El Ejido, Los Santos, Panama. 2020-2021.
The lines above the bars represent the standard error of the means, and different letters indicate significant differences for p≤0.05 according to Tukey. DDS: days after planting. ETc: standard evapotranspiration of the crop.
El tratamiento control mostró los mayores contenidos de clorofilas en las diferentes etapas evaluadas, sus valores en unidades SPAD fueron de 49, 50 y 52 para cada período, respectivamente (Figura 2). En la primera etapa, los tratamientos con suspensión y reducción del riego no presentaron diferencias estadísticamente significativa (p<0,05). En la segunda etapa los tratamientos con suspensión y reducción del riego mantuvieron este mismo comportamiento, con contenidos de clorofilas de 51 y 48 unidades SPAD, respectivamente.
Figura 2. Contenido relativo de clorofilas en maíz (Zea mays) híbrido de color amarillo ADV-9293. Instituto Coronel Segundo de Villarreal e Instituto de Innovación Agropecuaria de Panamá El Ejido, Los Santos, Panamá. 2020-2021.
Las líneas sobre las barras representan el error estándar de las medias y letras diferentes indican diferencias significativas para p≤0,05 según Tukey. DDS: días después de la siembra. ETc: evapotranspiración estándar del cultivo.
Figure 2. Relative chlorophyll content in maize (Zea mays) ADV-9293 yellow hybrid. Coronel Segundo de Villarreal Institute and Agricultural Innovation Institute of Panama, El Ejido, Los Santos, Panamá. 2020-2021.
The lines above the bars represent the standard error of the means and different letters indicate significant differences for p≤0.05 according to Tukey. DDS: days after planing. ETc: standard evapotranspiration of the crop.
Durante la tercera etapa, el tratamiento con suspensión del riego no mostró diferencias significativas (p<0,05) respecto al tratamiento con reducción del riego en términos de contenido de clorofilas, con valores de 50 y 46 unidades SPAD, respectivamente.
El tratamiento con 80 % de riego exhibió los valores más bajos en las últimas dos etapas estudiadas. Al combinar el análisis de varianza de los dos ciclos evaluados, no se encontraron diferencias significativas (p<0,05) en la interacción entre el año y el tratamiento, lo que sugiere un comportamiento similar en ambos ciclos de evaluación (Figura 2).
El control presentó diferencias significativas (p<0,05) en comparación con los tratamientos restantes en las etapas evaluadas para las variables de longitud y diámetro del tallo, peso seco y área foliar, con valores superiores. La longitud del tallo, en la etapa de 20-35 DDS fue mayor en el control con 93,1 cm, seguida por el tratamiento con 80% del riego con 82 cm, el tratamiento con suspensión del riego presentó los valores más bajos con 73,6 cm. En esta misma etapa el diámetro del tallo fue mayor en el testigo y el tratamiento con 80 % del riego. Los tratamientos con suspensión y reducción del riego no difirieron entre ellos con valores de 1,72 y 1,80 cm respectivamente. El peso seco aéreo fue mayor en el control con 55,8 g, los tratamientos restantes no difieren entre ellos y presentan valores de 31,3 y 37,0 g, respectivamente (Cuadro 2).
Cuadro 2. Comportamiento de los componentes del crecimiento en maíz (Zea mays) híbrido de color amarillo ADV-9293. Instituto Coronel Segundo de Villarreal e Instituto de Innovación Agropecuaria de Panamá El Ejido, Los Santos, Panamá. 2020-2021.
Table 2. Behavior of growth components in maize (Zea mays) ADV-9293 yellow hybrid. Coronel Segundo de Villarreal Institute andAgricultural Innovation Institute of Panama, El Ejido, Los Santos, Panama. 2020-2021.
El área foliar fue mayor en el control 2546 cm2 sin diferencias con tratamiento de suspensión del riego 2427 cm2 y ambos superaron significativamente al tratamiento con reducción del riego 1937 cm2. En la segunda etapa, la longitud del tallo fue mayor en el control con 239,0 cm, seguida por los tratamientos con suspensión y reducción del riego con 212,8 y 215,8 cm, respectivamente (Cuadro 2).
