Agronomía Mesoamericana
Artículo científico
Volumen 35: Artículo 56524, 2024
e-ISSN 2215-3608, https://doi.org/10.15517/am.2024.56524
https://revistas.ucr.ac.cr/index.php/agromeso/index
Genotype-environment interaction and yield stability in advanced lines of ají topito (Capsicum chinense)
Julio Ernesto Muñoz-Falcon1, Ender Manuel Correa-Álvarez1, Rommel Igor León-Pacheco1, Gabriel Ernesto Silva-Acosta1, Marlon José Yacomelo-Hernandez1, Elias David Flórez-Cordero1
* Recepción: 11 de diciembre, 2023. Aceptación: 21 de marzo, 2024. Este trabajo formó parte del proyecto “F3 Obtención cultivares ajíes ID 1001368”, financiado por la Corporación Colombiana de Investigación Agropecuaria (AGROSAVIA) y el Ministerio de Agricultura y Desarrollo Rural de Colombia.
1 Corporación Colombiana de Investigación Agropecuaria – AGROSAVIA, Centro de Investigación Caribia. Km 6 vía Sevilla-Guacamayal, Zona Bananera, Magdalena, 478029, Colombia. jemunozf@agrosavia.co (autor para correspondencia, https://orcid.org/0000-0002-1375-2426); ecorrea@agrosavia.co (https://orcid.org/0000-0001-7876-5052); rleon@agrosavia.co (https://orcid.org/0000-0002-9928-5282); gesilva@agrosavia.co (http://orcid.org/0000-0002-6519-8973); myacomelo@agrosavia.co (https://orcid.org/0000-0002-5831-5246); edflorez@agrosavia.co (https://orcid.org/0000-0002-5157-9898).
Introducción. El ají dulce tipo topito (Capsicum chinense Jacq., sinense Murray) es un cultivo tradicional de la región Caribe de Colombia, el cual ocupa el tercer lugar entre las hortalizas sembradas en esta zona del país. Objetivo. Evaluar la interacción genotipo-ambiente y la estabilidad del rendimiento en nueve líneas avanzadas de ají dulce tipo topito obtenidas en el programa de mejoramiento genético de hortalizas de la Corporación Colombiana de Investigación Agropecuaria (AGROSAVIA). Materiales y métodos. En el año 2020, se establecieron cuatro ensayos de evaluación agronómica en las localidades de San Pelayo, Córdoba; Sincelejo, Sucre; Suan, Atlántico, y Zona Bananera, Magdalena, todas ubicadas en la región Caribe de Colombia. Para los experimentos se empleó un diseño de bloques completos al azar con cuatro repeticiones. Las variables respuesta fueron el rendimiento, el número de frutos por planta, el peso fresco del fruto y la longitud del fruto. Se realizaron análisis de estabilidad fenotípica del rendimiento mediante los métodos propuestos por Eberhart y Russell, y Lin y Binns. Resultados. Hubo interacción genotipo-ambiente significativa para variables asociadas al rendimiento de fruto. Mediante el análisis del comportamiento productivo de los materiales en los diferentes ambientes, se pudieron identificar las líneas L61 y L7 como genotipos sobresalientes con rendimientos estadísticamente superiores (p ≤ 0,05) al testigo regional utilizado y con características de fruto acordes a los requerimientos del mercado de consumo fresco regional. Conclusiones. Los genotipos L61 y L7 mostraron la mejor adaptación a los diferentes ambientes evaluados y mayor potencial productivo. El ambiente Zona Bananera alcanzó los mayores rendimientos, con 59,11 t ha-1 para L61 y 55,05 t ha-1 para L7.
Palabras claves: Capsicum chinense, fitomejoramiento, selección individual, cultivar.
Introduction. Sweet bell pepper (Capsicum chinense Jacq., sinense Murray) is a traditional crop of the Caribbean region of Colombia, which occupies the third place among the vegetables planted in this area this area of the country. Objective. To evaluate the genotype-environment interaction and yield stability in nine advanced lines of topito type sweet pepper obtained within the vegetable breeding program of the Colombian Agricultural Research Corporation (AGROSAVIA). Materials and methods. In the year 2020, four agronomic evaluation trials were established in the localities of San Pelayo, Córdoba; Sincelejo, Sucre; Suan, Atlántico, and Zona Bananera, Magdalena, all located in the Caribbean region of Colombia. For the experiments, a design of complete blocks at random with four repetitions was carried out. As variables for the answer, the yield, the number of fruits per plant, the fresh weight of the fruit and the length of the fruit are considered. Phenotypic yield stability analyses were carried out using the methods proposed by Eberhart and Russell, and Lin and Binns. Results. The results demonstrated the existence of a significant genotype-environment interaction for variables associated with fruit yield. Through the analysis of the productive behavior of materials in different environments, it was possible to identify the advanced lines L61 and L7 as outstanding genotypes with statistically superior yields (p ≤ 0.05) in the regional test used and with fruit characteristics according to the requirements of the regional fresh consumption market. Conclusions. The L61 and L7 genotypes showed the best adaptation to the different environments evaluated and the greatest productive potential. The Banana Zone environment achieved the highest yields, with 59.11 t ha-1 for L61 and 55.05 t ha-1 for L7.
Keywords: Capsicum chinense, plant breeding, individual selection, cultivars.
