Métodos & Materiales / LanammeUCR / ISSN electrónico: 2215-4558 / Volumen 8 / Diciembre, 2018

A simplified shear-strain based bridge weigh-in-motion method for
in-service highway bridges

Pesaje simplificado de vehículos en movimiento basado en mediciones de deformaciones unitarias cortantes para puentes en servicio

Ing. Sergio Lobo Aguilar

Estudiante de Doctorado en Ingeniería Civil
Universidad de Connecticut, Estados Unidos

sergio.lobo-aguilar@uconn.edu

Ing. Richard E. Christenson, Ph.D.

Profesor del Departamento de Ingeniería Civil y Ambiental
Universidad de Connecticut, Estados Unidos

richard.christenson@uconn.edu

Fecha de recepción: 13 setiembre 2018 / Fecha de aprobación: 17 enero 2019

RESUMEN

Existe literatura que demuestra que el pesaje en movimiento con puentes, conocido por sus siglas en inglés como BWIM (Bridge Weigh-In-Motion) es confiable para obtener información acerca de las características de los camiones que transitan por las carreteras. El mejoramiento continuo de estos sistemas presenta oportunidades para incrementar su uso. Los métodos BWIM tradicionales basados en la flexión en vigas enfrentan distintos retos, los cuales han propiciado la aparición de otras metodologías que emplean deformaciones unitarias cortantes. Sin embargo, las técnicas conocidas que utilizan deformaciones unitarias cortantes, asumen o miden líneas de influencia para el cálculo de los pesos brutos vehiculares. En este artículo, se propone una metodología BWIM alternativa, que es independiente de las líneas de influencia, no requiere mediciones de la velocidad de los camiones y se basa en la discontinuidad que se observa en el registro de deformaciones unitarias cortantes, la cual ocurre cuando un camión cruza sobre el lugar en donde se coloca el sensor. A partir de una serie de experimentos realizados en campo, se demuestra que los niveles de error obtenidos con el método propuesto son similares a los obtenidos con otros métodos BWIM más complejos, por lo que se considera que existe potencial para poder ser utilizado para obtener los pesos brutos vehiculares de camiones que transitan por puentes continuos o simplemente apoyados, en una forma consitente y confiable.

Palabras clave: Pesaje en movimiento con puentes (BWIM), Puentes, Deformaciones Unitarias de Corte

ABSTRACT

Bridge Weigh-In-Motion (BWIM) has been demonstrated to be reliable for obtaining critical information about the characteristics of trucks that travel over the highways. Continued improvements provides greater opportunity for increased use of BWIM. Traditional BWIM systems based on measuring the bending strain of the bridge have various challenges which has led to a class of BWIM methodologies that employ the use of shear strain in determining the gross vehicle weight (GVW) of crossing trucks. However, the known techniques of these shear-strain BWIM methods assume or measure the shear influence line for the calculation of the GVW. In this paper, an alternative shear-strain based BWIM technique is proposed. The method presented here is independent of the influence line, does not require a measurement of the speed of the truck, and is based on the difference in magnitude observed at the discontinuity of the shear strain record as a truck crosses over the sensor location on the bridge. A series of field tests are presented that demonstrate this shear-strain based BWIM method has error levels consistent with other more complex BWIM methods and as such has great potential to be used for determining the GVWs of trucks that travel on simple or multispan bridges in a consistent and reliable manner.

Keywords: Bridge Weigh-In-Motion, Bridges, Shear Strains.

1. introduction

A thorough administration of the highway network requires a continuous supply of updated and accurate information about the traffic that travels on the roads. For example, numbers and gross vehicle weight (GVW) of heavy truck traffic can be used to inform the structural design of pavements, bridges and other infrastructure components. The traditional way to obtain such information is to use static weigh stations, typically located on sides of the roads. These static readings are highly reliable but may not be practical due to the cost to operate, the time required to weigh each vehicle and resulting queues that can form on the main line of the highway, and overweight trucks simply avoiding the weigh station (Yu et al. 2016). As an alternative to weigh stations, various Weigh-In-Motion (WIM) systems have been developed and used throughout the world. The original concept of WIM systems is to place sensors directly on the pavement, measuring vehicle properties while they cross over the sensors themselves. Although these systems are advantageous, their installation requires lane closures, putting workers in potentially dangerous situations adjacent to moving traffic, and cutting or excavate the existing pavement, and further, the dynamic interaction between the pavement and trucks can significantly affect the error in the results (O’Brien et al. 1999, Wall et al. 2009, Christenson and Motaref 2016).

