Revista Infraestructura Vial / LanammeUCR

ISSN electrónico: 2215-3705 / Volumen 23 / Número 42 / Julio, 2021 / p.p. 23- 34

DOI: 10.15517/iv.v23i42.45135

Artículo Científico

Medición de percepción de la calidad de vida con respecto a la satisfacción con el transporte público en Costa Rica

Measurement of quality-of-life perception regarding satisfaction with public transport in Costa Rica

Andrea Zúñiga López

Escuela de Ingeniería Civil

Universidad de Costa Rica

San José, Costa Rica

andrea.zunigalopez@ucr.ac.cr

Jaime Allen

LanammeUCR

Universidad de Costa Rica

San José, Costa Rica

jaime.allenmonge@ucr.ac.cr

Fecha de recepción: 14 de diciembre de 2020 / Fecha de aprobación: 25 de junio de 2021

RESUMEN

El tema de movilidad es cada vez de mayor importancia en Costa Rica, por tanto, se vuelve cada vez más relevante mejorar el sistema del transporte público en el país. Para determinar cuáles elementos del sistema de transporte público en Costa Rica afectan la calidad de vida según la percepción del usuario es necesario conocer su opinión respecto a las condiciones en que se le proporciona el servicio. Para la identificación de los componentes de la estructura del sistema de transporte público en Costa Rica que tienen una mayor afectación en la calidad de vida de sus usuarios, se analizaron los resultados de una Encuesta de percepción sobre el efecto del uso del transporte público en la calidad de vida, este estudio se llevó a cabo por medio de un cuestionario aplicado a funcionarios y estudiantes de la Universidad de Costa Rica (UCR). Se utilizó como herramienta de análisis los Modelos de Ecuaciones Estructurales (SEM), los cuales son una herramienta estadística multivariada que permite estudiar la relación que hay entre variables latentes y observadas. Se verificó con el modelo de ecuaciones estructurales que la satisfacción con el uso del transporte público es un dominio que afecta la satisfacción con la calidad de vida, es decir, para los costarricenses la percepción de estar satisfechos con su calidad de vida se ve influenciada por la percepción de satisfacción que tengan del uso del transporte público.

Palabras clave: calidad de vida, modelos de ecuaciones estructurales, transporte público, percepción, satisfacción.

ABSTRACT

The issue of mobility is increasingly important in Costa Rica; therefore, it becomes relevant to improve the public transport system in the country. To determine which elements of the public transport system in Costa Rica affect the quality of life according to the users´ perception, it is essential to know their opinion regarding the conditions in which the service is provided. To identify the components of the structure of the public transport system in Costa Rica that have a greater impact on the quality of life of its users, the results of a survey on the effect of the use of public transport on quality of life were analysed. The data were collected by means of a questionnaire applied to workers and students at the University of Costa Rica (UCR). Structural Equation Models (SEM) were used as an analysis tool, which are a multivariate statistical tool that allows studying the relationship between latent and observed variables. The SEM allowed verifying that satisfaction with the use of public transport is a domain that affects satisfaction with the quality of life, in other words, for Costa Ricans, the perception of being satisfied with their quality of life is influenced by the perception of satisfaction they have with the use of public transport.

Keywords: Quality of life, structural equations model, public transport, perception, satisfaction.

Introducción

La movilidad es el conjunto de desplazamientos de personas y bienes que se producen en un entorno físico. En el presente estudio resulta de interés la movilidad producida por el transporte, que se da cuando personas se desplazan de un lugar a otro utilizando un medio o sistema que utiliza una determinada infraestructura o red de transporte (Castro, Picado, y Rodríguez, 2018). El tema de movilidad es cada vez de mayor importancia en el país y una considerable mayoría de las y los costarricenses opinan que el congestionamiento vial que se vive en el país cada día será aún mayor conforme avanzan los años (Marín, 2017). Pero ¿cómo relacionar la afectación de la calidad de vida con el uso del transporte público?, se plantea que esta pregunta se podría contestar midiendo el nivel de satisfacción de los usuarios de transporte público.