Capsicum L. (Solanaceae) es un género originario del continente americano, específicamente de zonas tropicales y templadas en América Central y del Sur, México y las Antillas. Incluye 33 especies y 10 variedades o variantes, de las cuales cinco han sido domesticadas: C. annuum L., C. baccatum L., C. chinense Jacq., C. frutescens L. y C. pubescens Ruiz & Pav (Carrizo et al., 2016; Heiser & Pickersgill, 1969; Heiser & Smith, 1953; Pérez-Castañeda et al., 2015). Estas son conocidas como ajíes, chiles o pimientos, y son de importancia para la agricultura por sus diversos usos alimenticios, industriales, medicinales y ornamentales (Srivastava & Mangal, 2019). Además de su importancia económica, los ajíes son una fuente importante de vitamina A y C, así como otros compuestos benéficos para la nutrición humana (Olatunji & Afolayan, 2018). En el año 2021, la producción mundial de ajíes fue de 36,2 millones de toneladas producidas en 2 millones de hectáreas, con un rendimiento promedio de 17,6 t ha-1 (Organización de las Naciones Unidas para la Alimentación y la Agricultura, 2021). Para 2022, en el Caribe colombiano se sembraron y cosecharon 3635 hectáreas con una producción de 25 150 toneladas y rendimientos máximos de 20 t ha-1, lo cual posicionó al ají dulce como la tercera hortaliza con mayor área de siembra de la región (Agronet, s.f.).
Las especies cultivadas del género Capsicum, entre ellas C. chinense, son conocidas por la pungencia de sus frutos; sin embargo, existen muchos tipos de ají que no presentan pungencia, los cuales son denominados ajíes dulces (Laurentin & Quevedo, 2020). La producción de ajíes dulces en la región Caribe de Colombia, obedece al uso de cultivares criollos tipo topito, los cuales se caracterizan por frutos de forma triangular que generalmente se comercializan en estado inmaduro (coloración verde). Estos son destinados al mercado regional por las características organolépticas del producto, las cuales son de gran interés en la preparación de los diferentes platos típicos de la gastronomía costeña y cuya demanda anual sobrepasa las 150 toneladas por año en Granabastos Barranquilla (Pinto Zapata et al., 2013). El cultivo ha mostrado ser compatible con las condiciones socioeconómicas de los productores de la región Caribe de Colombia en términos de unidades productivas con áreas de siembra predominantes de 0,25 ha, generación de empleo (≈ 650-730 jornales/ha), con rápidos retornos económicos debido al ciclo vegetativo corto, ciclo productivo prolongado y rentabilidad del cultivo (Correa-Álvarez, et al., 2019; Rúgeles et al., 2010).
Las interacciones genotipo-ambiente son un factor clave a estudiar en el fitomejoramiento, ya que su efecto resulta importante a la hora de seleccionar la estrategia de mejoramiento específica. La interacción entre factores ambientales y el genotipo es común en la mayoría de los rasgos cuantitativos de importancia económica, como rendimiento, altura de la planta, peso, entre otros (Teressa et al., 2021). En Colombia se han realizado múltiples estudios sobre la interacción genotipo-ambiente en caracteres productivos de especies de importancia de la familia de las solanáceas, como la papa, la berenjena o el lulo (León-Pacheco et al., 2020; Medina et al., 2009); sin embargo, no existe información del efecto genotipo-ambiente en cultivares de ají topito.
La productividad del cultivo del ají se puede ver afectada de forma negativa por causas atribuibles al estrés biótico y abiótico, que pueden variar mucho entre regiones (Barchenger et al., 2018). Uno de los objetivos principales de la mayoría de los programas de mejoramiento es desarrollar cultivares con rendimiento y componentes de rendimiento altos y estables. Para esto, los fitomejoradores utilizan la evaluación de genotipos en ensayos en múltiples ambientes como una técnica para determinar la estabilidad de un gran número de cultivares en diferentes ambientes (localidades y años) (León-Pacheco et al., 2020). La idea es reunir la mayor cantidad de información acerca del comportamiento en diversos ambientes con el fin de zonificar su explotación (Carrillo et al., 1991).
Las posiciones relativas entre los genotipos evaluados en diferentes ambientes a menudo difieren entre ellas, por lo que se dificulta la identificación de genotipos deseables (Eberhart & Russell, 1966; Echandi, 2005; Poysa et al., 1986). Los análisis de estabilidad son una herramienta de gran utilidad para los mejoradores puesto que permiten establecer el nivel de adaptación que determinados cultivares o líneas de mejora que pueden presentar ante condiciones ambientales favorables, desfavorables, o a ambas (Stoffella et al., 1995). Existen varias metodologías para estimar la estabilidad de cultivares, entre las más usadas se encuentran las propuestas por Eberhart y Russell (1966), y Lin y Binns (1988).
Un método útil para medir la interacción se basa en la regresión, en la cual un genotipo es considerado estable si su coeficiente de regresión (βi) es cercano a uno (1) y las desviaciones de la regresión (S2d) son próximas a cero (0) (Eberhart & Russell, 1966). El índice de Lin y Binns (Pi) constituye una medida única de la superioridad del comportamiento de un genotipo, definiéndose como el cuadrado medio de la distancia entre la respuesta de un genotipo y el genotipo de máxima respuesta en un ambiente dado. Con esta medida, la máxima respuesta en un ambiente se convierte en el testigo a considerar. La calificación del mejor genotipo es aquel que presente el valor global, lo que se interpreta como el genotipo más cercano al óptimo a través de los ambientes (Lin & Binns, 1988).
El presente estudio se realizó con la finalidad de evaluar la interacción genotipo-ambiente y la estabilidad del rendimiento en nueve líneas avanzadas de ají dulce tipo topito obtenidas dentro del programa de mejoramiento genético de hortalizas de la Corporación Colombiana de Investigación Agropecuaria (AGROSAVIA), en cuatro localidades de la región caribe de Colombia, lo cual contribuirá a la selección de nuevos cultivares con características agronómicas superiores, acordes con los requerimientos del productor y del mercado de consumo fresco a nivel regional.
La investigación se realizó durante el periodo marzo-octubre del 2020 en cuatro localidades de la región Caribe de Colombia, todas correspondientes a la zona de vida bosque seco tropical, según la clasificación de Holdridge (Holdridge, 1967). Las evaluaciones se realizaron en tres lotes comerciales de agricultores en los departamentos de Atlántico, Córdoba y Sucre, así como en una localidad establecida en el Centro de Investigación Caribia de AGROSAVIA, ubicada en el municipio de Zona Bananera, Magdalena (Cuadro 1).
