Métodos & Materiales / LanammeUCR / ISSN impreso: 2215-342X / ISSN electrónico: 2215-4558 / Volumen 6 / Número 1 / Diciembre 2016

Estudio numérico de la influencia del ruido presente en la señal, la ubicación de los sensores y la tasa de muestreo sobre el método BWIM basado en deformaciones unitarias

NUMERIC STUDY OF THE INFLUENCE OF THE SIGNAL NOISE, LOCATION OF THE SENSORS AND SAMPLING RATE ON THE STRAIN-ONLY BWIM METHOD

Ing. Sergio Lobo Aguilar

Estudiante de Doctorado en Ingeniería Civil

Universidad de Connecticut, Estados Unidos

sergio.lobo-aguilar@uconn.edu

Ing. Richard E. Christenson, PhD.

Profesor del Departamento de Ingeniería Civil y Ambiental

Universidad de Connecticut, Estados Unidos

richard.christenson@uconn.edu

Fecha de recepción: 6 Marzo de 2016 / Fecha de aprobación: 4 de Mayo de 2016

RESUMEN

Los sistemas de pesaje en movimiento para puentes, en inglés Bridge-Weigh-In-Motion (BWIM), han sido utilizados con éxito para identificar algunas de las propiedades de los vehículos pesados que transitan sobre una vía. No obstante, las fuentes de incertidumbre no son siempre fáciles de controlar y por lo tanto podrían afectar la confiabilidad de los resultados. En esta investigación, se estudió la influencia de algunas de las dificultades experimentales que se presentan al utilizar el método BWIM basado en deformaciones unitarias. En particular, se analizaron tres efectos: el nivel de ruido presente en la señal, la ubicación de los sensores en el puente y la tasa de muestreo utilizada para la recolección de datos. Estos efectos se simularon numéricamente al añadir ruido generado sintéticamente a una onda de respuesta idealizada. En este trabajo se discuten los resultados con énfasis en posibles consecuencias sobre las estimaciones de velocidad y peso de vehículos pesados en pruebas de campo.

PALABRAS CLAVE: puentes, cargas en movimiento, deformaciones unitarias, medición de cargas

ABSTRACT

Bridge Weigh-In-Motion (BWIM) systems have been used successfully to identify some of the properties of the trucks that travel over a highway. However, is not always easy to control the sources of uncertainty and therefore the reliability of the results might be affected. In this research, the effect of possible experimental difficulties on the BWIM method based on strain measurements was studied. In particular, three effects were analyzed: the noise level present on the signal, the location of the sensors on the bridge and the sampling rate used for data acquisition. These effects were modeled numerically by adding synthetic noise to an idealized wave response. The results are discussed with focus on the possible consequences on the estimation of velocities and gross vehicle weight of truck during field tests.

KEYWORDS: bridges, Weigh-In-Motion, strains, loading measurements.

1. INTRODUCCIÓN

Para gestionar adecuadamente la red vial se requiere contar con información de calidad acerca del peso de los vehículos pesados que transitan sobre ella. Una forma de obtener dicha información consiste en instalar sensores en los pavimentos para medir el peso de los vehículos sin que éstos tengan que detenerse. A estos sistemas se les denomina en inglés WIM (Weigh-In-Motion) y son ampliamente utilizados en diversas partes del mundo (O’Brien et al., 2008). A pesar de las ventajas que presentan, estos sistemas enfrentan algunas dificultades. Por ejemplo, en algunos casos se requiere cortar o excavar el pavimento para colocarlos, y su instalación requiere cierres parciales de las carreteras instrumentadas. Además, si la calidad del pavimento no es la adecuada, las características dinámicas de los vehículos pueden afectar significativamente los resultados (O’Brien et al., 1999). Como alternativa, en el pasado surgió la idea de colocar los sensores en los puentes, con lo cual se puede obtener la misma información provista por los sistemas WIM, sin los inconvenientes asociados a ellos (Moses, 1979). A estos sistemas se les llama BWIM (Bridge-Weigh-In-Motion) y con el transcurso del tiempo se han propuesto distintas técnicas de post-procesamiento, como por ejemplo métodos basados en líneas de influencia, redes neuronales, algoritmos genéticos y ondículas, entre otros (Lechner et al., 2013). Los métodos BWIM han sido utilizados con éxito en Australia, Canadá, Colombia, Eslovenia, Estados Unidos, India, Irlanda y Japón, entre otros (Christenson y Motaref, 2016; Muñoz et al., 2011; O’Brien et al., 2008). El presente estudio se fundamentó en la metodología basada únicamente en deformaciones unitarias (Ojio y Yamada, 2002; Cardini y DeWolf, 2002; Wall et al., 2009).