Primero, es necesario definir los conceptos de satisfacción y calidad de vida. La Universidad de Oxford ha definido satisfacción como el sentimiento de bienestar o placer que se tiene cuando se ha completado un deseo o cubierto una necesidad (Universidad de Oxford, 2019). Por otra parte, según la Organización Mundial de la Salud (1996), la calidad de vida es la percepción que un individuo tiene de su lugar en la existencia, en el contexto de la cultura y del sistema de valores en los que vive y en relación con sus objetivos, sus expectativas, sus normas, y sus inquietudes. Se trata de un concepto que está influido por la salud física del sujeto, su estado psicológico, su nivel de independencia, sus relaciones sociales, así como su relación con el entorno.

El bienestar subjetivo (Subjective Well-Being, SWB por sus siglas en inglés) se mide tanto como una evaluación de la satisfacción con la vida, como del bienestar emocional. Aunque estas medidas están positivamente correlacionadas, evalúan aspectos independientes (Busseri y Sadava, 2011). Tanto la satisfacción con la vida como el bienestar emocional están además relacionados con la satisfacción en un dominio específico (Schimmack, 2008), incluida la satisfacción con el trabajo, la vida familiar y el ocio. Se identificó que viajar es potencialmente otro dominio específico de satisfacción que puede afectar el SWB (Ettema, Gärling, Olsson, y Friman, 2010).

Para determinar el efecto del uso del transporte público en la calidad de vida específicamente, se hizo una medición del SWB, que actualmente se propone como la herramienta más apropiada para medir calidad de vida debido al uso del transporte. Investigaciones han demostrado que cambios en el contexto de viaje o mejoras del nivel del servicio de transporte causarán cambios en el SWB (Ettema et al., 2010). Para la medición del SWB se debe hacer una serie de evaluaciones afectivas y cognitivas de la vida en general de cada individuo. En el caso particular de esta investigación estas evaluaciones se realizaron por medio de un cuestionario de medición de satisfacción con los distintos aspectos de la vida de las personas. Esta satisfacción se midió por medio de una escala de medición o puntuación tipo Likert.

De acuerdo con el Informe del Estado de la Nación en desarrollo humano sostenible (2018), para la Gran Área Metropolitana las pérdidas por externalidades negativas debido al modelo de transporte no sustentable en Costa Rica han sido estimadas en alrededor de 10 % del PIB al año. De este porcentaje, 4 % correspondería al impacto en salud por efecto de accidentes de tránsito, contaminación del aire e inactividad física. Otro 4 % se debería al impacto en transporte por congestión vehicular, desperdicio de combustible y mal uso de infraestructura y equipamiento. Finalmente, 2 % se derivaría de las pérdidas en productividad y competitividad que se expresa en menores inversiones, empleos e impuestos. Por tanto, se busca con el desarrollo del presente trabajo de investigación dimensionar la relación existente entre satisfacción con el transporte público y percepción de la calidad de vida y sus efectos.

Metodología

Para explicar o medir la percepción de afectación del uso del transporte en la calidad de vida se construyó un Modelo de Ecuaciones Estructurales (Structural Equation Model - SEM), el cual representa una herramienta estadística multivariada que permite estudiar la relación que hay entre variables latentes y observadas. Las variables observadas son aquellas que se miden directamente. Una variable puede ser llamada observada si y solo si su valor es obtenido por medio de un experimento muestral real (Haenlein y Kaplan, 2004). Por otro lado, las variables latentes son aquellas que no pueden ser medidas directamente, sino que son inferidas estadísticamente a partir de las variables observadas. Las variables latentes son factores que, aunque influyen en el comportamiento y las percepciones individuales, no pueden cuantificarse en la práctica (por ejemplo, seguridad, comodidad, fiabilidad). Esto se debe a su intangibilidad, ya que estas variables no tienen una escala de medición y diferentes personas pueden percibirlos de manera distinta. La identificación de variables latentes se da a partir de la recolección de variables observadas por medio de un instrumento de recolección de datos. Las respuestas a las preguntas generan indicadores de percepción que sirven para identificar las variables latentes, de lo contrario estas no se podrían medir (Ortúzar y Willumsen, 2011).

Para la realización de un modelo de ecuaciones estructurales se requiere de una base de datos en la que se incluyan las respuestas a determinado instrumento de recolección de datos, dicha base de datos se trabaja como una matriz de preguntas y respuestas.