Cuadro 1. Ambientes de la prueba de evaluación agronómica de líneas de ají dulce tipo topito (Capsicum chinense Jacq., sinense Murray), periodo marzo-octubre de 2020. Subregión Natural Caribe (seco y húmedo) de Colombia.
Table 1. Environments of the agronomic evaluation test of topito type sweet chili (Capsicum chinense Jacq., sinense Murray) lines, period March-October 2020. Caribbean Natural Subregion (Dry and Wet) of Colombia.
Se evaluaron un total de nueve líneas avanzadas F7 de ají dulce tipo topito (Capsicum chinense Jacq., sinense Murray), obtenidas mediante el método de selección de plantas individuales con prueba de progenie por el Programa de Mejoramiento Genético de Hortalizas de AGROSAVIA, Centro de Investigación Caribia, más un testigo regional que corresponde al cultivar nativo usado por los agricultores. Este no ha pasado por ningún proceso de fitomejoramiento sistemático y controlado, y su semilla es producida por los mismos agricultores (Cuadro 2).
Cuadro 2. Genealogía de las líneas avanzadas de ají dulce tipo topito (Capsicum chinense Jacq, sinense Murray), evaluado en la prueba de evaluación agronómica. 2020.
Table 2. Genealogy of advanced lines of topito type sweet pepper (Capsicum chinense Jacq, sinense Murray) to be evaluated in the Agronomic Evaluation Test. 2020.
El ensayo se estableció con un diseño de bloques completos al azar (DBCA), con diez tratamientos (nueve líneas avanzadas de ají dulce tipo topito más un testigo regional) y cuatro repeticiones en cada una de las cuatro localidades. Se utilizó una distancia de siembra de 1 m × 1 m entre surcos y plantas, respectivamente, lo que correspondió a una densidad de siembra de 10 000 plantas/ha. El tamaño de la unidad experimental fue de siete surcos, con cinco plantas por surco, para un total de 35 plantas por parcela. Las prácticas agronómicas y de manejo (preparación de suelos, fertilización, manejo de arvenses, plagas y enfermedades) se hicieron de acuerdo con el esquema de cultivo comercial.
Se recolectaron datos relacionados con las variables de rendimiento como peso fresco del fruto, número de frutos por planta y longitud del fruto. El rendimiento se estimó a partir de la cosecha de frutos maduros para uso comercial de todas las plantas que conforman la parcela. Los frutos cosechados se almacenaron en bolsas o canastillas plásticas identificadas con el número de la parcela para luego pesarlas por parcela en campo o en laboratorio. Se realizó la sumatoria de diez cosechas y se expresó en toneladas por hectárea.
El peso fresco del fruto se evaluó a partir de la primera cosecha. Se tomaron datos individuales de treinta frutos al azar por parcela y se registró el valor promedio. Para cada parcela se realizó un promedio de todas las cosechas y se expresó en gramos. El número de frutos por planta se estimó de manera indirecta a partir de los datos de peso fresco del fruto y peso total de frutos cosechados por parcela con base en los siguientes cálculos: a. Número de frutos por parcela = peso total cosechado por parcela (g) / peso fresco del fruto (g); b. Número de frutos por planta = número de frutos por parcela (#) / número de plantas cosechadas por parcela; c. Sumatoria de las cosechas, expresada en número.
La longitud de fruto se evaluó en treinta frutos al azar por cada parcela con un pie de rey o vernier digital y se registró el valor promedio. Para cada parcela se realizó un promedio de todas las cosechas y se expresó en centímetros.
En cada localidad se realizaron los respectivos análisis de varianza individuales, el análisis combinado de varianza y las pruebas de separación de medias Tukey al 5% previo a la verificación de los supuestos de la estadística paramétrica de normalidad y homocedasticidad de varianzas. Para los análisis descritos, se empleó el programa estadístico R Studio Versión 4.0.3 (R Core Team, 2020) y Microsoft Excel 365.
Para la variable rendimiento, los análisis de estabilidad fenotípica utilizados fueron los métodos propuestos por Eberhart y Russell (1966) y Lin y Binns (1988). Para ello, se emplearon los programas estadísticos GENES versión 2013.5.1 (Cruz, 2013)
El análisis Eberhart y Russell se realizó de conformidad con la ecuación 1.
(1)
Donde: Yij = promedio del genotipo i en el ambiente j; µi = media del genotipo i en todos los ambientes; βi = coeficiente de regresión que mide la respuesta del genotipo i a la variación ambiental; Ιj = índice ambiental, obtenido como la diferencia entre la media de todos los genotipos en el ambiente j menos la media general; δij = desvío de la regresión del genotipo i en el ambiente j; εij = la desviación de la regresión de la variedad y el ambiente.
En cada ambiente, índice ambiental se calculó por el desvío del promedio de todos los genotipos en ese ambiente, en relación con el promedio general: Ij = Yj – Y.
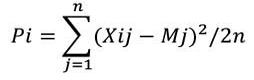
El índice de Lin y Binns se calculó con la ecuación 2.
(2)
Donde: Pi = índice de superioridad de i-ésimo cultivar; Xij = productividad de i-ésimo cultivar evaluado en la j-ésima localidad; Mj = respuesta máxima obtenida entre todos los cultivares en la j-ésima localidad; n = número de localidades.
Las variables respuesta registradas se sometieron a análisis de correlación fenotípica, genética y ambiental con el programa estadístico R Studio Versión 4.0.3. La significancia estadística de la correlación para cada uno de los coeficientes se determinó de acuerdo con Araméndiz Tatis et al. (2009), con base en la hipótesis nula: Ho: r = 0, versus la hipótesis alterna: Ha: r ≠ 0, mediante una prueba de ‘t’, y la ecuación 3.