La Figura 1 muestra la instalación de sensores para la utilización de este método en un puente localizado en Connecticut, Estados Unidos (Christenson y Motaref, 2016). Cuando un vehículo pesado cruza el puente, los sensores producen registros similares al de la Figura 2. Si se hace transitar un camión con características conocidas sobre el puente, es posible asociar el registro de deformaciones unitarias que produce con sus propiedades y así, mediante relaciones de proporcionalidad, identificar las características de vehículos desconocidos.

Como en todo método experimental, es necesario identificar y mitigar adecuadamente las fuentes de incertidumbre para garantizar la confiabilidad de los resultados. Sin embargo, no siempre es posible realizar las mediciones en las condiciones ideales. Factores como la topografía del sitio, regulaciones de tránsito, restricciones de tiempo y desgaste del equipo electrónico podrían influir negativamente en el método. Por lo tanto, resulta de importancia estudiar la influencia de las diferentes condiciones experimentales que pueden tener un efecto significativo. El presente estudio se enfocó precisamente en analizar la sensibilidad del método BWIM mencionado ante tres posibles efectos: el nivel de ruido presente en la señal, la ubicación de los sensores en el puente y la tasa de muestreo a la cual se adquieren los datos. En la primera parte del artículo se detalla la teoría que soporta el método de pesaje en movimiento basado en deformaciones unitarias. Posteriormente se presenta la metodología empleada en este estudio para simular numéricamente los efectos mencionados. Luego, se presentan y discuten los resultados obtenidos para las simulaciones y, finalmente, se presentan las conclusiones de la investigación.

2. OBJETIVO

Determinar los efectos que tienen el nivel de ruido presente en la señal, la ubicación de los sensores y la tasa de muestreo, sobre los resultados de velocidad y peso bruto de vehículos pesados que transitan sobre un puente simplemente apoyado, calculados mediante la metodología BWIM basada únicamente en registros de deformación unitaria.

3. MÉTODO BWIM BASADO EN REGISTROS DE DEFORMACIÓN UNITARIA

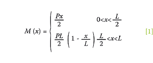
Las técnicas BWIM suelen aplicarse en puentes simplemente apoyados, como el de la Figura 1, porque facilitan la interpretación de los resultados. En este método, dichos puentes se pueden modelar inicialmente como vigas simplemente apoyadas, en donde el eje de un camión es representado como una carga puntual móvil P que está una distancia x desde uno de sus extremos, como se muestra en la Figura 3. A pesar de que el tránsito de una carga en estas condiciones es un fenómeno dinámico, las características de los puentes típicamente utilizados para este método y la velocidad a la que transitan los vehículos permiten asumir que no hay amplificación de la respuesta y por lo tanto se aproxima al caso estático.

Entonces, si se analiza el punto medio del puente, la línea de influencia del momento flector M está descrita matemáticamente por la expresión

en donde L es la longitud total de la viga. Asumiendo un comportamiento elástico, y que la carga se desplaza a una velocidad constante v, la ecuación anterior se transforma en

en donde ε es la deformación unitaria en la fibra inferior de la viga, c es la distancia desde el eje neutro hasta la fibra extrema en tensión, E es el módulo de elasticidad e I es el segundo momento de área de la sección transversal de la viga. La ecuación [2] define la variación de ε con respecto al tiempo t y se conoce como onda de respuesta (Ojio y Yamada, 2002). En esta expresión, ε es proporcional a P pero no puede utilizarse para el pesaje porque en un instante determinado, la deformación unitaria total es la suma de las que son causadas individualmente por cada eje, como se muestra en el ejemplo de la Figura 4.

