Métodos & Materiales / LanammeUCR / ISSN impreso: 2215-342X / ISSN electrónico: 2215-4558 / Volumen 6 / Número 1 / Diciembre 2016

Prueba de vibración ambiental de puente tipo viga cajón de concreto presforzado

AMBIENT VIBRATION TEST OF A PRESTRESSED CONCRETE BOX GIRDER BRIDGE

Eduardo José Montalto Bolaños

Estudiante de Ingeniería Civil

Universidad de Costa Rica, Costa Rica

eduardo.montaltobolanos@gmail.com

Ing. Yi Cheng Liu Kuan, M.Sc.

Profesor de la Escuela de Ingeniería Civil

Universidad de Costa Rica, Costa Rica

yi.liukuan@ucr.ac.cr

Fecha de recepción: 28 de Junio de 2016 / Fecha de aprobación: 26 de Enero de 2017

RESUMEN

Este artículo presenta los resultados de un monitoreo basado en vibraciones de un puente simplemente apoyado tipo viga cajón de concreto presforzado. La estructura evaluada corresponde al puente sobre el río Tenorio en la Ruta Nacional 1, Costa Rica, el cual fue construido en el año 2014. El objetivo del estudio fue registrar la respuesta dinámica del puente en condiciones operacionales y con base en estos datos identificar sus modos de vibración utilizando el método de identificación de subespacios estocásticos basado en covarianzas (SSI – COV). La prueba de vibración se llevó a cabo empleando un sistema de monitoreo híbrido desarrollado por el LanammeUCR. Por medio de acelerómetros uniaxiales se registraron las aceleraciones en 25 puntos distintos del puente durante aproximadamente 40 minutos. A partir del análisis realizado se lograron identificar nueve modos de vibración en el rango de 0 a 25 Hz, incluyendo modos de flexión vertical, torsión y un modo de flexión transversal.

PALABRAS CLAVE: monitoreo de salud estructural, análisis modal operacional, vibraciones ambientales, puente tipo viga cajón, evaluación de puentes.

ABSTRACT

This paper presents the results of an off-line vibration based monitoring of a simply-supported, prestressed concrete box girder bridge. The structure evaluated was the Tenorio River Bridge in National Route 1, Costa Rica, which was built in 2014. The purpose of the study was to register the dynamic response of the bridge under operational conditions and to identify its vibration modes using the covariance driven stochastic subspace identification method (SSI – COV). The ambient vibration test was carried out using a hybrid monitoring system developed by LanammeUCR. Uniaxial accelerometers were used to register the accelerations at 25 different locations on the bridge for approximately 40 minutes. Through the analysis of the data, nine vibration modes were identified in the frequency range of 0 to 25 Hz, including vertical bending modes, torsional modes and one transverse bending mode.

KEYWORDS: structural health monitoring, operational modal analysis, ambient vibrations, box girder bridge, bridge evaluation

1. INTRODUCCIÓN

Los puentes son elementos claves dentro de un sistema de transportes y su funcionamiento puede tener impactos importantes en el ámbito económico y social de un país. Sin embargo, los puentes, al igual que todas las estructuras civiles, se deterioran con el tiempo. En el caso de Costa Rica, la mayoría de los puentes fueron construidos entre 1955 y 1965, por lo que aproximadamente el 40% de estas estructuras han sobrepasado su vida útil (Ortíz, 2012) Además, se ha establecido que la mayoría de ellos presenta un deterioro importante debido a la falta de mantenimiento; casos de deterioro usuales incluyen daños en la losa, daños en riostras en puentes de acero, desplazamientos de las vigas principales por movimientos sísmicos pasados, deformaciones considerables en vigas de concreto, socavación de pilas y bastiones, y daños en accesorios tales como juntas de expansión y barandas (JICA, 2007).