La Figura 1 muestra un diagrama del modelo que se pretende construir, se harán dos modelos, uno que explique satisfacción con transporte público (SAT.TP) y otro que explique la satisfacción con la calidad de vida (SAT.CV), por separado. Una vez construidos los modelos, se incluye la relación SAT.TP afecta SAT.CV para verificar si existe algún efecto y en qué medida sucede.

Para lograr el modelo propuesto en la Figura 1 se diseñó un cuestionario enfocado a satisfacción con el uso del transporte público y la percepción de la calidad de vida, dicho instrumento se aplicó a personas relacionadas (estudiantes y funcionarios) con la Universidad de Costa Rica y sus respuestas se analizaron haciendo uso del software de análisis Estadístico R.

Recopilación de la información

Respecto al diseño del instrumento de recolección de información se optó por la construcción de un cuestionario, el cual se dispuso en la web por medio de un formulario electrónico desde el 28 de agosto de 2019 y se mantuvo hasta el 6 de diciembre del mismo año, este se completaba en un tiempo de cuatro a seis minutos. La calidad de vida se explica por múltiples factores, por lo que, para explicar cómo el uso del transporte público incide en la percepción de satisfacción con la calidad de vida, se debe tener un panorama general de la satisfacción de los encuestados con diversas áreas de su vida.

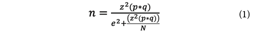
Respecto a la población de estudio esta corresponde a la totalidad de unidades de estudio analizadas. De acuerdo con el reporte “UCR en cifras”, para finales del 2018 se encontraban matriculados 51871 estudiantes y para el año 2013 la universidad contaba con más de 5000 profesores, se estima entonces una población de 57000 unidades estadísticas. Se pretende que los resultados de la investigación sean aplicables a toda la población, es por ello que se valoró la necesidad de una muestra compuesta por al menos 382 respuestas para obtener una confiablidad del 95 % y un margen de error del 5 %, tal como se muestra a continuación (Ecuación 1).

Donde,

n = tamaño de la muestra = 382

N = tamaño de la población = 57000

p = probabilidad a favor (0,5 al ser desconocida)

q = probabilidad no favor (1 – p)

z = Nivel de confianza = 95 %

e = margen de error muestral = 5 %

De la encuesta aplicada se lograron 623 respuestas, por lo que los resultados serán representativos. Se elige como población de estudio miembros de la Universidad de Costa Rica debido a la alta heterogeneidad de quienes componen esta institución, al estar integrada por personas de todas las provincias, edades y estratos socioeconómicos. Adicionalmente, se considera la factibilidad de aplicar el instrumento de recolección de datos, al contar con unidades académicas que tienen los datos de sus integrantes.

En cuanto a la estructura del cuestionario aplicado, este constituía de una sección introductoria y 81 preguntas repartidas en ocho módulos en total que son los siguientes:

Construcción del modelo de ecuaciones estructurales

Para la formulación del modelo de ecuaciones estructurales se debe seguir una serie de procedimientos, los cuales se detallan a continuación.

Análisis de componentes principales (PCA)

El PCA es una herramienta utilizada en el análisis de datos multivariantes para la reducción de la dimensionalidad donde, al tener una cantidad de n variables, se busca describir con precisión los valores de esas n variables en un subconjunto r<п de ellas. Se reduce la dimensión de los datos a analizar a costa de una pequeña pérdida de información. Supóngase que existe una muestra con n individuos cada uno con p variables (X1, X2, ..., Xp), es decir, el espacio muestral tiene p dimensiones. PCA permite encontrar un número de factores subyacentes (z<p) que explican aproximadamente lo mismo que las p variables originales. Donde antes se necesitaban p valores para caracterizar a cada individuo, ahora bastan z valores. Cada una de estas z nuevas variables reciben el nombre de componente principal (Amat, 2017). Este análisis se hace identificando variables de alta interdependencia y agrupándolas.

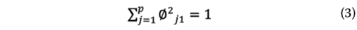
Respecto al cálculo de las componentes principales, Amat (2017) señala que cada componente principal (Zi) se obtiene por combinación lineal de las variables originales. Se pueden entender como nuevas variables obtenidas al combinar de una determinada forma las variables originales. La primera componente principal de un grupo de variables (X1, X2, ..., Xp) es la combinación lineal normalizada de dichas variables que tiene mayor varianza (Ecuación 2).