(3)
La t calculada (tc) se comparó con una t tabla (tt) al nivel de significancia seleccionado de 0,05 y 0,01 con n = 2 grados de libertad. La regla de decisión fue la siguiente: si tc ≥ tt, entonces el valor de r (correlación) es estadísticamente diferente de cero.
El análisis combinado de varianzas reveló diferencias altamente significativas (p < 0,001) en la interacción genotipo-ambiente para las variables de rendimiento (REN) y número de frutos por planta (NFP), y diferencias significativas (p < 0,05) para el peso fresco del fruto (PFF). La longitud de fruto (LF) mostró diferencias altamente significativas (p < 0,001) en los factores ambiente y genotipo. La tabla de separación de medias de la interacción genotipo-ambiente para las variables REN y NFP muestra que los mejores tratamientos correspondieron a las líneas evaluadas en el ambiente Zona Bananera; además, destacan las líneas L61 y L7 por su grupo estadístico y posición ocupada en cada localidad (Cuadros 3 y 4).
Cuadro 3. Valores medios de la interacción genotipo-ambiente para las variables de rendimiento (t ha-1), del cultivo de ají dulce tipo topito (Capsicum chinense Jacq, sinense Murray). Prueba de Evaluación Agronómica, subregión natural Caribe. 2020.
Table 3. Mean values of the genotype-environment interaction for the variables yield (t ha-1), of the topito type sweet pepper (Capsicum chinense Jacq., sinense Murray) crop. Agronomic Evaluation Test, Caribbean Natural Subregion. 2020.
Cuadro 4. Valores medios de la interacción genotipo-ambiente para la variable número de frutos por planta NFP (#), del cultivo de ají dulce tipo topito (Capsicum chinense Jacq., sinense Murray). Prueba de evaluación agronómica, subregión natural Caribe, 2020.
Table 4. Average values of the genotype-environment interaction for the variable number of fruits per plant NFP (#), of the topito sweet pepper (Capsicum chinense Jacq., sinense Murray) crop. Agronomic Evaluation Test, Caribbean Natural Subregion, 2020.
El rendimiento mostró una amplia variación; se obtuvieron valores entre 59,11 t ha-1 para L61 en Zona Bananera hasta 13,13 t ha-1 para L55 en Suan. El mejor ambiente fue Zona Bananera con una media general de 46,53 t ha-1. Sincelejo y San Pelayo tuvieron medias generales similares de 24,27 y 22,67 t ha-1, respectivamente; mientras que Suan fue el ambiente de menor potencial productivo con una media general de 17,60 t ha-1. La línea L61 obtuvo el primer lugar en rendimiento en las localidades de Zona Bananera, San Pelayo y Sincelejo, mientras que en la localidad de Suan obtuvo la tercera posición. Las líneas L7 y L50 mostraron los mayores rendimientos en el ambiente Zona Bananera con 55,05 y 51,57 t ha-1, respectivamente. El testigo presentó valores intermedios dentro del grupo evaluado, sin llegar a estar entre los mejores cinco valores en ninguna de las localidades (Cuadro 3).
Al igual que para el rendimiento, la localidad de Zona Bananera fue el mejor ambiente para el número de frutos por planta, con una media general de 609 frutos por planta, lo cual está cerca de duplicar las medias generales de los ambientes Sincelejo y San Pelayo, que tuvieron medias generales similares entre sí, con 311 y 310 frutos por planta, respectivamente. Por su parte, Suan fue el segundo mejor ambiente con una media general de 383 frutos por planta. Las mejores interacciones fueron de las líneas L61, L7 y L50 en el ambiente Zona Bananera con 768, 759 y 690 frutos por planta, respectivamente (Cuadro 4). El peso fresco del fruto (PFF) presentó medias generales en los ambientes de Sincelejo, Zona Bananera y San Pelayo de 7,90, 7,71 y 7,33 g, respectivamente; mientras que Suan registró una media general de 4,60 g. Para el PFF, las mejores interacciones correspondieron a los genotipos L47 en Zona Bananera (8,77 g); L79 (8,56 g) y TEST (8,47 g) en Sincelejo, y L47 en San Pelayo con 8,37 g (Cuadro 5).
Cuadro 5. Valores medios de la interacción genotipo-ambiente para la variable peso fresco del fruto (g) del cultivo de ají dulce tipo topito (Capsicum chinense Jacq., sinense Murray). Prueba de Evaluación Agronómica, subregión natural Caribe. 2020.
Table 5. Mean values of the genotype-environment interaction for the variable fresh weight of the fruit (g) of the topito type sweet pepper (Capsicum chinense Jacq., sinense Murray) crop. Agronomic Evaluation Test, Caribbean Natural Subregion. 2020.
Para la variable longitud de fruto, se presenta el análisis de los factores genotipos y ambientes por separados, debido a que no hubo diferencias significativas en la interacción genotipo-ambiente. Los mejores ambientes fueron San Pelayo y Zona Bananera con promedios de 5,97 y 5,64 cm, respectivamente (Cuadro 6). Todos los cultivares evaluados, a excepción de la línea L50, superaron los 5 cm de longitud. Las líneas L61 y L68 fueron estadísticamente superiores en longitud de fruto, con promedios de 6,37 y 6,32 cm, respectivamente, superando a la línea testigo que presentó valores promedio de 5,80 cm (Cuadro 7).
Cuadro 6. Valores medios de los ambientes para la variable longitud de fruto (cm) del cultivo de ají dulce tipo topito (Capsicum chinense Jacq., sinense Murray). Prueba de evaluación agronómica, subregión natural Caribe. 2020.
Table 6. Mean values of the environments for the variable fruit length (cm) of the topito type sweet pepper (Capsicum chinense Jacq., sinense Murray) crop. Agronomic Evaluation Test, Caribbean Natural Subregion. 2020.