Dadas estas circunstancias, los programas de mantenimiento y evaluación de puentes son de gran importancia. El enfoque tradicional para estas actividades ha sido realizar inspecciones visuales rutinarias e inspecciones visuales detalladas en caso de que se detecte un deterioro importante en la estructura. No obstante, las inspecciones visuales son cualitativas y requieren complementarse con información cuantitativa que permita evaluar el desempeño y grado de deterioro de las estructuras de una forma más consistente y objetiva.

Dentro de este contexto, el área de monitoreo de salud estructural ha surgido para el desarrollo de métodos de evaluación global no destructiva que permitan valorar el estado de una estructura y detectar y cuantificar daños con base en información cuantitativa que sea confiable y objetiva. Estos métodos permiten determinar el nivel de desempeño, capacidad y vida útil remanente de las estructuras evaluadas. Entre ellos, el monitoreo basado en vibraciones ha adquirido especial relevancia. Este se fundamenta en la evaluación de las estructuras por medio de la detección de cambios en su respuesta vibratoria, usualmente haciendo uso de modelos analíticos para la interpretación de los resultados. Estas técnicas se han desarrollado y aplicado ampliamente en las áreas de ingeniería mecánica y aeronáutica, y en los últimos 20 años se han incorporado a la evaluación de obras civiles.

Para implementar un monitoreo basado en vibraciones, la medición de la respuesta estructural dinámica se puede llevar a cabo por medio de pruebas de vibración forzada o pruebas de vibración ambiental. En las pruebas de vibración forzada se introduce una excitación conocida a la estructura por medio de dispositivos tales como martillos de impacto o vibradores servohidráulicos. En las pruebas de vibración ambiental se registra la respuesta de la estructura en condiciones operacionales, en las cuales el viento y el tráfico vehicular son las principales fuentes de excitación (Karbhari & Lee, 2009).

Las pruebas de vibración ambiental presentan varias ventajas sobre las pruebas de vibración forzada, incluyendo que son más rápidas, menos costosas y no requieren que se interrumpa el tráfico vehicular (Magalhães, 2010). La identificación de los parámetros modales a partir de este tipo de pruebas se denomina análisis modal operacional. Entre los métodos que se han desarrollado para estos fines destaca el método SSI – COV. Este método ha sido ampliamente estudiado y utilizado para extraer las propiedades dinámicas de puentes (Peeters, 2000; Pridham & Wilson, 2002; Londoño, Desjardins & Lau, 2004; Magalhães, 2010).

El presente estudio corresponde a un caso práctico de la aplicación de monitoreo basado en vibraciones en el país. Por medio de una prueba de vibración ambiental se ha evaluado el puente sobre el río Tenorio en la Ruta Nacional 1, el cual fue construido en el año 2014. La identificación de sus parámetros modales (frecuencias naturales, formas modales y razones de amortiguamiento) se llevó a cabo implementando el método SSI – COV. Este trabajo permite generar conocimiento en torno a la aplicación de estos métodos de evaluación de puentes en el contexto nacional. Asimismo, este estudio presenta la particularidad de que la estructura evaluada está recién construida y en estado sano, lo cual permite que se pueda estudiar la evolución de sus propiedades dinámicas conforme envejece y aumenta su grado de deterioro por medio de monitoreos posteriores.

1.1. Identificación de subespacios estocásticos basado en covarianzas (SSI – COV)

La derivación completa del método está dada por Peeters (2000). Inicialmente se tiene que la ecuación del movimiento para un sistema lineal e invariante en el tiempo de п grados de libertad es,

donde M, C, K Rnxn son las matrices de masa, amortiguamiento y rigidez; q''(t), q'(t), q'(t) Rn son los vectores de aceleración, velocidad y desplazamiento; f(t) Rn es el vector de las fuerzas aplicadas al sistema.