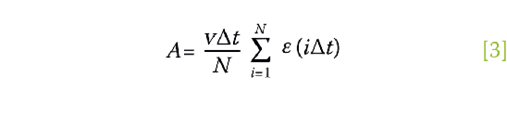
No obstante, el peso del vehículo sí se puede determinar a través del concepto de área de influencia A (Wall et al., 2009), definido en el espacio discreto como

En esta ecuación, t es el tamaño del intervalo de medición y N es la cantidad de puntos medidos por el sensor durante el tránsito del camión. El valor de A es proporcional a V y ε, siendo la deformación unitaria a su vez proporcional a P y a la rigidez de la viga a través de la ecuación [2]. Entonces, la ecuación [3] permite calcular el peso ya que el área de influencia incluye a todos los ejes del vehículo. Ahora bien, en condiciones reales la aproximación de la viga simplemente apoyada es insuficiente para modelar la verdadera rigidez del puente. Como alternativa al cálculo analítico de dicha rigidez, se puede medir experimentalmente el área de influencia de un vehículo conocido y así estimar el peso de otros vehículos por medio de la constante de calibración β, expresada como

en donde GVWk es el peso bruto de un vehículo con características conocidas y Ak es el área de influencia experimental de ese vehículo. Una vez obtenido β , el peso de un vehículo desconocido GVWu es

De esta forma, el único valor restante para definir el peso bruto vehicular es la velocidad a la cual transita el vehículo. Una forma de estimar dicha velocidad es calcular el tiempo T que le toma al último eje en moverse desde el punto medio hasta uno de los extremos del puente. El último eje estará en el punto medio del puente exactamente cuando se observe el último pico en la onda de respuesta total. Por ejemplo, en la Figura 4, el valor de T corresponde a la diferencia entre el los tiempos marcados como tf y tm. Si se mide dicho valor, la velocidad a la cual transita el camión se calcula como

con k definido como un factor de calibración que considera las diferencias entre la longitud asumida y la real. Esta derivación demuestra que la precisión en el cálculo de la velocidad (y por ende el peso del vehículo) depende de una correcta identificación de estos dos valores. En una onda de respuesta real, tf y tm son determinados por el algoritmo de identificación de picos en conjunto con el criterio del experimentador.

4. Metodología de análisis

4.1. Definición de la onda de respuesta idealizada

En esta investigación se utilizó como patrón de comparación el registro mostrado con línea continua en la Figura 5, la cual fue obtenida en la prueba de campo mencionada anteriormente, luego del procesamiento de los datos. Para efectos de este estudio, esta medición se asumió como una onda de respuesta ideal en la cual el nivel de ruido es cero. Además se asumió que la señal física es discreta con una distancia entre datos igual a la tasa de muestreo del experimento real, que fue de 2048 Hz. A este registro ideal se le asignó un factor β de manera que se obtuviese una velocidad de exacta 80 kph y un peso bruto vehicular de 15 ton.

Para realizar el cálculo de velocidad y peso bruto vehicular, se utilizó un algoritmo que identifica los picos que existen en la señal. El valor mínimo del pico para ser considerado como un camión se definió en 15 με. Similarmente, el valor para identificar al último eje del camión (que corresponde al punto tm ) se definió como un 80% del anterior, que corresponde a
12
με. Finalmente, se consideró que el camión sale del puente cuando la deformación unitaria alcanza un valor del 5% de la deformación unitaria del último pico, que corresponde a
0.60
με (con lo cual se identifica el punto tf.. A esta onda teórica se le añadió ruido con distintas intensidades, que se generó sintéticamente según se describe a continuación.