Cuadro 7. Valores medios de los genotipos para la variable longitud de fruto (cm) del cultivo de ají dulce tipo topito (Capsicum chinense Jacq., sinense Murray). Prueba de evaluación agronómica, subregión natural Caribe. 2020.
Table 7. Mean values of the genotypes for the variable fruit length (cm) of the topito sweet pepper (Capsicum chinense Jacq., sinense Murray) crop. Agronomic Evaluation Test, Caribbean Natural Subregion. 2020.
En el análisis de Eberhart y Russel se observó que los genotipos con βi cercanos a uno fueron TEST, L68, L55, L50 y L17. Las líneas con mejor adaptación a ambientes desfavorables fueron TEST, L17 y L79, mientras que las líneas L68, L55 y L50 fueron las de mejor respuesta en ambientes favorables. Además, los genotipos con S2d próximos a cero (0) fueron TEST, L61, L7 y L50. Acorde a lo anterior, los genotipos más estables fueron el TEST, L61, L7 y L50 (Cuadro 8).
Cuadro 8. Valores y ranking de estabilidad del rendimiento de diez genotipos de ají dulce tipo topito (Capsicum chinense Jacq., sinense Murray) en cuatro ambientes del Caribe colombiano. Prueba de evaluación agronómica, subregión natural Caribe, 2020.
Table 8. Values and ranking of yield stability of ten topito sweet chili (Capsicum chinense Jacq., sinense Murray) genotypes in four environments of the Colombian Caribbean. Agronomic Evaluation Test, Caribbean Natural Subregion. 2020.
Al aplicar el análisis de Lin y Binns (1988), los mejores índices de estabilidad fenotípica general se obtuvieron en las líneas L61, L7, L50 y L79. Las líneas L61, L7, L50 y L55 mostraron los mayores índices de superioridad en ambientes favorables; no obstante, las líneas L61, L47, L7 y L79 fueron las que registraron los mayores índices de superioridad en ambientes desfavorables (Cuadro 8).
De acuerdo con el rendimiento promedio general de las líneas en los ambientes, estos se pueden clasificar de la siguiente manera: Zona Bananera como favorable (media general de las líneas en el ambiente = 46,5 t ha-1), Sincelejo (22,7 t ha-1) y San Pelayo (24,3 t ha-1) como ambientes promedios, y Suan (17,2 t ha-1) como ambiente desfavorable. La línea L61 ocupó el primer lugar para el rendimiento en los ambientes favorables y promedios (Zona Bananera = 59,1 t ha-1; Sincelejo = 30,7 t ha-1; San Pelayo = 29,3 t ha-1), y el tercer lugar en el ambiente desfavorable (Suan = 18,9 t ha-1); mientras que la línea L7 ocupó el segundo lugar en el ambiente favorable (Zona Bananera = 55,1 t ha-1), la posición cuarta (San Pelayo = 25,1 t ha-1) y quinta (Sincelejo = 24,4 t ha-1) en los ambientes promedios, y la cuarta posición (Suan = 18,4 t ha-1) en el ambiente desfavorable (Cuadros 3 y 5). Estos resultados indican que, para los genotipos L61 y L17, su alto potencial productivo es una característica genética.
Los coeficientes de correlación fenotípicas (rF) y genotípicas (rG) entre las variables revelan una correlación positiva y altamente significativa entre el rendimiento (REN) y el número de frutos por planta (NFP), mientras que para las variables peso fresco del fruto (PFF) y largo del fruto (LF) no se detectaron correlaciones significativas con el rendimiento para la rF y rG (Cuadro 9). Los coeficientes de correlación ambiental (rA) entre el par de variables REN con LF, NFP con PFF y LF con NFP mostraron una correlación negativa y significativa. Para estos tres casos, los valores de rA resultaron ser mayores a los valores de rF y rG, lo que implica la existencia de efectos ambientales y/o factores no aditivos sobre el nivel real de expresión de la correlación en tales caracteres.
Cuadro 9. Coeficientes de correlaciones fenotípicas, genéticas y ambientales para las variables asociadas a rendimiento de ají topito (Capsicum chinense Jacq, sinense Murray), en cuatro ambientes del Caribe colombiano. Prueba de evaluación agronómica, subregión natural Caribe. 2020.
Table 9. Phenotypic, genetic, and environmental correlation coefficients for the variables associated with aji topito (Capsicum chinense Jacq., sinense Murray) yield in four environments of the Colombian Caribbean. Agronomic Evaluation Test, Caribbean Natural Subregion. 2020.
Las diferencias significativas encontradas en la interacción genotipo-ambiente para las variables REN, NFP y PFF indican que los cultivares responden de diferente manera a los cambios ambientales, lo cual concuerda con lo reportado por varios autores (Gurung et al., 2012; Rao & Tembhurne, 2013), quienes coinciden en que variables de tipo cuantitativo, como el rendimiento y sus componentes, tienen una alta proporción de la varianza asociada al factor ambiental. Esto afianza la necesidad de establecer ensayos en múltiples ambientes que permitan a los fitomejoradores detectar aquellos materiales con mayor potencial de rendimiento. De igual manera, Akçura et al. (2005) señalan que los fitomejoradores necesitan desarrollar genotipos estables que puedan comportarse de manera estable bajo una variedad de condiciones ambientales.
De manera general, las líneas de ají topito evaluadas mostraron mayores valores de rendimiento, número de fruto por plantas y peso de fruto en la localidad de Zona Bananera. Esto podría deberse a que esta localidad es el principal ambiente de selección del Programa de Mejoramiento Genético de Hortalizas de AGROSAVIA, Centro de Investigación Caribia, y a que las líneas estén mejor adaptadas a este ambiente. Además, al estar ubicado dentro de un centro de investigación, el nivel tecnológico aplicado al cuidado del cultivo puede ser superior al de las otras tres locaciones ubicadas en fincas de agricultores. Una situación similar a esta fue reportada por Barchengeret al. (2018) en líneas altamente homocigotas de ají evaluadas en diferentes localidades de Asia, donde los mejores desempeños productivos de las líneas fueron obtenidos en las localidades establecidas en el ambiente de selección del programa de mejoramiento genético.