Esta ecuación se puede convertir a una formulación de primer orden en tiempo discreto con un periodo de muestreo t, en la cual se asume que la excitación del sistema es ruido blanco. Esto se conoce como el modelo de espacio de estados estocástico en tiempo discreto,

en donde k N denota el instante de tiempo (t=kt),
A R2nx2n es la matriz de estado, C Rlx2n es la matriz de salida, xk R2n es el vector de estado, yk Rl es el vector de mediciones, wk R2n es el ruido del proceso debido a perturbaciones e inexactitud del modelo, y vk R 2n es el ruido debido a la inexactitud de los sensores, yl es la cantidad de grados de libertad medidos. El vector de estado incluye los desplazamientos y velocidades del sistema,

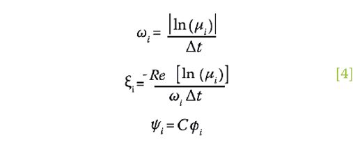
Los parámetros modales del sistema dinámico se pueden extraer de la matriz A por medio de sus autovalores μi y sus autovectores φi. Las frecuencias naturales ωi, las fracciones de amortiguamiento ξi y las formas modales observables ψi están dados por,

Por lo tanto, para identificar estas propiedades dinámicas únicamente se necesita identificar las matrices A y C; en esto se fundamenta el método SSI – COV. El primer paso es crear una matriz de Hankel H1,2i R (2i) l x N que incluye los vectores de medición yk de la siguiente manera,

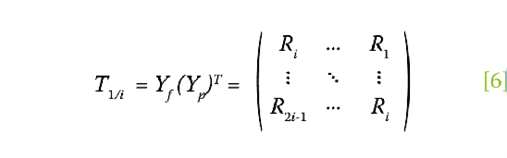
Seguidamente se ensambla la matriz de bloques de Toeplitz T1/i R li x li que contiene las matrices de covarianza Ri según la siguiente expresión,

Las matrices de covarianza Ri presentan la siguiente propiedad,

en donde G R2nxl corresponde a la matriz de covarianza entre el siguiente estado y la salida,

Con base en esta propiedad, se puede factorizar la matriz de Toeplitz en la matriz de observabilidad extendida Oi R lix2n y la matriz estocástica de controlabilidad extendida invertida Γi R 2nxli

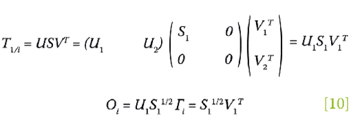
Posteriormente se aplica la descomposición de valores singulares a la matriz de Toeplitz para hallar Oi y Γi de la siguiente forma,

en donde U Rli x li y V Rli x li son matrices ortonormales y S Rli x li es una matriz diagonal que contiene los valores singulares positivos en orden descendiente.

Una vez que se ha realizado el paso anterior, se puede estimar la matriz de salida C a partir de las primeras l filas de la matriz de observabilidad Oi. Por su parte, la matriz de estado A se obtiene a partir de la estructura de Oi de acuerdo con la siguiente expresión,

1.2. Descripción del puente

El puente sobre el río Tenorio (Figura 1) se ubica en la Carretera Interamericana Norte, Ruta Nacional No.1. Esta obra fue construida en el año 2014 como parte de la ampliación y rehabilitación de la carretera Cañas – Liberia, en la cual se contrató la construcción de 18 puentes nuevos y la rehabilitación de 18 puentes existentes. El puente posee una longitud entre centros de apoyos de 56,50 m y consta de un único tramo (Figura 2). La superestructura está formada por una viga cajón de concreto postensado de sección constante. La sección transversal de la viga cajón es asimétrica y posee un peralte variable entre 2,80 y 2,99 m; su tablero presenta un ancho de 12,10 m (Figura 3). Esta viga se encuentra simplemente apoyada en cada bastión por medio de cuatro apoyos expansivos de neopreno reforzado. Además, el puente cuenta con cinco diafragmas, dos en sus bastiones y tres diafragmas intermedios.