Que la combinación lineal sea normalizada implica lo que se muestra en la Ecuación 3.

Los términos φ11, ..., φp1 reciben en el nombre de loadings, en español cargas, y son los que definen a la componente. φ11 es la carga de la variable X1 de la primera componente principal. Las cargas pueden interpretarse como el peso/importancia que tiene cada variable en cada componente y, por lo tanto, ayudan a conocer qué tipo de información recoge cada una de las componentes.

En este punto se analizan las preguntas por grupos, de acuerdo con los módulos en que dividimos el cuestionario. De acuerdo con las varianzas obtenidas del programa R, se formaron subconjuntos los cuales corresponden a los factores del modelo, por ejemplo, los servicios públicos pasarán de ser explicados por ocho variables a ser explicados por dos factores o componentes principales. El proceso de PCA debería generar siempre las mismas componentes principales independientemente del software utilizado, es decir, el valor de las cargas resultantes es el mismo (Amat, 2017).

Este procedimiento se hace con las variables de cada uno de los módulos. Con el PCA se logró reducir las 81 preguntas del cuestionario a 10 componentes principales para explicar satisfacción con el transporte público; y a cinco componentes, para satisfacción con calidad de vida.

Análisis del sistema de medición

En este punto se emplean indicadores para evaluar el ajuste del modelo. El más utilizado es cuando valor-p < 0,1, para cada parámetro, y el RMSEA (error cuadrático medio de aproximación) < 0,05, para el modelo general; siempre y cuando se asocien a una hipótesis específica. Dado que el modelo presentado tiene variables latentes o no observadas, es necesario identificar cada una de estas con un valor estadístico para poder calcular los estimados de sus efectos. De acuerdo con Escobedo, Hernández, Estebané, y Martínez (2016) los valores estimados evalúan un parámetro que caracteriza a la población a través de una muestra. Si esta representa fielmente a la población, se supone que el estadístico representa bien el parámetro. Se expone una breve explicación de cada uno de los valores utilizados en la evaluación de los criterios de calidad de ajuste.

Tipos de valores estadísticos:

Estos índices se determinan para el modelo resultante, es decir, dichos índices de ajuste permiten decidir si el modelo tal y como se encuentra especificado guarda coherencia estadística. El análisis del sistema de medición es de gran importancia para mejorar el posible modelo, eliminando aquellas variables que muestren valores en sus ajustes que no llegan a ser del todo satisfactorios, previo a la construcción del SEM.

Construcción del modelo de ecuaciones estructurales

La construcción del SEM propiamente dicho corresponde a la fase en que se forman las ecuaciones de regresión para acomodar relaciones de regresión entre variables latentes y entre variables observadas y latentes (Allen, Muñoz, y Ortúzar, 2018). En este caso, se identifican cuáles son los componentes o factores que efectivamente explican la variable latente que se busca responder. El procedimiento de construcción del SEM difiere con el análisis del sistema de medición únicamente en la construcción de las regresiones, ya que se utilizan los mismos parámetros de análisis para identificar aquellas variables de significancia. Por ejemplo, se analiza el conjunto de variables que explican la satisfacción con el uso del transporte público y en qué medida lo hacen, es decir, se encuentra un modelo de regresión. Se utilizan los coeficientes estandarizados, índices de bondad de ajuste, el valor-p como parámetros de aceptación. Adicionalmente, con el SEM se obtiene el valor del coeficiente de determinación. López (2020) define el coeficiente de determinación como la proporción de la varianza total de la variable explicada por la regresión. El coeficiente de determinación, también llamado R-cuadrado, refleja la bondad del ajuste de un modelo a la variable que pretender explicar. Con el software R se obtienen los valores de R-cuadrado para todas aquellas regresiones que se quiera establecer y sus variables.