Moses was the first to suggest the idea of instrumenting the girders of a bridge instead of installing the sensors directly on pavements in 1979. In this way, similar information as provided by the traditional WIM systems is obtained, without the costs and risks to construction workers, and damage to the pavement associated with WIM systems (Lydon et al. 2015). This concept has been called Bridge Weigh-In-Motion (BWIM) systems. Over the past nearly 40 years, a variety of techniques have been proposed, including methods based on influence lines, orthotropic algorithms, reaction forces, neural networks, genetic algorithms and wavelets, among others (Ojio and Yamada 2002, O’Brien et al. 2008, Muñoz et al. 2011, Hitchcock et al. 2012, Lechner et al. 2013). These post-processing techniques have been successfully utilized in many countries around the world, including Australia, Canada, Colombia, France, India, Ireland, Japan, Slovenia and United States. While BWIM systems have shown improvements and continue to gain acceptance by transportation departments and agencies everyday (Hitchcock et al. 2012), they still face various challenges (Lechner et al. 2013, Yu et al. 2016).

The vast majority of BWIM systems are based on the flexural response of the bridge (O’Brien et al. 2008, Lydon et al. 2015, Yu et al. 2016). Using bending behavior for BWIM is attractive because the installation of sensors is simple and the resulting data is straightforward to process. In addition, bending response might be combined for additional purposes including load rating, structural health monitoring, etc. (Christenson and Motaref 2016). However, such measurements depend on the loading conditions and the type of the bridge. To minimize such dependence, the use of shear response has been proposed for BWIM (O’Brien et al. 2012, Helmi et al. 2015, Bao et al. 2016, Kalhori et al. 2017), including the estimation of GVW. The key notion of this proposition is that the sharp peaks and discontinuities of shear influence lines can be decoupled from effects of temperature, boundary conditions, and dynamic response (Bao et al. 2016). The literature review shows that existing shear strain-based methods still require measured or modeled functions of the influence lines for obtaining the desired GVW. Influence lines are dependent on the structural properties of the bridge, which can be affected by temperature, weight of vehicles, bearings, indeterminacies, pavement condition, etc. All of these factors can result in error in the BWIM calculations. Further, existing strain-based BWIM methods cannot account for any out-of-plane behavior of the member measured. This out-of-plane behavior, while unintended, is often times observed. Finally, current strain-based BWIM methods require the speed of the crossing truck, which can be a challenging property to measure without any additional sensors located in the pavement.

This paper presents an alternative shear strain based post-processing BWIM technique that does not depend on the shape of bridge influence lines and is capable of accommodating out-of-plane behavior in the measured bride girder. The proposed shear strain BWIM method is intended for the identification of gross vehicle weights and is based on elemental mechanics of materials and Mohr’s circle theory. In this method, the sudden reversal of shear strains caused by the passage of a truck over the location of the strain transducers is correlated with its GVW. This relationship is built using factors that are calibrated for a truck of known characteristics. First, the theory that supports the proposed methodology to use strain sensor measurements to calculate GVW is presented. This is followed by an example of an in-service multispan highway bridge. Finally, the results are discussed.

2. PROPOSED METHODOLOGY

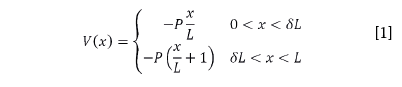
Consider initially a simplified model of a bridge scenario, where an individual axle load is applied at a distance from the left support of a simply supported beam of length. The theoretical influence line (excluding dynamic effects) for the internal shear force, measured by a sensor that is located at a distance from the left support, is shown in Figure 1.