2. OBJETIVOS

3. METODOLOGÍA

3.1. Instrumentación del puente

La prueba de vibración ambiental se realizó el 30 de setiembre de 2015. El equipo utilizado consistió en 31 acelerómetros uniaxiales piezoeléctricos modelo 393B04 de la marca PCB Piezotronics. Los acelerómetros fueron colocados dentro de cajas protectoras (Figura 4). Se utilizaron cuatro unidades de adquisición de datos modelo cRIO-9076 de la marca National Instruments, los cuales cuentan con sistemas de posicionamiento global (GPS) independientes para su correcta sincronización temporal. El sistema de monitoreo es híbrido; los acelerómetros se conectan por medio de cables a las unidades de adquisición de datos, y estas se conectan de manera inalámbrica al nodo usuario que finalmente recolecta los datos de la prueba. Este sistema de monitoreo registra las aceleraciones con una frecuencia de muestreo de 1652 Hz. El sistema mencionado ha sido validado en pruebas de laboratorio y pruebas de campo por los investigadores de la Unidad de Puentes del LanammeUCR (Liu, Agüero, Barrantes & Loría, 2015a; 2015b; 2015c).

Se instrumentaron 26 puntos de la estructura (Figura 5). En todos los nodos mostrados se colocaron acelerómetros en la dirección vertical. Además, en los nodos 16, 18, 20, 22, y 24 se colocaron acelerómetros en la dirección transversal durante la primera mitad de la prueba (Configuración 1). Para la segunda mitad de la prueba, estos cinco sensores se rotaron y se colocaron en dirección longitudinal (Configuración 2).

Para definir las ubicaciones de los sensores se supuso necesario definir nodos en las secciones donde se ubican los diafragmas del puente. Esto debido a que los resultados obtenidos experimentalmente también serían comparados con los resultados de un modelo analítico, el cual necesariamente contaría con nodos en estas ubicaciones; resulta conveniente que los nodos en donde se registran las aceleraciones experimentalmente coincidan con los nodos del modelo. Los resultados del modelo analítico y su comparación con los datos experimentales están descritos por Montalto (2016). El resto de las ubicaciones de los sensores se seleccionaron tratando de mantener un espaciamiento uniforme entre los nodos. Se destaca que las configuraciones de sensores utilizadas permiten que se identifiquen modos de flexión vertical, flexión transversal y torsión.

Durante la prueba de campo, los acelerómetros se ubicaron según las configuraciones que se explicaron anteriormente; estos se colocaron directamente sobre el tablero del puente, sin ningún medio de sujeción mecánica En el costado sur, los sensores se colocaron en el espaldón de la vía (Figura 6). Las unidades de adquisición de datos se colocaron en el puente paralelo, el cual se encontraba cerrado al paso vehicular puesto que estaba siendo rehabilitado. Debido a que el puente se mantuvo abierto al tránsito durante toda la prueba, se delimitó el espaldón del costado sur del puente con conos para garantizar la seguridad de las personas que participaron en la prueba y del equipo de medición. En el costado norte de la estructura tanto los acelerómetros como las unidades de adquisición de datos respectivas se colocaron en la acera del puente (Figura 6).

La ejecución de la prueba tardó cuatro horas, incluyendo tiempo de colocación del equipo, pruebas al sistema y recolección de datos. En total se recolectaron aproximadamente 20 minutos de datos para cada una de las configuraciones de sensores, para un total de 40 minutos de datos. Debido a que el sistema de monitoreo utilizado almacena los datos en bloques de cinco minutos, se obtuvieron cuatro bloques de datos para cada una de las configuraciones. Solo se obtuvieron registros de aceleración en 25 puntos del puente debido a que se presentaron problemas con el cable que conectaba el acelerómetro ubicado en el nodo 13 al sistema de adquisición de datos.

3.2. Pre – procesamiento de datos

En primera instancia se diezmaron las señales de aceleración a tasas de muestreo más bajas. Las señales originales con frecuencia de muestreo de 1652 Hz se diezmaron a 82 Hz y 41 Hz. Antes de diezmar las señales a 82 Hz, se les aplicó un filtro digital de paso bajo tipo Butterworth de orden 10 con frecuencia de corte de 41 Hz. De manera similar, antes de diezmar las señales a 41 Hz se les aplicó un filtro de paso bajo tipo Butterworth de orden 10 con frecuencias de corte de 20 Hz. Filtrar las señales antes de diezmarlas es un proceso necesario para evitar que ocurra el fenómeno de aliasing. Posteriormente se les aplicó un filtro de paso alto tipo Butterworth de orden 5 con frecuencia de corte de 1 Hz para eliminar oscilaciones de muy baja frecuencia presentes en los registros de aceleración.