Resultados y análisis

Resultados SEM

En cuanto al SEM de satisfacción con uso del transporte público para los datos recolectados de la población universitaria, se encuentra que la satisfacción con el transporte público es una variable latente que se hace manifiesta por medio de cuatro componentes: la “Comodidad” o confort al viajar, la “Confiabilidad” que ofrece el servicio, la “Conectividad” entre los diferentes servicios o rutas y la percepción hacia los servicios públicos enfocados en la “Sociedad”. Dichos componentes son identificados por un total de 11 variables observadas. Se debe destacar que adicionalmente los componentes principales son explicados por seis variables latentes que no tienen un impacto directo sobre SAT.TP, sino indirecto, estos corresponden a: “Seguridad personal”, “Ambiente”, “Gobierno”, “Agrado”, “Accesibilidad” e “Interacción social”. En la Figura 2, se explica la relación mencionada.

Las siguientes ecuaciones de regresión (4 a 7) representan los cuatro componentes principales de efecto directo sobre la satisfacción con el uso del transporte público. En cada una de ellas se indica el impacto o pesos de las variables observadas sobre las cuatro principales variables latentes.

En el Cuadro 2 se muestra la descripción de las variables indicadas con una letra y número.

En la Figura 2 el componente “Comodidad” es el elemento con mayor peso para medir la satisfacción con el uso del transporte público, con un coeficiente de 0,349. A pesar de que este valor es medio-bajo, sus indicadores o variables observadas explican con mucha fuerza dicho componente. En primer lugar, si las unidades son cómodas para ir sentado, en segundo lugar, si las unidades son modernas y por último si las unidades son cómodas para ir de pie.

Los cuatro factores que afectan directamente SAT.TP reciben impactos de otras variables latentes, las cuales a su vez se explican por otras variables de la misma naturaleza. Lo anterior se debe a la condición de dependencia e independencia de dichas variables. Si la Figura 2 se analiza de derecha a izquierda se encuentra que el comportamiento de “Comodidad” sobre el modelo se ve influenciado por el agrado al viajar y la percepción de seguridad. La “Confiabilidad” la explican el agrado, la accesibilidad y la interacción social entre los usuarios y el chofer. Finalmente, la “Conectividad” se ve influenciada por el agrado a viajar, y la accesibilidad al servicio. El resto de los componentes muestran la alta relación que todas las variables latentes evaluadas guardan entre sí.

Adicionalmente, las siguientes ecuaciones (8 a 12) muestran los efectos indirectos de otros componentes en el modelo SAT.TP:

En el Cuadro 3 se detalla cuáles variables observadas hacen manifiestas a las variables latentes de efecto indirecto. La simbología de letra y número corresponde a la misma que se presenta en la Figura 2.

Para nuestro modelo de satisfacción con transporte público la ecuación de regresión resultante es la siguiente (Ecuación 13).

Una vez que se ha construido el modelo de satisfacción con transporte público y el de calidad de vida, se procede a unirlos. La estructura resultante se muestra en la Figura 3, donde el modelo completo SAT.TP se incluye como una variable latente más. Gráficamente, se muestra SAT.TP como una variable aislada, sin embargo, en el modelo de SAT.CV, se incluyen todos sus componentes.

El SEM de calidad de vida revela que la satisfacción con la calidad de vida es una variable latente que es concebida por cuatro componentes: Familiar, Pareja, Personal y Satisfacción con transporte público. Los tres primeros componentes son conformados por un total de nueve variables observadas, tomando en cuenta que SAT.TP es una variable que se explica por un modelo completo. Para este caso se tiene solo una variable latente adicional, Amistades, la cual es explicada por el componente Pareja y a su vez influye sobre el factor Familiar.

Los cuatro componentes influyen de manera positiva en la percepción de satisfacción, aunque sus efectos de diferente magnitud. En las siguientes ecuaciones (14 a 17) se exhiben los coeficientes estandarizados de regresión que indican la magnitud del impacto de una variable sobre otra. Adicionalmente, en el Cuadro 4 se detalla el nombre de las variables que componen las ecuaciones.

Adicionalmente, el componente “Amistades”, cuyo efecto sobre el modelo SAT.CV es indirecto, se hace manifiesta mediante las variables observadas en el Cuadro 5.

En el modelo, el nivel de vida familiar es el factor de mayor relevancia para explicar la satisfacción con calidad de vida, con un coeficiente estandarizado de relación de 0,798, lo cual representa una relación muy alta. El nivel de vida familiar se explica por el disfrutar una vida familiar feliz y tener una situación económica estable. La percepción de una buena vida familiar es influenciada también por las relaciones de amistad que se mantenga.