4.2. Modelo matemático del ruido

En este método BWIM, las mayores fuentes de incertidumbre son el ruido electrónico de los instrumentos y las vibraciones mecánicas del puente. Estas dos fuentes de variabilidad fueron modeladas en este estudio como ruido blanco gaussiano de ancho de banda limitada, que por definición es un proceso estocástico estacionario (Bendat y Piersol, 2010). Este tipo de ruido se denomina blanco ya que tiene densidad espectral constante en el rango de interés, y gaussiano porque para cada instante, el valor de la deformaci ón unitaria sigue una distribución de probabilidad normal. En este trabajo se utilizó un ancho de banda de 0 Hz a 100 Hz, ya que dicho intervalo incluye las frecuencias naturales de los primeros modos de un puente típico y otras variables ambientales, como la frecuencia de operación de las redes de distribución de electricidad alterna (por ejemplo, la red costarricense opera a 60 Hz). Ahora bien, la intensidad de este ruido se caracteriza por su potencia espectral p, que se calcula como

en donde RMS es el valor cuadrático medio de la señal (Root Mean Square) y B es el tamaño del ancho de banda en Hertz (en este caso, 100 Hz). Al definir el ruido de esta forma, se manipuló el valor RMS para generar en MATLAB registros sintéticos que luego se añadieron a la señal teórica, para así representar las condiciones experimentales reales. Por ejemplo, en la Figura 5 se muestra la señal contaminada con ruido con un valor RMS=0.50 με. Puede observarse que el ruido de la onda de respuesta ruidosa presentada en la Figura 5, es similar al ruido real mostrado en la Figura 2. Las diferencias entre ambos gráficos se dan porque el ruido sintético tiene densidad espectral constante en el rango de interés, mientras que el ruido real tiene un espectro no uniforme.

4.3. Filtros anti-aliasing (FA) y de post-procesamiento (FP) utilizados

Los equipos de adquisición de datos realizan la conversión analógica a digital (ADC) muestreando la señal física en intervalos discretos. El teorema de Nyquist indica que no se puede distinguir entre dos componentes de una señal si al menos una de ellas tiene una frecuencia mayor que la mitad de la tasa de muestreo (Bendat y Piersol, 2010). Para evitar este problema, se utilizan filtros analógicos llamados anti-aliasing que anulan las frecuencias que están fuera del rango de interés y que no pueden ser distinguidas. En esta investigación, se simuló numéricamente en MATLAB un FA (también conocidos como filtros anti-plegamiento) tipo Butterworth de orden ocho, con una frecuencia de corte de cinco veces la tasa de muestreo original. Es posible demostrar que para este diseño de filtro, las frecuencias de máxima amplitud se atenúan en 0.1 dB y la frecuencia del primer alias se reduce en 80 dB. Esta señal libre de plegamiento simula una que sería obtenida en campo con un equipo de adquisición de datos que incluye un FA.

Ahora bien, el método BWIM estudiado requiere post-procesamiento adicional para calcular la velocidad y el peso, lo que implica que la señal debe ser filtrada nuevamente. En este trabajo, se utilizó un FP que también es tipo Butterworth de orden ocho, pero con una frecuencia de corte de 15 Hz. El resultado de aplicar este proceso en MATLAB se ejemplifica en la Figura 6b), en donde se observa la diferencia entre la señal ideal y la señal ruidosa obtenida después de aplicar ambos filtros. Cabe destacar que la aplicación de ambos filtros genera un retardo aparente en la señal filtrada como consecuencia de la convolución de la señal ruidosa con la función de respuesta de impulso de los filtros. Este es un efecto típico de los filtros causales en donde se genera una distorsión en la fase. En la Figura 6b) se muestran ambas señales superpuestas para efectos de comparación únicamente.