Seguidamente se llevó a cabo una revisión cualitativa de las señales para asegurar que los datos adquiridos no presentaran errores. Se suprimió la señal de aceleración del nodo 7 de los bloques de datos 1, 2, 5, 6, 7 y 8 debido a que presentaba picos de ruido de gran magnitud. Adicionalmente, se llevó a cabo un análisis preliminar de los datos usando el método SSI – COV a partir del cual se identificó que dos unidades de adquisición de datos empezaron a adquirir datos con un leve retraso en algunos bloques. Debido a que el método requiere una sincronización temporal de gran exactitud, se descartaron las señales de los sensores conectados a estas unidades de adquisición de datos. Estos problemas pueden ser ocasionados por las altas temperaturas presentes durante la prueba de vibración. La temperatura ambiental promedio fue de 45,4 °C y la temperatura promedio sobre la calzada fue de 54,1 °C; estos valores se acercan al límite superior de temperatura de operación de los controladores cRIO-9076 (55°C). En la Tabla 1 se presentan las características finales de los bloques de datos utilizados en el análisis.

3.3. Identificación de parámetros modales

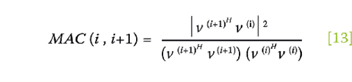
Los parámetros modales se identificaron usando el método SSI – COV, programado en MATLAB (MathWorks, 2016). Para discriminar entre los modos físicos del sistema y los modos de ruido del modelo se utilizaron diagramas de estabilización, los cuales se discuten en detalle en Liu (2011). En el diagrama de estabilización se comparan los modos identificados empleando distintos tamaños de la matriz de Toeplitz, y se consideran como estables aquellos modos que cumplen ciertos criterios. Los criterios de estabilización utilizados para comparar los modos identificados con i bloques de la matriz de Toeplitz y los modos identificados usando i + 1 bloques fueron los siguientes,

en donde el MAC (criterio de aseguramiento modal) corresponde a un índice que mide el grado de correlación entre dos vectores v que describen la forma modal de la estructura,

El MAC varía entre cero y uno, adquiriendo un valor de cero cuando no hay una buena correlación entre los vectores y un valor cercano a la unidad cuando hay una correspondencia consistente entre vectores (Allemang, 2003).

Cada bloque de datos se analizó de forma independiente. Los modos entre 0 y 10 Hz se identificaron usando la frecuencia de muestreo de 41 Hz y un orden del modelo de 50. Para los modos entre 10 y 25 Hz se utilizó la frecuencia de muestreo de 82 Hz y un orden del modelo de 80. En conjunto con el diagrama de estabilización se graficó el primer valor singular del espectro de la señal, calculado por medio del método de la descomposición en el dominio de las frecuencias (FDD). Esto permite identificar con mayor claridad los modos físicos del puente. Para implementar el método FDD se utilizaron ventanas de datos de 50 segundos, traslapadas aproximadamente un 50% entre sí.

4. RESULTADOS Y DISCUSIÓN

En la Figura 7 se muestran los diagramas de estabilización para uno de los bloques de datos, a partir de los cuales se identificaron los modos de vibración del puente. En total se identificaron nueve modos de vibración en el rango de frecuencias de 0 a 25 Hz (Figura 8). En la Tabla 2 se presentan las propiedades de cada modo de vibración; y
CVf corresponden al promedio y coeficiente de variación de la frecuencia, y CVξ al promedio y coeficiente de variación de la razón de amortiguamiento, y al valor promedio del criterio de aseguramiento modal obtenido al comparar las formas modales estimadas a partir del análisis independiente de cada bloque de datos.