El diámetro del tallo fue mayor en el control 1,85 cm, pero no difiere del tratamiento con suspensión del riego 1,78 cm, el tratamiento con reducción del riego no presentó diferencias con el tratamiento con 80 % ETc. El peso seco aéreo fue mayor en el control con 102,4 g, los tratamientos restantes no presentan diferencias entre ellos 72,0 vs 70,8 g. El área foliar no presenta diferencias entre los tratamientos evaluados. Durante la tercera etapa la longitud del tallo fue mayor en el control con 239,8 cm, el tratamiento con reducción del riego presentó menor desarrollo en esta variable, con 221,1 cm. El diámetro del tallo no presentó diferencias estadísticas entre los tratamientos evaluados.
El peso seco aéreo fue mayor en el control con 134,5 g, seguida por los tratamientos con suspensión y reducción del riego con 91,9 y 91,7 g, respectivamente, con valores distintos entre ellos. El área foliar no se diferenció entre el control y la suspensión del riego 7849 vs 7468 cm2 y a su vez, este último presentó valores similares al tratamiento con reducción del riego 7270 cm2 (Cuadro 2).
El tratamiento control y el de 80 % Etc no presentaron diferencias significativas (p>0,05) en la TRC y TAC en el período de pre-floración. En esta misma etapa de evaluación la TAN presentó diferencias entre los tratamientos evaluados, fue mayor en el control (89,96 g cm-1 día-1) y menor en el tratamiento con reducción del 80 % del riego 24,90 g cm-1 día-1. En la segunda etapa la TRC no presentó diferencias significativas (p>0,05) entre los tratamientos evaluados, mientras que la TAC y la TAN fueron mayores en el control. Los tratamientos con suspensión y reducción del riego no difirieron estadísticamente entre ellos.
La TRC y la TAC se comportaron de manera similar en los diferentes tratamientos estudiados en la última etapa evaluada. La TAN en esta etapa mostró diferencias significativas (p<0,05) entre el control y los tratamientos con suspensión y reducción del riego (Cuadro 3).
Cuadro 3. Tasa relativa de crecimiento (TRC), tasa absoluta de crecimiento (TAC) y tasa de asimilación neta (TAN) en maíz (Zea mays) híbrido de color amarillo ADV-9293. Instituto Coronel Segundo de Villarreal (ICSV) e Instituto de Innovación Agropecuaria de Panamá (IDIAP) El Ejido, Los Santos, Panamá. 2020-2021.
Table 3. Relative growth rate (TRC), absolute growth rate (TAC) and net assimilation rate (TAN) in maize (Zea mays) ADV-9293 yellow hybrid. Coronel Segundo de Villarreal Institute and Agricultural Innovation Institute of Panama, El Ejido, Los Santos, Panama. 2020-2021.
Los tratamientos evaluados no presentaron diferencias estadísticamente significativas (p>0,05) en la variable número de hileras, mientras que las variables número de granos por hilera, número de granos por mazorca, peso de cien granos y el rendimiento por planta difirieron significativamente (p<0,05) entre los tratamientos evaluados. El número de granos por hilera fue mayor en el control 40 granos. Los tratamientos con suspensión del riego en la segunda etapa 37 granos y llenado de grano 37 granos, no presentaron diferencias estadísticamente significativas entre sí. Los tratamientos con suspensión del riego de 20-35 DDS 34 granos y de 80 % ETc 33 granos, presentaron menor número de granos por hilera. El número de granos por mazorca y el número de granos por hilera presentaron el mismo comportamiento en todos los tratamientos estudiados.
El peso de 100 granos fue mayor en el control (34,6 g) y el tratamiento con suspensión de 60-75 DDS 34,8 g. Esta variable presenta valores más bajos en los tratamientos con suspensión del riego de 20-35 DDS y el de 80% ETc. El rendimiento por planta fue mayor en el tratamiento control con 192,3 gramos. Le siguen los tratamientos con suspensión a los 60-75 y 40-55 DDS con rendimientos de 175,7 y 173,4 gramos respectivamente. Los rendimientos más bajos correspondieron a los tratamientos de suspensión del riego en etapas tempranas y el de 80 % ETc (Cuadro 4).