La no significancia de la interacción genotipo-ambiente para el largo de fruto coincide con lo señalado por Stommel y Griesbach (2008), quienes encontraron que características asociadas a la forma del fruto tienen una alta heredabilidad y una baja influencia del componente ambiental. Por ello, el mercado objetivo debe ser seleccionado al principio del programa de mejoramiento genético, para fijar estos rasgos desde el inicio y poder centrarse en mejorar otras características con alta influencia ambiental, como el alto rendimiento, dentro de los tipos de mercados específicos. De acuerdo con sondeos del mercado de consumo fresco de ají dulce tipo topito en la región Caribe de Colombia realizados por AGROSAVIA a consumidores y comercializadores, los parámetros de calidad para peso y longitud de fruto corresponden a ≥6 g y ≥5 cm, respectivamente (Correa-Álvarez et al., 2019). Estos parámetros fueron aplicados en los procesos de selección de las líneas en el programa de fitomejoramiento. En términos generales, todas las líneas evaluadas cumplieron con este criterio de calidad de fruto.
Cuando se examinó la naturaleza de la interacción genotipo-ambiente, se observaron cambios en el rango del genotipo y diferencias en la magnitud. El cambio en el rango de un genotipo entre ambientes disminuye la utilidad de la media de rendimiento por cultivar como único parámetro para medir la estabilidad, por lo que se hace necesario realizar análisis de estabilidad para determinar con mayor certeza esta cualidad. Según Eberhart y Russell (1966), la estabilidad es una característica genética, y los cultivares con amplia adaptación tienen una baja interacción genotipo-ambiente. Sin embargo, cabe aclarar que el concepto de estabilidad aplicado en el mejoramiento de plantas con fines comerciales corresponde al de estabilidad en el sentido agronómico, no biológico. La estabilidad agronómica se refiere a la capacidad de un determinado genotipo de responder de forma positiva a condiciones ambientales favorables; mientras que la estabilidad biológica hace referencia al comportamiento constante, sin variación, de un genotipo a través de todos los ambientes donde es evaluado (Vallejo & Estrada, 2013).
De acuerdo con los parámetros Eberhart y Russell (S2d/βi), y Lin y Binns (Pi), las líneas L61 y L7 podrían señalarse como genotipos de amplia adaptación de acuerdo con los rendimientos obtenidos por cada uno de ellos en los diferentes ambientes. No obstante, seleccionar genotipos en diferentes ambientes con base en el índice de selección no es suficiente, ya que se podría incurrir en evaluar el efecto promedio de todos los genotipos en distintas condiciones ambientales, y descartar el efecto individual de algunos ambientes sobre algunos genotipos en particular (León et al., 2021).
En el estudio se usaron diferentes índices de estabilidad que demuestran la superioridad de los genotipos con amplia adaptabilidad, pero también con buen comportamiento en ambientes tanto favorables como desfavorables, respectivamente. Autores como Koundinya et al. (2019), Bhushan y Samnotra (2017) y Mehta et al. (2011) han encontrado comportamientos similares al estudiar la estabilidad de la producción en otras especies pertenecientes a la familia de solanáceas. Esto sugiere que los cultivares se pueden seleccionar para ambientes específicos (Aina et al., 2009), y también discriminar genotipos y ambientes en los análisis de estabilidad que estén correlacionados de forma positiva o negativa. Los resultados obtenidos al aplicar los métodos de estabilidad indican que es posible identificar grupos de genotipos con valores extremos para los índices, lo que permite la selección de genotipos de alto y bajo desempeño a través de los ambientes. En el caso de genotipos que presentan amplia variación en su comportamiento a través de los ambientes, el método no es tan preciso y podría ser necesario considerar relacionar la desviación estándar a través de ambientes para cada genotipo respecto del índice de superioridad estimado (León et al., 2020).
Según el análisis de correlaciones entre las variables estudiadas, el número de frutos por planta fue la única variable correlacionada de manera significativa y positiva con el rendimiento. Esto se debe a que, en términos unitarios, la principal contribución al rendimiento de un cultivo, donde el índice de cosecha económico está determinado por el total de acumulación de biomasa en los frutos, se relaciona más con el valor escalar de los frutos cosechados que con su peso individual o con características particulares, como su longitud o anchura, entre otras (Alemán Pérez et al., 2016; Monge-Pérez et al., 2021). Para el caso de este estudio, un mayor número de frutos de ajíes cosechados por planta conllevará a un mayor rendimiento económico final, y correlaciones positivas entre estas variables. Lo anterior concuerda con lo señalado por Barchenger et al. (2018), quienes, al estudiar los componentes de rendimientos de líneas de mejora de ají en diferentes países de Asia, encontraron que el peso de la fruta no se correlaciona de forma significativa con el rendimiento y sugirieron que el rendimiento podría estar más influenciado por características como el número de frutos por planta.
Se observó alta proporción de la varianza asociada al factor ambiental en la expresión de las variables, rendimiento, número de fruto por planta y peso de fruto, lo que implica la necesidad de establecer ensayos multilocalidad para su estudio. Las líneas L61 y L7 se identificaron como genotipos sobresalientes por su estabilidad fenotípica en diferentes ambientes de la costa colombiana.
Zona Bananera, Sincelejo y San Pelayo se identificaron como los ambientes con las características edafoclimáticas más favorables para la producción de las líneas ají topito evaluadas, mientras que Suan resultó el ambiente menos favorable para su producción.