De los modos identificados, cuatro son de flexión vertical, cuatro son de torsión y únicamente uno es de flexión transversal. A excepción del modo de flexión transversal, todos los modos se identificaron múltiples veces con estimaciones muy consistentes de sus parámetros. El modo de flexión transversal únicamente se identificó en una de las series de datos analizadas. Esto se debe a que las principales fuentes de vibración durante la prueba son las cargas vehiculares que actúan mayormente en sentido vertical, por lo cual es poco factible que se exciten los modos transversales.

La mayoría de las pruebas de vibración ambiental se realizan en puentes de grandes claros que son muy flexibles, y presentan frecuencias naturales en el rango de 0 a 1 Hz (Pridham & Wilson, 2002; Londoño, Desjardins & Lau, 2004). Además, en ocasiones se reporta como una desventaja de estas pruebas que es difícil alcanzar excitaciones con frecuencias altas (Karbhari & Lee, 2009). Sin embargo, en este caso se lograron identificar modos con frecuencias bastante altas, mayores a los 20 Hz. Por lo tanto, los resultados obtenidos evidencian que también es factible implementar estos métodos para la evaluación de puentes con tramos más cortos, cuyas frecuencias naturales son elevadas.

En la Tabla 2 se puede apreciar que la variabilidad de las frecuencias es sumamente baja. De igual forma, las formas modales son bastante estables con valores MAC elevados en todos los casos; solo el cuarto modo de torsión presentó un MAC promedio inferior a 0,90 al comparar los resultados de los distintos bloques de datos. Por lo tanto, se tiene certeza en torno a la estimación de estos parámetros. En cambio, la variabilidad asociada a las razones de amortiguamiento es muy elevada. Esto es una situación común para el caso de pruebas de vibración ambiental (Magalhães, 2010).

También se destaca que los valores de las fracciones de amortiguamiento para todos los modos, a excepción del modo de flexión transversal, son del orden del 1%. Esto es un valor bajo en comparación con valores reportados en literatura que se ubican en el rango de 2 a 3% para estructuras de concreto presforzado en condiciones de operación (Newmark & Hall, 1982). En este sentido se recuerda que la estructura evaluada fue construida recientemente. Además, el movimiento del puente durante la prueba de vibración ambiental es de baja amplitud, con aceleraciones en el orden de 1x10-4 a
5x10
-4 g. Ambas situaciones propician que el puente no presente agrietamiento importante u otros daños que contribuirían a la disipación de energía, lo cual conlleva a los bajos valores obtenidos para las fracciones de amortiguamiento.

Las formas modales experimentales son una herramienta valiosa para la detección de daños locales. En este caso, las formas de los modos no presentan discontinuidades en ninguno de los nodos de la estructura. Tampoco se identificaron modos de vibración locales que en ocasiones se presentan debido a la presencia de daños localizados en algún sector del puente. Ambas situaciones reafirman que la estructura evaluada se encuentra sin daños y en una condición sana.

5. CONCLUSIONES

Se midió la respuesta dinámica del puente sobre el río Tenorio en condición operacional por medio del uso de 31 acelerómetros uniaxiales. En total se registraron aproximadamente 40 minutos de datos, agrupados en ocho series de datos de cinco minutos cada una. Se midieron las aceleraciones en 25 puntos distintos de la estructura. En todos se midió la aceleración vertical, y en cinco de ellos se registró la aceleración transversal y longitudinal. Es importante destacar que no fue necesario interrumpir el tráfico vehicular en ningún momento para realizar la prueba de vibración ambiental.

Se identificaron nueve modos de vibración del puente dentro del rango de frecuencias de 0 a 25 Hz, utilizando el método SSI – COV. De estos, cuatro fueron modos de flexión vertical, cuatro fueron modos de torsión y uno fue de flexión transversal. Los modos de flexión vertical y de torsión se identificaron múltiples veces en los datos, con resultados muy consistentes. El modo de flexión transversal solo se identificó una vez.