Es interesante analizar el ítem Personal, ya que las variables concernientes al estatus socioeconómico no guardaron relación ni con el modelo de SAT.TP ni con el de SAT.CV de manera individual, pero al integrarlos se observó que el elemento Personal es significativo y tiene un coeficiente de 0,199 que es una afectación muy similar a la del componente Pareja. En este caso se denomina Personal, ya que se mide por medio de bienes que son de uso personal, como el tener una tarjeta de crédito o débito, un teléfono celular y un computador portátil; y no de uso de toda la familia.

Los datos obtenidos coinciden con el estudio realizado por Rojas y Elizondo (2012) respecto a la satisfacción de vida en Costa Rica, en dicho estudio se evaluaron únicamente los dominios de vida: económico, laboral familiar, resto de familia, amistad, tiempo y comunal. En su estudio, Rojas y Elizondo (2012) mostraron que en Costa Rica los dominios familiares, resto de familia y amistad son los que tienen mayor peso al explicar la satisfacción de vida de los costarricenses.

Según Rojas y Elizondo (2012), Costa Rica es un país que de manera sistemática ha mostrado altos niveles de satisfacción de vida a pesar de que su ingreso per cápita no es alto, es medio-alto. Para los costarricenses la satisfacción de vida es el resultado de la satisfacción personal en cada una de las diferentes áreas concretas donde se ejerce como ser humano. La investigación muestra que el ingreso no es determinante de la satisfacción económica, y que la satisfacción económica no necesariamente determina la satisfacción de vida.

Finalmente, el componente de mayor relevancia para el análisis realizado resulta ser la satisfacción con el transporte público, el cual con un coeficiente de 0,091 es significativo para explicar la satisfacción con la calidad de vida. El coeficiente estandarizado expresa que cada desviación estándar que se mueva SAT.TP, SAT.CV se mueve 0,091 desviaciones estándar, dicho argumento se puede interpretar como que la percepción de tener una buena calidad de vida es explicada por el uso del servicio de transporte público en aproximadamente un 9 %.

El nivel de ajuste estadístico del modelo se analizó por medio de cuatro índices: el índice comparativo de ajuste (CFI), el índice de Tucker Lewis (TLI), el error medio cuadrático de aproximación (RMSEA) y el índice de error medio cuadrático (SRMR). En el Cuadro 6 se muestran los valores que se utilizaron como parámetro de aceptación y los valores obtenidos en el modelo final.

En el modelo bajo análisis, los resultados obtenidos en los índices de ajuste señalan que se consigue información que apoya el modelo propuesto. Al comparar los niveles de ajuste estadístico del modelo final de calidad de vida, con el modelo de satisfacción con transporte público incluido como una variable latente, se tiene que la calidad de vida es un modelo de ajuste muy apropiado, medido con otra variable que de igual manera tiene una coherencia estadística que es conveniente para explicar el fenómeno de estudio.

Se utilizó también el coeficiente de determinación, conocido como R-cuadrado, como parámetro adicional para medir la fiabilidad del modelo estimado. Para la regresión de satisfacción con transporte público se obtuvo un valor de R2 = 0,896 lo que indica que un 89,6 % de la variabilidad de la satisfacción con el uso del transporte público es manifestada con el modelo construido. Una vez que se construye el modelo final de calidad de vida, incluyendo el modelo o variable de satisfacción con el uso de transporte público, se obtuvo un valor de R2 = 0,934, es decir, cuando se forma el modelo SAT.CV explicado por SAT.TP se obtiene un modelo más robusto en cuanto a su capacidad explicativa y se logra con éxito entablar un modelo que exprese la medida en que el uso del servicio de transporte público en Costa Rica tiene una afectación sobre la calidad de vida de sus usuarios.

Conclusiones

Los componentes de mayor importancia para el modelo son la comodidad, confiabilidad, conectividad y servicios públicos. La comodidad está por encima del resto de los aspectos del transporte público, desde el punto de vista de calidad de vida esto tiene sentido ya que la percepción de satisfacción se relaciona no solo con un viaje rápido o conexiones expeditas sino también con una experiencia de viaje agradable una vez se está en la unidad de transporte.