Cuadro 4. Rendimiento y sus componentes en maíz (Zea mays) híbrido de color amarillo ADV-9293, sometido a déficit hídrico en diferentes etapas del cultivo. Instituto Coronel Segundo de Villarreal e Instituto de Innovación Agropecuaria de Panamá El Ejido, Los Santos, Panamá. 2020-2021.
Table 4. Yield and its components in maize (Zea mays) ADV-9293 yellow hybrid, subjected to water deficit at different stages of cultivation. Coronel Segundo de Villarreal Institute and Agricultural Innovation Institute of Panama, El Ejido, Los Santos, Panama. 2020-2021.
El control presentó un rendimiento estimado de 12,83 t ha-1 y superó a los demás tratamientos evaluados, difirió significativamente (p<0,05) de los tratamientos restantes. Le siguen los de suspensión de riego desde 40-55 y 60-75 DDS con rendimientos de 11,56 y 11,71 t h-1, respectivamente, lo que representó una reducción del 9 y 10 % con relación al tratamiento control. Los tratamientos más afectados por déficit hídrico fueron, el de suspensión del riego de 20-35 y de 80 % ETc, con 10,21 y 10,16 tha-1 respectivamente. Este rendimiento logrado por estos tratamientos eleva la reducción a 21 y 20 % del rendimiento, logrado con el tratamiento sin estrés hídrico en ninguna de las etapas (Figura 3).
Figura 3. Rendimiento estimado alcanzado en cada tratamiento de déficit hídrico evaluado en maíz (Zea mays) híbrido de color amarillo ADV-9293. Instituto Coronel Segundo de Villarreal e Instituto de Innovación Agropecuaria de Panamá El Ejido, Los Santos, Panamá. 2020-2021.
Figure 3. Estimated yield achieved in each water deficit treatment evaluated in maize (Zea mays) ADV-9293 yellow hybrid. Coronel Segundo de Villarreal Institute and Agricultural Innovation Institute of Panama. 2020-2021.
El agua constituye el 80 % o más del peso fresco de las partes de las plantas (Quintal Ortiz et al., 2012). En la primera etapa el tratamiento con reducción del riego de 20-35 DDS se presentó una mayor pérdida de la humedad del suelo, que en los períodos restantes. Este comportamiento se encontró asociado con el incremento en la cobertura del cultivo a medida que este se desarrollaba, se observó un incremento significativo en la concentración de humedad en el suelo. Los resultados evidencian una reducción en la biomasa, la cual está relacionada con el déficit hídrico. Además, este déficit afecta la absorción de nutrientes debido a la disminución en el uso del agua por parte de la planta. Estos hallazgos coinciden con los expuestos por Wang et al. (2017) en su estudio sobre el cultivo de maíz, donde señalan al estrés hídrico como una de las principales limitaciones en la productividad de dicho cultivo.
En este estudio se observó que el tratamiento sin deficiencia hídrica presentó mayor acumulación de clorofila, lo cual puede ser atribuido a factores como el suministro adecuado de agua y nutrientes, condiciones óptimas de crecimiento y ausencia de factores estresantes. El contenido de clorofila en la hoja está relacionado de forma positiva con la concentración de nitrógeno en la hoja (Castellanos-Reyes et al., 2017), resultados que han sido informados por Dunn et al. (2018) y Zhu et al. (2012) en los cultivos de maíz, trigo y nochebuena (Euphorbia pulcherrima), donde relacionaron las lecturas de clorofilas con los contenidos de nitrógeno en hojas. Durante el desarrollo vegetativo del cultivo de maíz, el contenido de clorofila se vio influenciado por el índice hídrico, tal como se menciona en los estudios realizados por Núñez-Cano et al. (2018).
El crecimiento del cultivo se vio más afectado en los tratamientos sometidos a déficit hídrico, lo que provocó una reducción del crecimiento y desarrollo, esto se evidenció en una disminución de la biomasa y área foliar del cultivo en tratamiento con esta deficiencia, lo cual coincide con resultados expuestos por Fernández Lizarazo (2022).