Mathematically, such theoretical static influence line is expressed as

When the shear is evaluated at a distance x=бL, the shear forces are V -=-Pб (approaching from the left) and V +=P(1-б) (approaching from the right). Taking the difference of these two shear forces leads to the relationship

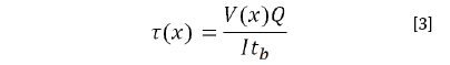
which shows that the magnitude of the applied concentrated load is equal to the difference between the maximum and minimum ordinate values of the influence line diagram, as illustrated in Figure 1. Furthermore, the shear stress, τ(x), calculated at a fiber that is located at a certain distance from the neutral axis is given as

where Q is the first moment of area of the portion delimited by the fiber in consideration and the top fiber, I is the second moment of area of the cross section of the beam, and tb is the thickness of the beam at the location where the shear stress is calculated. Solving for V in equation [3] and substituting in into equation [2] yields

For a given fixed sensor location, the geometric parameters are constant and

If the load travels at a constant speed, ν, therefore x=νt.Assuming that the shear stress as a function of distance is linear, then τ(νt)=ντ(t) . Therefore, Equation [5] is rewritten as a function of time as

where t is the time at which the load P is at location x. Using Hooke’s law (τ=Gγ) for the shear strain, γ, Equation [6] is transformed into

where γ(t+) and γ(t-) are the shear strains at the location of the point load P and G is the shear modulus of elasticity. Now, since the geometry and material properties of an actual girder are complex, it can be challenging to accurately quantify values for G, Q, I and tb. However, it is possible to combine these geometric parameters, the material property G and the velocity ν into a single calibration factor, α, similar to that used in Bao et. al (2014). In addition, typical bridges’ decks are made of several parallel girders. Unless the load is applied directly over the sensor, the measured the reaction of the load P on the instrumented girder would be a fraction of the actual load. Therefore, the calibration factor α also considers this condition.

The calibration factor can found experimentally by crossing loads of known weight. As such, the axle load is expressed as

where Δγ = γ(t+) - γ(t-) is the change in the shear strain time history when a load passes over a location on a beam. Equation [8] shows that it is possible to build a proportional relationship between the shear strains and the loads that travel over the bridge. However, for the calculation of the gross vehicle weight it is necessary to use the superposition principle. For this, consider the theoretical response wave(which is the time-domain counterpart of the influence line) for the shear force generated by a series of loads, as shown in Figure 2.

In Figure 2, γ1 and γ2 are the extreme peaks captured on the shear strain record, Δt is the time between these measurements, γ1´ is the slope of γ1, Δγ is the estimated change in strain and Δγα, Δγb and Δγc are the strain changes caused by the individual point loads, or axles for the case of a truck crossing over a bridge. As shown in Figure 2, it is possible to approximate the actual total strain change by the prolongation of the shear strain γ1 over a time Δt (resulting in Δtγ1´) added to the difference between the extreme peaks. In mathematical terms, the estimated GVW is estimated as

It should be noted that the error between the approximated and the actual strain can increase with longer axle spacing and slower truck speeds. Equation [9] implicitly considers the speed of the truck by means of the calibration factor and the term of the strain slope. This constitutes an important difference from previous work on shear strain-based BWIM methods, in which two strain rosettes were needed for the determination of the truck speeds (Helmi et al. 2013; Bao et al. 2014).

At this point, it is essential to acknowledge that influence lines for indeterminate bridges are not linear functions of the distance, in contrast to Equation [1]. However, the concept developed here can be extended to continuous, multi-span (indeterminate) bridges as it is based on the discontinuities marked by the sharp peaks and ,which are not affected by the shape of the influence line. To exemplify this, consider the influence line shown in Figure 3 for a multi-span continuous beam. This example shows the shear influence line at the location of the sensor, caused by the transit of a load Pover the continuous beam. It can be seen that even though the influence line is not a linear function, the difference between the extreme values at the discontinuity remains to be equal to the magnitude of the moving load. The complex shape and properties of the influence line are not required for the BWIM method proposed here.

In order to apply Equation [9] it is necessary to find the shear strain time history at a particular location on a bridge. Since there is no direct way to measure shear strain on a bridge girder, it is common practice to use a strain sensor rosette. There are different rosette arrays that suit different investigation purposes (Popov and Balan 2000). In this study, the rectangular rosette configuration, shown in Figure 4a, is used.