Los autores expresan su agradecimiento a la Corporación Colombiana de Investigación Agropecuaria (AGROSAVIA) y al Ministerio de Agricultura y Desarrollo Rural de Colombia por la financiación pública del proyecto “F3 Obtención cultivares ajíes ID 1001368”, del cual derivó la información que se comparte en este documento.
Agronet. (s.f.). Área cosechada, producción y rendimiento de ají dulce 2007-2021. Recuperado febrero, 2021 de https://www.agronet.gov.co/estadistica/Paginas/home.aspx?cod=1
Aina, O. O., Dixon, A. G. O., Paul, I., & Akinrinde, E. A. (2009). G×E interaction effects on yield and yield components of cassava (landraces and improved) genotypes in the savanna regions of Nigeria. African Journal of Biotechnology, 8(19) 4933–4945. https://www.ajol.info/index.php/ajb/article/view/65189
Akçura, M., Kaya, Y., & Taner, S. (2005). Genotype-environment interaction and phenotypic stability analysis for grain yield of durum wheat in the Central Anatolian Region. Turkish Journal of Agriculture and Forestry, 29(5), 369–375. https://journals.tubitak.gov.tr/agriculture/vol29/iss5/5?utm_source=journals.tubitak.gov.tr%2Fagriculture%2Fvol29%2Fiss5%2F5&utm_medium=PDF&utm_campaign=PDFCoverPages
Alemán Pérez, R. D., Domínguez Brito, J., Rodríguez Guerra, Y., & Soria Re, S. (2016). Indicadores morfológicos y productivos del cultivo del tomate en invernadero con manejo agroecológico en las condiciones de la Amazonía Ecuatoriana. Centro Agrícola, 43(1), 71–76. http://cagricola.uclv.edu.cu/index.php/es/volumen-43-2016/numero-1-2016/307-indicadores-morfologicos-y-productivos-del-cultivo-del-tomate-en-invernadero-con-manejo-agroecologico-en-las-condiciones-de-la-amazonia-ecuatoriana
Araméndiz Tatis, H., Cardona Ayala, C. E., & Espitia Camacho, M. M. (2009). Correlaciones fenotípicas, ambientales y genéticas en berenjena. Acta Agronómica, 58(4), 285–291.
Barchenger, D. W., Clark III, R. A., Gniffke, P. A., Ledesma, D. R., Lin, S., Hanson, P., & Kumar, S. (2018). Stability of yield and yield components of pepper (Capsicum annuum), and evaluation of publicly available predictive meteorological data in East and Southeast Asia. HortScience, 53(12), 1776–1783. https://doi.org/10.21273/HORTSCI13581-18
Bhushan, A., & Samnotra, R. K. (2017). Stability studies for fruit yield and quality traits in brinjal (Solanum melongena L.). Indian Journal of Agricultural Research, 51(4) 375–379. https://doi.org/10.18805/ijare.v51i04.8426
Carrillo, N., Vallejo, F. A., & Estrada, E. I. (1991). Adaptabilidad y estabilidad fenotípica de líneas e híbridos de pimentón, Capsicum annuum, L. Acta Agronómica, 41(1-4), 21–36. https://repositorio.unal.edu.co/handle/unal/29452
Carrizo, C., Barfuss, M. H. J., Sehr, E. M., Barboza, G. E., Samuel, R., Moscone, E. A., & Ehrendorfer, F. (2016). Phylogenetic relationships, diversification and expansion of chili peppers (Caspicum, Solanaceae). Annals of Botany, 118(1), 35–51. https://doi.org/10.1093/aob/mcw079
Correa-Álvarez, E., León-Pacheco, R., Lobato-Ureche, M., García-Davila, M., Muñoz-Perez, C., & Aramendiz-Tatis, H. (2019). Caracterización morfoagronómica de la colección de germoplasma de ají dulce (Capsicum spp.) del Caribe colombiano. Temas Agrarios, 24(2), 81–95. https://doi.org/10.21897/rta.v24i2.1998
Cruz, C. (2013). Programa GENES V. 2013, 5.1.-Aplicativo computacional em genética e estatística. Universidade Federal de Viçosa.
Eberhart, S. A., & Russell, W. A. (1966). Stability parameters for comparing varieties. Crop Science, 6(1), 36–40. https://doi.org/10.2135/cropsci1966.0011183X000600010011x
Echandi, C. R. (2005). Estabilidad fenotípica del rendimiento y adaptación en líneas de chile jalapeño (Capsicum annuum L.) durante la época lluviosa en Costa Rica. Agronomía Costarricense, 29(2), 27–44. https://www.redalyc.org/articulo.oa?id=43629203
Gurung, T., Techawongstien, S., Suriharn, B., & Techawongstien, S. (2012). Stability analysis of yield and capsaicinoids content in chili (Capsicum spp.) grown across six environments. Euphytica, 187, 11–18. https://doi.org/10.1007/s10681-012-0672-6
Heiser, C. B., & Pickersgill, B. (1969). Names for the cultivated species (Solanaceae). Taxon, 18(3), 277–283. https://doi.org/10.2307/1218828
Heiser, C. B., & Smith, P. G. (1953). The cultivated Capsicum peppers. Economic Botany, 7(3), 214–227.
Holdridge, L. R. (1967). Life zone ecology. Tropical Science Center.