5. Simulación y resultados

5.1. Efecto del nivel de ruido

Como se mencionó anteriormente, a la señal teórica se le añadieron registros sintéticos de ruido blanco para representar las condiciones de una prueba de campo. Sin embargo, un único registro sintético de ruido blanco es insuficiente para analizar la sensibilidad del método, porque cada punto en el tiempo es aleatorio con distribución de probabilidad normal. Entonces, para obtener una representación estadísticamente válida, en MATLAB se generaron múltiples registros de ruido blanco para cada intensidad, que luego se añadieron a la onda idealizada. Posteriormente, cada uno de los registros contaminados fue filtrado y post-procesado. Con la onda de respuesta final se calcularon los valores de velocidad y peso, y finalmente se realizó un análisis estadístico de todos los valores obtenidos. En este trabajo se utilizó un total de 10000 realizaciones para cada intensidad de ruido, en el intervalo de RMS=0.00 με a RMS=0.50 με.

Los resultados obtenidos se muestran en la Figura 7a), en donde se presenta la variación del porcentaje de error de la velocidad (denotado como EV) con respecto al nivel de ruido, tomando como referencia el valor idealizado de 80 kph. Para cada valor RMS, se calcularon el promedio (en línea de trazos) y los valores extremos (en línea continua), definidos como 1.96 veces la desviación estándar. Dichos extremos definen la región sombreada de las figuras, en donde se encontrarán el 95% de los errores, si se asume una distribución de probabilidad normal (Ang y Tang, 1975). Como es de esperarse, existe un incremento de la varianza conforme se aumenta el ruido. Esto se debe a que ruidos intensos cambian la ubicación de los puntos tf y tm, como se muestra en la Figura 6b). También se puede apreciar que existe un sesgo hacia valores positivos de error, que quiere decir que la velocidad calculada es mayor que la verdadera. Esto se da porque el algoritmo de detección de picos asigna el valor tm a picos más pequeños que se confunden con el pico verdadero.

Similarmente, la Figura 7b) muestra los resultados obtenidos para el error en el cálculo del peso bruto vehicular (EPBV). Como puede observarse, el gráfico es virtualmente idéntico al caso de la velocidad. Esto es consecuencia de que el área de la onda de respuesta casi no varía porque los filtros eliminan las componentes de la señal de mayor frecuencia. La poca diferencia entre ambos gráficos indica entonces que el método es altamente sensible al cálculo de la velocidad. Por lo tanto, los esfuerzos para mejorar la confiabilidad del método deben enfocarse en un cálculo más preciso de
este parámetro.

Por otra parte, de acuerdo con los resultados obtenidos, si el nivel de ruido en los instrumentos se mantiene en el rango estudiado, esta metodología BWIM está cercano a los límites de tolerancia que son indicados por la norma ASTM E1318-9, en donde se establece que los valores de peso bruto vehicular deben estar por debajo del 15% de error con un nivel de confianza del 95%. Por lo tanto, los valores obtenidos en este estudio sugieren que en pruebas de campo el método utilizado resulta razonablemente confiable siempre y cuando se mantengan los niveles de ruido dentro de los márgenes estudiados en esta investigación.

5.3. Efecto de la ubicación de los sensores

Tradicionalmente, las deformaciones unitarias se miden en los puntos en donde se anticipan los mayores esfuerzos, con el objetivo de que el ruido sea pequeño en comparación con las mediciones y así minimizar los errores de cálculo. En otras palabras, se intenta acercarse a la región de bajo nivel de ruido de las Figura 7a) y 7b). En puentes simplemente apoyados, los mayores esfuerzos se presentan en el punto medio de la luz puente, en las fibras extremas inferiores de las vigas. No obstante, condiciones tales como la topografía o la necesidad de mantener el flujo vehicular sin interrupciones pueden limitar la instalación de los sensores en esos puntos. Además, en muchas ocasiones los camiones transitan en carriles alejados de la viga en donde se colocan los sensores, de manera que la respuesta que se mide está atenuada proporcionalmente de acuerdo con la rigidez del tablero. Esto ocurre tanto como en puentes angostos en donde se coloca un único sensor o en puentes más amplios en donde se suelen utilizar varios sensores para identificar el carril en el cual transitan los camiones, por medio de una comparación del tamaño de las señales.