Esta investigación demostró que el riego tuvo un efecto significativo en el crecimiento, la biomasa total y el área foliar. El estrés hídrico disminuyó la tasa de fotosíntesis en las plantas de maíz, lo que condujo a una reducción en la producción de carbohidratos y, en última instancia, tuvo un efecto negativo en el rendimiento del cultivo. Los factores climáticos y nutricionales son los que determinan el crecimiento, como señalaron Naresh Kumar & Singh (2021). Además, el estrés hídrico induce alteraciones en el metabolismo de la planta, lo que potencialmente conduce a deficiencias en nutrientes esenciales y una disminución en la eficiencia de su utilización. Resultados similares se obtuvieron en otros estudios relacionados con el cultivo de maíz (Gheysari et al., 2017).
Se observó que los tratamientos sin deficiencia hídrica en el suelo expresaron un mayor aumento en las tasas relativas y absolutas de crecimiento, así como la tasa de asimilación neta. Los tratamientos con estrés hídrico tienden a disminuir estas tasas, debido a la reducción de la fotosíntesis y a las limitaciones en el suministro de agua para el crecimiento de las plantas. El agua es un factor importante que limita el crecimiento en las plantas y el déficit hídrico puede causar la reducción de la tasa de crecimiento (Méndez Natera et al., 2010). En café se registraron tasas de crecimiento menores en plantas sometidas a estrés hídrico (Quintana-Escobar et al., 2017), lo cual respalda los resultados obtenidos en este estudio, además la TAC presentó un comportamiento similar al mostrado por la TRC.
Durante la etapa de plántula, el estrés hídrico se manifestó de manera más significativa, debido a la falta de un sistema radicular completamente desarrollado en las plantas. Estos efectos del estrés persistieron a lo largo de la fase de crecimiento reproductivo.. Este efecto provocó la reducción del peso unitario del grano y el rendimiento, que concuerdan con los resultados informados por Song et al. (2019). El déficit hídrico impactó negativamente en los rendimientos del maíz, los tratamientos sin deficiencia hídrica presentaron rendimientos más elevados y rendimientos más bajos en aquellos tratamientos sometidos a esta deficiencia. Kresović et al. (2016), informaron que el estrés hídrico afectó el rendimiento y sus componentes en el cultivo de maíz.
En este trabajo se pudo comprobar que una deficiencia hídrica en el suelo afectó la producción de biomasa, lo que resulta como consecuencia de una menor absorción de los nutrientes, de la transpiración lo que provoca un menor movimiento del agua y nutrientes hacia los distintos órganos de la planta, así como, un menor intercambio gaseoso lo que además de limitar la salida del vapor de agua hacia la atmósfera, disminuye la entrada de CO2 al interior de las hojas y se afecta la fotosíntesis. Lo que provoca la disminución del rendimiento, aspectos que fueron señalados por Castañeda Saucedo et al. (2006).
Las etapas de prefloración (20-35 DDS) y floración (40-55 DDS) resultaron más sensibles a la deficiencia hídrica (suspensión del riego durante 15 días) en el cultivo del maíz.
Bänziger, M., Edmeades, G. O., Beck, D., & Bellon, M. (2012). De la teoría a la práctica. Mejoramiento para aumentar la tolerancia a sequía y a deficiencia de nitrógeno en el maíz (Manual técnico). Centro Internacional de Mejoramiento de Maíz y Trigo. https://repository.cimmyt.org/server/api/core/bitstreams/1abb894c-3068-45bb-9df3-951df971f110/content
Castañeda Saucedo, M. C., Córdova Téllez, L., González Hernández, V. A., Delgado Alvarado, A., Santacruz Varela, A., & García de los Santos, G. (2006). Respuestas fisiológicas, rendimiento y calidad de semilla en frijol sometido a estrés hídrico. Interciencia, 31(6), 461–466.