This rosette provide measurements of the normal strains εA, εB and εc. From strain transformation theory (Popov and Balan 2000), it is possible to write

where θ is the angle of a system that is rotated counterclockwise with respect to the axis x. In this study, Gages A, B, and C are placed at angles θ of 0°, 45° and 90°, respectively. Then, substituting these angles on Equation [11], it is obtained

Rearranging Equation [16], the shear strain can be calculated from the rectangular rosette gauges as

This sensor arrangement provides the principal strains for any orientation of the rosette, which can be obtained from the expressions

The principal strains and their orientation, given by the angle φ, are shown on the schematic Mohr’s circle of Figure 4b. The principal strains are useful to verify that the bending behavior of the bridge observed by the measurements are as expected. In a multispan bridge, when a truck travels on a certain span, it creates positive moments on that particular span and negative moments on the adjacent spans. Therefore, the major principal strains (in tension or compression) will reverse its sign and the zero-crossings will indicate the times at which the truck enters and exits the instrumented span.

Now, depending on the applied loading, overall geometry of the bridge, slendernessof the girders cross-sections and the support conditions, girders webs (or other bridge components being instrumented) might experience out-of-plane bending effects. If this kind of bending is present, it will cause additional compression in one face of the girder and tension in the other, affecting the measured strains. Therefore, if the strain is measured only on one side of the girder, its magnitude will be increased or decreased accordingly. In order to account for this phenomenon, measures can be taken from opposite sides of the web and the strains averaged, as shown in the example of Figure 5. When the additional horizontal compression strain caused by out-of-plane bending, εcom is averaged with the tension one on the opposite side of the web, εten , the net strain that would be measured without any out-of-plane effect is obtained. In this way, the spurious effects of any out-of-plane bending occurring on the bridge are minimized for BWIM purposes.

The proposed method is demonstrated here for calculating GVWs only. Other valuable information such as axle separation, axle weight and truck speeds may also be identified from the proposed method. It is anticipated, however, that improvements in sensor deployment and fidelity will be required to provide reliable measurements for this
further information.

3. FIELD TEST OF AN IN-SERVICE
HIGHWAY BRIDGE

A field test was performed on a multispan continuous bridge that carries Interstate 95 (I-95) Northbound over Stiles Street, New Haven, Connecticut, United States of America. This section of the bridge is a slightly curved five-lane bridge with a total length of 31.7 meters (104 ft) and a width of 26.2 meters (86 ft). It was constructed with seven steel girders and a reinforced concrete deck. A photo of the south facing elevation is shown in Figure 6a. The bridge dimensions of interest, travel lanes, girder distribution and location of the sensors used in this study, relative to the lanes of travel on
the bridge, are provided in Figure 6b.

A Bridge Diagnostics Inc. (BDI) STS4 portable monitoring system was used to measure the bridge data. Twelve BDI ST350 strain transducers were installed, collecting strains at a sampling rate of 1000 Hz. The strain sensors were arranged on rosettes located at one third of the span from the right end of the second span of the bridge, on the lower portion of the web near the bottom flange of girders 2 and 4. Locating the sensors at the lower portion of the girders allows full observation and consideration of out-of-plane effects. Each rosette consists of three strain sensors oriented at 45 degrees from one another, consistent with the configuration shown in Figure 4a. Two strain rosettes, one on each side of the web, are installed in the two girders being studied, as shown in Figure 7a. As mentioned before, this is done to measure any out-of-plane bending that may be occurring and compensate for it by averaging the results of the two strain sensor rosettes. The sensors were wired to a sensor node that in turn provided
a wireless hop to a base station located under the bridge and a second wireless hop to a laptop controlling the system
and collecting data.

To calibrate the α factor, a test truck with known axle and GVW was used. The test truck traveled at a constant speed over the bridge completing two passes at 80 kph (50 mph) and one pass at 64.4 kph (40 mph) over the lane corresponding to Exit 50 and Lane 1, according to Figure 6. The axle distribution and loads are shown in Figure 7b.

4. results

The horizontal, vertical and inclined measured strains, as well as the calculated principal strains for the passages of the test truck over the lane corresponding to Exit 50 and over Lane 1 at 80.0 kph (50 mph, black lines) and 64.4 kph (40 mph, red lines) are shown in Figure 8. In this figure, the delay on the red lines is an indication of the slower speed of the test truck. An eighth-order Butterworth filter with a cutoff frequency of 15 Hz was used to remove the noise from the original signals. A disturbance on the bending strain is observed for the passage of the truck at 40 mph over Lane 1. This disturbance, possibly caused by the presence of other trucks on the bridge, constitutes an example of the challenges faced by the flexural-based BWIM methods. In the principal strain plots, positive values of the averaged principal strains correspond to εmax and negative values to εmin. The principal strain for the Lane 1 shows alterations because of the noisier horizontal strains. The pivot points on these figures mark the moments at which the test truck enters and exits the measured span, as observed by a change on the sign of the shear.