Para todas estas ubicaciones no ideales de los sensores, el ruido procedente de las vibraciones mecánicas se atenúa en la misma proporción que la señal de interés, de manera que su efecto es reducido. Sin embargo, el ruido electrónico se mantiene constante y puede interferir significativamente en los resultados. Con el propósito de estudiar el efecto que tiene la reducción de la señal medida con respecto al ruido como consecuencia de ubicar el sensor en una posición no idónea, se definió el factor λ como la fracción de la ubicación del sensor con respecto a la posición ideal, dado matemáticamente por

en donde dideal es la distancia desde el punto de máximo esfuerzo a un punto de referencia apropiado y d es la ubicación a la cual se ubica el sensor con respecto al mismo punto. Por ejemplo λ=0.50 indica que el sensor se colocó a un cuarto de la luz total, que se ubicó un 50% más cerca del eje neutro de la viga, que se alejó transversalmente un 50% del punto de mayor esfuerzo o alguna combinación de los factores anteriores. Ahora bien, cabe mencionar que el comportamiento real de un puente es complejo y en ocasiones puede ser difícil establecer a ciencia cierta cuál dirección domina la reducción definida por λ. No obstante, este parámetro provee un criterio general que puede servir como punto de comparación para el experimentador.

Asumiendo que la ubicación ideal está en el punto medio del puente y en la fibra inferior de una viga, se calculó la variación del error con respecto a la intensidad de ruido para distintos valores de λ, en forma análoga al efecto estudiado en la sección anterior, pero en el rango de RMS=0.00 με a RMS=0.10 με. Los resultados se muestran en la Figura 8, para el caso del peso bruto vehicular. El gráfico para el caso de la velocidad se omite dado que, como se mostró anteriormente, no existen diferencias significativas con respecto al peso. En esta figura, el error cuando el valor RMS=0.10 με y λ=1.00 es consistente con los resultados mostrados en la Figura 7b). Las áreas sombreadas están limitadas por sus respectivos valores extremos. Se observa que para factores λ mayores a 0.50, los errores son menores que 10%, siempre y cuando el valor se mantenga por debajo de RMS=0.10 με. No obstante, en lugares más alejados de la posición ideal, los errores crecen desproporcionadamente y por lo tanto no es aconsejable realizar las mediciones en dichas circunstancias. Entonces, estos resultados apuntan a que los cálculos son confiables siempre y cuando el factor se está por encima de λ=0.50.

5.2. Efecto de la tasa de muestreo

Uno de los parámetros que deben ser definidos a la hora de medir vibraciones mecánicas es la tasa a la cual se muestreará la señal física. Tradicionalmente se trata de discretizar la señal en intervalos lo más pequeños posible para evitar la pérdida de información. Sin embargo, cuanta más alta sea la frecuencia de muestreo, así también será mayor la cantidad de datos por procesar, lo cual puede ser computacionalmente costoso. Por esta razón, vale la pena explorar también cuál es la menor tasa de muestreo que se puede utilizar sin comprometer la precisión del método. Para este propósito, en esta investigación se consideró un ruido base con RMS=0.10 με, que corresponde a la línea vertical de puntos en las Figuras 7a) y 7b). Entonces, a la onda de respuesta idealizada se le añadió este ruido con RMS fijo y se le aplicó un filtro FA con una frecuencia de corte variable, dependiendo de la tasa de muestreo que se estudia. Posteriormente, se muestreó la señal sin plegamiento a distintas frecuencias, para simular el caso en el cual el investigador decide usar menos datos. Finalmente, a la señal sub-muestreada se le aplicó el FP y con la onda resultante se calculó la velocidad y el peso. Al igual que anteriormente, este proceso se simuló 10000 veces para cada una de las tasas de muestreo.