Castellanos-Reyes, M. A., Valdés-Carmenate, R., López-Gómez, A., Guridi-Izquierdo, G. (2017). Mediciones de índices de verdor relacionadas con área foliar y productividad de híbrido de maíz. Cultivos Tropicales, 38(3), 112–116. https://ediciones.inca.edu.cu/index.php/ediciones/article/view/16
Centro Internacional de Mejoramiento de Maíz y Trigo. (2013). Contenido de humedad del suelo. Guía útil para comparar las prácticas de manejo de cultivo. https://repository.cimmyt.org/server/api/core/bitstreams/0dd5219e-3b2a-40f9-bf61-cfa030cd1e2d/content
Chen, Y., Marek, G. W., Marek, T. H., Gowda, P. H., Xue, Q., Moorhead, J. E., Brauer, D. K., Srinivasan, R., & Heflin, K. R. (2019). Multisite evaluation of an improved SWAT irrigation scheduling algorithm for corn (Zea mays L.) production in the U.S. Southern Great Plains. Environmental Modelling & Software, 118, 23–34. https://doi.org/10.1016/j.envsoft.2019.04.001
Di Benedetto, A., & Tognetti, J. (2016). Técnicas de análisis de crecimiento de plantas: su aplicación a cultivos intensivos. Revista de Investigación Agropecuaria, 42(3), 258–282. https://host170.sedici.unlp.edu.ar/server/api/core/bitstreams/798ef0ab-ff4f-4b25-b779-2a13bbcb5c27/content
Dunn, B. L., Singh, H., & Goad, C. (2018). Relationship between chlorophyll meter readings and nitrogen in poinsettia leaves. Journal of Plant Nutrition, 41(12), 1566–1575. https://doi.org/10.1080/01904167.2018.1459697
Fernández Lizarazo, J. C. (2022). Respuesta fisiológica de plantas de cacao al déficit hídrico cuando son inoculadas con HFMA. Utopía - Working papers, Artículo 11. https://doi.org/10.19052/wp.utopia.2022.3
Geerts, S., & Raes, D. (2009). Deficit irrigation as an on-farm strategy to maximize crop water productivity in dry areas. Agricultural Water Management, 96(9), 1275–1284. https://doi.org/10.1016/j.agwat.2009.04.009
Gheysari, M., Sadeghi, S-H., Loescher, H. W., Amiri, S., Zareiana, M. J., Majidif, M. M., Asgarinia, P., & Payero, J. O. (2017). Comparison of deficit irrigation management strategies on root, plant growth and biomass productivity of silage maize. Agricultural Water Management, 182, 126–138. https://doi.org/10.1016/j.agwat.2016.12.014
Giménez, L. (2012). Producción de maíz con estrés hídrico provocado en diferentes etapas de desarrollo. Agrociencia Uruguay, 16(2), 92–102. https://agrocienciauruguay.uy/index.php/agrociencia/article/view/544/544
Gordón–Mendoza, R. (2020). Variabilidad climática y su efecto sobre la producción de maíz (Manual técnico). Instituto de Innovación Agropecuaria de Panamá. https://proyectos.idiap.gob.pa/uploads/adjuntos/VARIABILIDAD_CLIMATICA_Y_SU_EFECTO_SOBRE_LA_PRODUCCI%C3%93N_DE_MA%C3%8DZ.pdf
Gordón Mendoza, R. (2021). El maíz en Panamá: características, requerimientos y recomendaciones para su producción en ambientes con alta variabilidad climática Panamá (Manual Técnico). Instituto de Innovación Agropecuaria de Panamá. https://proyectos.idiap.gob.pa/uploads/adjuntos/manual_tecnico_el_maiz_en_panama.pdf
Kresović, B., Tapanarova, A., Tomić, Z., Životić, L., Vujović, D., Sredojević, Z., & Gajić, B. (2016). Grain yield and water use efficiency of maize as influenced by different irrigation regimes through sprinkler irrigation under temperate climate. Agricultural Water Management, 169, 34–43. https://doi.org/10.1016/j.agwat.2016.01.023
Méndez Natera, J., Ybarra Pérez, F., Merazo Pinto, J. (2010). Germinación y Desarrollo de Plántulas de Tres Híbridos de Maíz bajo Soluciones Osmóticas. V. Polietilenglicol. Revista Tecnológica ESPOL-RTE, 23(1), 49–54. http://200.10.150.204/index.php/tecnologica/article/view/35/7