Using the axle loads and spacings shown in Figure 7, a theoretical shear influence response wave for the location of the sensor rosettes was constructed. The resulting influence response wave is shown in Figure 9. This wave was constructed using the last four spans of the bridge studied. The rest of the spans towards south direction were neglected since they would have little effect on the overall behavior of the instrumented span.

It should be noted that for the superimposed shear response, the strains corresponding to the moments at which the truck crosses over a support are not equal to zero. This happens because the influence response wave of each individual axle occurs at a slightly different time and therefore their superposition gives non-zero values at the bridge support crossing times. This response wave was constructed for comparison purposes with the shear strains determined from measured strains. However, as mentioned before, the shape of the influence response wave is not needed in this method for the calculation of the GVW.

Figure 10 shows the superposed theoretical response wave together with the measured shear strains, corresponding to passages of the test truck at 80.0 kph (50 mph). The theoretical waves shown in this figure were adjusted to match the measured values by changing the magnitude of the strains. The measured strain responses showed repeatable and consistent results. Furthermore, there is a good agreement between the expected and measured shape of the shear stress records. However, it is observed that the measured response may not allow for a clear identification of closely spaced individual axles.

The difference between the observed and the expected shape on the backside of the response wave might be explained by the geometric effects such as the loading travelling not parallel to the lanes and the curvature of the bridge. From the plots of Figure 10, the values for γ1, γ2, Δt and γ1´ are determined. Knowing that the GVW for this particular test truck is 340.3 KN (76.5 Kips), the values for α were calibrated for each one of the passages. The results are shown in Table 1.

From Table 1, the average values are αE50= 16.19 KN (3.64 Kips) for Exit 50 and αL1=20.60 KN (4.63 Kips) for Lane 1. Using the averaged values for alpha and Equation [9], the calculated GVWs for the passages of the trucks are shown in Table 2.

As shown in Table 2, using the averaged calibration factors, the calculated GVWs are all within a 10% error. The factors were calibrated manually using a systematic search. Once the factors were calibrated, a post-processing routine was coded in MATLAB to automatically obtain the GVWs from the measured time histories of the strain gage rosette. The post-processing time is similar to the times obtained by the authors in previous work for bending-strain-based BWIM methods and can be implemented in real-time BWIM calculations if desired (Wall et al., 2009; Christenson and Motarefl, 2016). The results on Tables 1 and 2 show the independence of the estimation of the GVWs with the shape of the influence line and the speed at which the truck travels over the instrumented bridge span.

5. conclusions

In this paper,it is proposed a simplified shear-based BWIM method that requires only the shear strain measured at a single location on a highway bridge, beneath each lane of travel of interest. It is demonstrated in this paper that the calculation of the influence line of the bridge and the measurement of the travelling speed of the trucks are not necessary for the accurate estimation of GVWs. The method correlates the difference between the extreme peaks observed on the shear strain record to the weight of a truck with known properties.The shear strain is measured using a strain gage rosette. In addition, possible out-of-plane behavior of the girder web is compensated by averaging the strains through the use of two strain sensor rosettes on the opposite faces of the girder webs. The estimations of the GVWs from a field test of an in-service highway bridge showed consistent results, with GVW errors less than 10%, indicating potential for the use the proposed BWIM method on multispan continuous highway bridges. The potential of the proposed simplified shear-strain based BWIM method is demonstrated on the in-service highway bridge.

6. ACKNOWLEDGEMENTS

The authors wish to acknowledge the support of this research through Project No. SPR-2290, “Advancing the State of Bridge Weigh-In-Motion for the Connecticut Transportation Network”, and the support of personnel from the Federal Highway Administration, Connecticut Department of Transportation, and the University of Connecticut. In particular, the authors would like to thank and acknowledge Bradley Overturf, Andrew Mroczkowski, Michael Vinci, James Wilber and Anne-Marie McDonnell for supporting these research efforts at the Connecticut Department of Transportation and providing their expertise to ensure the success of the research. The opinions, findings and conclusions expressed in the publication are those of the authors and not necessarily those of the Connecticut Department of Transportation or the Federal Highway Administration.

7. REFERENCES