Los resultados obtenidos se muestran en las Figuras 9a) y 9b), en donde el eje horizontal está en escala logarítmica de base 2. En estos dos gráficos el error para la tasa de muestreo inicial de 2048 Hz, también es consistente con los errores obtenidos para RMS=0.10 με en las Figuras 7a) y 7b). Al disminuir la tasa de muestreo se observa un aumento del error en los cálculos, lo cual es de esperar dado que la resolución de la onda es menor. Nuevamente, los resultados para la velocidad y peso son prácticamente los mismos, lo cual refuerza el hecho de que la velocidad es el factor dominante en este método. Para tasas de muestreo tan bajas como 256 Hz, se obtienen prácticamente los mismos resultados que para la tasa original. Aún más, para tasas de muestreo de 64 Hz, los errores se mantienen dentro de la tolerancia indicada por la norma ASTM. El aumento en el error en el rango de frecuencias más bajas se explica por el hecho de que los filtros son incapaces de corregir las interferencias y el error empieza a crecer desmedidamente. Los resultados que muestran estas dos figuras indican que existe el potencial de aumentar la eficiencia de la recolección de los datos obtenidos con esta metodología, ya que se puede disminuir dramáticamente el espacio requerido para almacenarlos y la velocidad con la cual se procesan los resultados.

6. CONCLUSIONES

En este trabajo se investigó, mediante un estudio numérico, el impacto que tiene el nivel de ruido, la ubicación de los sensores y la tasa de muestreo en el cálculo de la velocidad y peso bruto vehicular, utilizando el método BWIM basado en registros de deformación unitaria. Se pudo concluir lo siguiente:

Estudios posteriores se enfocarán en analizar los efectos de manera combinada y en la utilización de múltiples ondas de respuesta reales tomadas de pruebas de campo.

8. REFERENCIAS

Ang, A. H-S. & Tang, W.H. (1975). Probability Concepts in Engineering Planning and Design: Volume I-Basic Principles. New York: John Wiley and Sons, Inc.

American Society for Testing and Materials. (2009). ASTM E1318. Standard Specification for Highway Weigh-In-Motion (WIM) Systems with User Requirements and Test Methods. Road and Paving Standards. Designation: E1318-09.

Bendat, J.S. &Piersol, A.G. (2010). Random Data: Analysis and Measurement Procedures. (4ta Edición) New York: John Wiley and Sons, Inc.

Cardini, A. J. &DeWolf, J.T. (2009). Implementation of a Long-Term Bridge Weigh-In-Motion System for a Steel Girder Bridge in the Interstate Highway System. Journal of Bridge Engineering, 14 (6), 418-423.

Christenson, R.E. & Motaref, S. (2016). Dual purpose Bridge Health Monitoring and Weigh-in-Motion (BWIM) -- Phase I. Reporte Número CT-2265-F-15-7.

Lechner, B., Lieschnegg, M., Mariani, O.& Pircher, M. (2013). Detection of Vehicle Data in a Bridge Weigh-in-Motion System. Modern Traffic and Transportation Engineering Research 2(3), 153-161.

Moses, F. (1979).Weight-In-Motion System Using Instrumented Bridges. Proceedings of the American Society of Civil Engineers, Transportation Engineering Journal of ASCE, 105(3) 233-249.

Muñoz, E., Gómez, D., Núñez, F.& Florez, C. (2011). Determinación de cargas dinámicas de camiones pesados que transitan en un puente basado en algoritmos genéticos e instrumentación. Revista Ingeniería y Construcción, 26 (3), 321-352.

O’Brien, E. J., Znidaric, A. & Dempsey, A.T. (1999). Comparison of two independently developed bridge weigh-in-motion system. International Journal of Vehicle Design, 6 (4).

O’Brien, E.J., Znidaric, A.&Ojio, T. (2008). Bridge Weigh-In-Motion Latest Developments and Applications World Wide. International Conference on Heavy Vehicles,Paris.

Ojio, T. &Yamada, K. (2002). Bridge Weigh-in-Motion System Using Stringer of Plate Girder Bridges. Pre-Proceedings of the Third International Conference on Weigh-In-Motion. Orlando.

Wall, C.J., Christenson, R.E., McDonnell, A.M.& Jamalipour, A. (2009). A Non-Intrusive Bridge Weigh-in-Motion System for a Single Span Steel Girder Bridge Using Only Strain Measurements, Reporte Número CT-2251-3-09-5.