Naresh Kumar, S., & Singh, C. P. (2001). Growth analysis of maize during long and short duration crop seasons: Influence of nitrogen source and dose. Indian Journal of Agricultural Research, 35(1), 13–18. https://arccjournals.com/journal/indian-journal-of-agricultural-research/ARCC3038
Núñez-Cano, J. I., Gordón-Mendoza, R., Franco-Barrera, J., Jaén-Villarreal J., Sáez-Cigarruista, A., Ramos-Manzané, F., Ávila-Guevara, A. (2018). Índice hídrico de dos cultivares de maíz bajo dos sistemas de siembra. Ciencia Agropecuaria, 29, 99–111. http://revistacienciaagropecuaria.ac.pa/index.php/ciencia-agropecuaria/article/view/155/121
Quintal Ortiz, W., Pérez-Gutiérrez, A., Latournerie Moreno, L., May-Lara, C., Ruiz Sánchez, E., & Martínez Chacón, A. (2012). Uso de agua, potencial hídrico y rendimiento de chile habanero (Capsicum chinense Jacq.). Revista Fitotecnia Mexicana, 35(2), 155–160. https://revistafitotecniamexicana.org/documentos/35-2/6a.pdf
Quintana-Escobar, A. O., Iracheta-Donjuan, L., Méndez-López, I., & Alonso-Báez, M. (2017). Caracterización de genotipos de elite de Coffea canephora por su tolerancia a sequía. Agronomía Mesoamericana, 28(1), 183–198. https://doi.org/10.15517/am.v28i1.23874
Razquin, C. J., Maddonni, G. A., & Vega, C. C. R (2017). Estimación no destructiva del área foliar en plantas individuales de maíz (Zea mays L.) creciendo en canopeos. AgriScientia, 34(1), 27–38. https://doi.org/10.31047/1668.298x.v34.n1.17356
Rodríguez-Correa, D., Bonet-Pérez, C., Mola-Fines, B. de la C., Guerrero-Posada, P. A., Martínez-Der, C., & Machado-Carballo, M. (2022). Estrategias de riego deficitario controlado para el cultivo del frijol. Revista Ingeniería Agrícola, 12(1), 54–58.
Serra-Wittling, C., Molle, B., & Cheviron, B. (2019). Plot level assessment of irrigation water savings due to the shift from sprinkler to localized irrigation systems or to the use of soil hydric status probes. Application in the French context. Agricultural Water Management, 223, Article 105682. https://doi.org/10.1016/j.agwat.2019.06.017
Sifuentes-Ibarra, E., Ojeda-Bustamante, W., Macías-Cervantes, J., Mendoza-Pérez, C., & Preciado-Rangel, P. (2021). Déficit hídrico en maíz al considerar fenología, efecto en rendimiento y eficiencia en el uso del agua. Agrociencia, 55(3), 209–226. https://agrociencia-colpos.org/index.php/agrociencia/article/view/2414
Smith, M. (1992). CROPWAT: a computer program for irrigation planning and management. Food and Agriculture Organization of the United Nations.
Song, L., Jin, J., & He, J. (2019). Effects of severe water stress on maize growth processes in the field. Sustainability, 11(18), Article 5086. https://doi.org/10.3390/su11185086
Tapia Chávez, R. G., León, Aguilar, R. V., & Torres García, C. A. (2021). Riego deficitario y densidad de siembra en indicadores morfofisiológicos y productivos de híbrido de maíz. Revista Espamciencia, 12(2), 131–140. https://revistasespam.espam.edu.ec/index.php/Revista_ESPAMCIENCIA/article/view/269
Villalobos-González, A., López-Castañeda, C., Miranda-Colín, S., Aguilar-Rincón, V. H., & López-Hernández, M. (2016). Relaciones hídricas en maíces de Valles Altos de la Mesa Central de México en condiciones de sequía y fertilización nitrogenada. Revista Mexicana de Ciencias Agrícolas, 7(7), 1651–1665. https://cienciasagricolas.inifap.gob.mx/index.php/agricolas/article/view/157
Wang, Y., Janz, B., Engedal, T., & de Neergaard, A. (2017). Effect of irrigation regimes and nitrogen rates on water use efficiency and nitrogen uptake in maize. Agricultural Water Management, 179, 271–276. https://doi.org/10.1016/j.agwat.2016.06.007
Zhu, J., Tremblay, N., & Liang, Y. (2012). Comparing SPAD and at LEAF values for chlorophyll assessment in crop species. Canadian Journal of Soil Science, 92(4), 645–648. https://doi.org/10.4141/cjss2011-100