Koundinya, A. V. V., Pandit, M. K., Ramesh, D., & Mishra, P. (2019). Phenotypic stability of eggplant for yield and quality through AMMI, GGE and cluster analyses. Scientia Horticulturae, 247, 216–223. https://doi.org/10.1016/j.scienta.2018.12.019
Laurentin, H., & Quevedo, M. (2020). Phenotypic characterization of three Venezuelan sweet pepper (Capsicum chinense Jacq.). Agronomía Mesoamericana, 31(3), 729–741. https://doi.org/10.15517/am.v31i3.40302
León, R., Rosero, A., García, J. L., Morelo, J., Orozco, A., Silva, G., de la Ossa, V., Correa, E., Cordero, C., Villalba, L., Belalcazar, J., & Ceballos, H. (2021). Multi-trait selection indices for identifying new cassava varieties adapted to the Caribbean region of Colombia. Agronomy, 11(9), Article 1694. https://doi.org/10.3390/agronomy11091694
León-Pacheco, R. I., Gómez-Correa, J. C., Cadena-Torres, J., Cantero-Rivero, J. A., Correa-Álvarez, E. M., Espinosa-Carvajal, M. R., Ibáñez-Miranda, K. I., de la Ossa-Albis, V. A., Pérez-Canteros, S. P., & Romero-Ferrer, J. L. (2020). Estabilidad fenotípica de genotipos promisorios de berenjena (Solanum melongena L.) para la región Caribe de Colombia. Acta Agronómica, 69(3), 188–195.
Lin, C. S., & Binns, M. R. (1988). A superiority measure of cultivar performance for cultivar × location data. Canadian Journal of Plant Science, 68(1), 193–198. https://doi.org/10.4141/cjps88-018
Medina, C. I., Lobo, M., & Martínez, E. (2009). Revisión del estado del conocimiento sobre la función productiva del lulo (Solanum quitoense Lam.) en Colombia. Ciencia y Tecnología Agropecuaria, 10(2), 167–179. https://doi.org/10.21930/rcta.vol10_num2_art:139
Mehta, N., Khare, C. P., Dubey, V. K., & Ansari, S. F. (2011). Phenotypic stability for fruit yield and its components in rainy season in brinjal (Solanum melongena L.) of Chhattisgarh plains. Electronic Journal of Plant Breeding, 2(1), 77–79. https://www.ejplantbreeding.org/index.php/EJPB/article/view/1665
Monge-Pérez, J. E., & Loría-Coto, M. (2021). Determinación de criterios de selección para el rendimiento de tomate (Solanum lycopersicum L.) cultivado bajo invernadero. Avances en Investigación Agropecuaria, 25(1), 7–19. https://revistasacademicas.ucol.mx/index.php/agropecuaria/article/view/207
Olatunji, T. L., & Afolayan, A. J. (2018). The suitability of chili pepper (Capsicum annuum L.) for alleviating human micronutrient dietary deficiencies: A review. Food Science & Nutrition, 6(8), 2239–2251. https://doi.org/10.1002/fsn3.790
Organización de las Naciones Unidas para la Alimentación y la Agricultura. (2021). FAOSTAT. Datos sobre alimentación y agricultura. https://www.fao.org/faostat/es/#home
Pérez-Castañeda, L. M., Castañón-Nájera, G., Ramírez-Meraz, M., & Mayek-Pérez, N. (2015). Avances y perspectivas sobre el estudio del origen y la diversidad genética de Capsicum spp. Ecosistemas y Recursos Agropecuarios, 2(4), 117–128. https://doi.org/10.19136/era.a2n4.721
Pinto Zapata, M. J., Correa Álvarez, E. M., Páez Redondo, A. R., Jiménez Mass, N., Guzmán Rozo, N., & Baquero Maestre, C. (2013). Modelo productivo del cultivo del ají topito (Capsicum spp.) para la región Caribe. Corporación Colombiana de Investigación Agropecuaria. https://doi.org/10.21930/agrosavia.modeloproductivo.2013.1
Poysa, V. W., Garton, R., Courtney, W. H., Metcalf, J. G., & Muehmer, J. (1986). Genotype-environment interactions in processing tomatoes in Ontario. Journal of the American Society for Horticultural Science, 111(2), 293–297. https://doi.org/10.21273/JASHS.111.2.293
R Core Team. (2020). R: The R project for statistical computing (R version 4.0.3). R Foundation for Statistical Computing. https://www.r-project.org/
Rao, S. K., & Tembhurne, B. V. (2013). Stability analysis in chilli (Capsicum annuum L.). Journal of Spices and Aromatic Crops, 22(2), 154–164. https://updatepublishing.com/journal/index.php/josac/article/view/5024
Rúgeles, L., Ávila, J., Morales, A., Huertas, A., Guaitero, B., & Bonilla, C. (2010). Agenda prospectiva de investigación y desarrollo tecnológico para la cadena de hortalizas en Colombia: salsa de ají. Ministerio de Agricultura y Desarrollo Rural. http://hdl.handle.net/20.500.12324/12660
Srivastava, A., & Mangal, M. (2019). Capsicum Breeding: History and Development. In N. Ramchiary, & C. Kole (Eds.), The Capsicum Genome. Compendium of Plant Genomes. Springer. https://doi.org/10.1007/978-3-319-97217-6_3
Stoffella, P. J., Locascio, S. J., Howe, T. K., Olson, S. M., Shuler, K. D., & Vavrina, Ch. S. (1995). Yield and fruit size stability differs among bell pepper cultivars. Journal of the American Society for Horticultural Science, 120(2), 325–328. https://doi.org/10.21273/JASHS.120.2.325
Stommel, J. R., & Griesbach, R. J. (2008). Inheritance of fruit, foliar, and plant habit attributes in Capsicum. Journal of the American Society for Horticultural Science, 133(3), 396–407. https://doi.org/10.21273/JASHS.133.3.396
Teressa, T., Semahegn, Z., & Bejiga, T. (2021). Multi environments and genetic-environmental interaction (GxE) in plant breeding and its challenges: a review article. International Journal of Research Studies in Agricultural Sciences, 7(4), 11–18. https://doi.org/10.20431/2454-6224.0704002
Vallejo, F. A., & Estrada, E. I. (2013). Mejoramiento genético de plantas (2.ª ed.). Universidad Nacional de Colombia, sede Palmira.