En el caso de puentes simplemente apoyados, como el que se evaluó en esta investigación, es posible identificar los modos de vibración de flexión vertical y los modos torsionales. No obstante, es poco factible identificar modos transversales de la estructura usando acelerómetros como los empleados en esta prueba, debido al nivel de resolución de los sensores y la baja excitación transversal que experimenta el puente en condiciones operacionales.

Por medio de una prueba de vibración ambiental es posible identificar modos de vibración con frecuencias altas.
En este caso se identificaron modos con frecuencias de hasta 22 Hz. Con esto se demuestra que este tipo de evaluaciones no se limita a puentes de grandes claros con frecuencias naturales bajas. El método aplicado también es útil para puentes cortos que presentan frecuencias naturales altas por su elevada rigidez.

6. AGRADECIMIENTOS

Los autores agradecen a la Unidad de Puentes del PITRA LanammeUCR por la colaboración con el préstamo de todo el equipo de monitoreo utilizado durante la prueba de vibración.

7. REFERENCIAS

Agencia de Cooperación Internacional del Japón. (2007). El estudio sobre el desarrollo de capacidad en la planificación de rehabilitación, mantenimiento y administración de puentes basado en 29 puentes de la red de carreteras nacionales en Costa Rica. San José, Costa Rica: JICA.

Karbhari, V., & Lee, L. (2009). Vibration-based damage detection techniques for structural health monitoring of civil infrastructure systems. En V. Karbhari, & F. Ansari, Structural health monitoring of civil infrastructure systems (págs. 177 - 212). Boca Raton: CRC Press LLC.

Liu, Y. C. (2011). Application of Covariance Driven Stochastic Subspace Identification Method. (Tesis de Maestría). Universidad Nacional de Taiwán.

Liu, Y. C., Agüero, P., Barrantes, R., & Loría, L. G. (2015). Desarrollo y validación de un sistema portátil de monitoreo y evaluación de puentes LM-PI-UP-07-2015. San José, Costa Rica: Programa de Infraestructura del Transporte (PITRA), LanammeUCR.

Liu, Y. C., Agüero, P., Barrantes, R., & Loría, L. G. (2015b). Monitoreo estructural del puente sobre el río Seco Ruta Nacional No. 1 LM-PI-UP-PN20-2015. San José, Costa Rica: Programa de Infraestructura del Transporte (PITRA), LanammeUCR,

Liu, Y. C., Agüero, P., Barrantes, R., & Loría, L. G. (2015c). Monitoreo estructural del puente sobre el río Virilla Ruta Nacional No. 32 LM-PI-UP-PN12-2015. San José, Costa Rica: Programa de Infraestructura del Transporte (PITRA), LanammeUCR,

Londoño, N., Desjardins, S., & Lau, D. (2004). Use of Stochastic Subspace Identification Methods for Post - Disaster Condition Assessment of Highway Bridges. 13th World Conference on Earthquake Engineering. Vancouver, Canada.

Magalhães, F. (2010). Operational Modal Analysis for Testing and Monitoring of Bridges and Special Structures. (Tesis de Doctorado). Universidad de Oporto.

MathWorks. (2016). MATLAB [Software]. Disponible en: www.mathworks.com/products/matlab.html.

Montalto, E. (2016). Calibración del modelo de elemento finito del puente sobre el río Tenorio en la Ruta Nacional 1 con base en análisis modal operacional. (Tesis de Grado). Universidad de Costa Rica.

Newmark, N., & Hall, W. (1982). Earthquake Spectra and Design. Earthquake Engineering Research Institute, Berkeley, California.

Ortíz, G. (2012). eBridge: Predicción remota de fallas en puentes. InvestigaTEC, 10 - 11.

Peeters, B. (2000). System Identification and Damage Detection in Civil Engineering. (Tesis de Doctorado). Universidad Católica de Lovaina.

Pridham, B., & Wilson, J. (2002). Subspace Identification of the Vincent Thomas Suspension Bridge Ambient Vibration Data. IMAC-XX: Conference & Exposition on Structural Dynamics (págs. 134 - 140). Bethel: Society for Experimental Mechanics.