Respecto al 9 % de afectación que se encontró, si se reflexiona al respecto, dicho valor resulta ser verdaderamente una cifra de importancia. El transporte es una necesidad derivada, es decir se utiliza por la necesidad de movilizarse para trabajar, estudiar, entre otras actividades. El transporte es el medio que se utiliza para desarrollar una vida, no es la vida en sí y cuando se obtiene que la calidad de vida está siendo afectada por la percepción de las diferentes características de un servicio de uso diario es una evidencia que aquellos factores que sean significativos para explicar la satisfacción con el transporte público deben ser atendidos y mejorados.

De lo anterior resulta de interés proponer la construcción de un modelo enfocado en aspectos relacionados a comodidad, como sobrecupo, limpieza, ventilación, entre otros aspectos para así proponer soluciones puntuales para mejorar la comodidad. Los modelos planteados funcionan sobre una base de datos, pero los códigos de programación son los mismos; por lo que se puede aplicar la encuesta de manera periódica como mecanismo de control del servicio de transporte. Para mejorar la robustez del modelo y su capacidad explicativa, se recomienda aplicar a una población con mayor heterogeneidad, incluso de manera nacional.

Referencias

Allen, J., Muñoz, J. y Ortúzar, J. (2018). Modelling service-specific and global transit satisfaction under travel and user heterogeneity. Transportation Research Part A: Policy and Practice, 113, 509–528. DOI: 10.1016/j.tra.2018.05.009

Amat, J. (2017). Análisis de Componentes Principales (Principal Component Analysis, PCA) y t-SNE. Recuperado de https://rpubs.com/Joaquin_AR/287787

Bentler, P. (1990). Comparative fit indexes in structural models. Psychological Bulletin, 107(2), 238246. DOI: 10.1037/0033-2909.107.2.238

Bentler, P. y Hu, L. (1999). Cutoff criteria for fit indexes in covariance structure analysis: Conventional criteria versus new alternatives. Structural Equation Modeling, 6(1), 1–55. 10.1080/10705519909540118

Busseri, M. y Sadava, S. (2011). A review of the tripartite structure of subjective well-being: implications for conceptualization, operationalization, analysis, and synthesis. Personality and social physology review, 15, 290314. DOI: 10.1177/1088868310391271

Castro Rodríguez, L., Rodríguez Shum, S., y Picado Aguilar, G. (2018). Modelación de demanda de transporte urbano en Costa Rica, de Emme a TransCAD. Infraestructura Vial, 19(33), 45-53.

Escobedo, M., Hernández, J., Estebané, V. y Martínez, G. (2016). Modelos de ecuaciones estructurales: Características, fases, construcción, aplicación y resultados. Ciencia & Trabajo, 18(55), 1622. DOI: 10.4067/S0718-24492016000100004

Ettema, D., Gärling, T., Olsson, L. y Friman, M. (2010). Out-of-home activities, daily travel, and subjective well-being. Transportation Research Part A: Policyand Practice, 44(9), 723–732. DOI: 10.1016/j.tra.2010.07.005

Gómez, M. (2011). Elementos de Estadística Descriptiva. Costa Rica: EUNED.

Haenlein, M. y Kaplan, A. (2004). A begginner’s guide to partial least squares analysis. Understanding statistics. 3(4), 283297. DOI: 10.1207/s15328031us0304_4

Kline, R. (2005). Principles and practice of structural equation modeling. New York: Gilford Press.

López, J. (2020). Coeficiente de determinación (R cuadrado). Extraído el 3 de febrero, 2020 de https://economipedia.com/definiciones/r-cuadrado-coeficiente-determinacion.html

Lyubomirsky, S., Sheldon, K. y Schkade, D. (2005). Pursuing Happiness: The Architecture of Sustainable Change. Review of General Psychology, 9(2), 111131. DOI: 10.1037/1089-2680.9.2.111

Marín, R. (2017). Ticos perciben que congestionamiento vial se agravará en el futuro. Universidad de Costa Rica. Extraído el 11 de abril, 2019 de https://www.ucr.ac.cr/noticias/2017/02/01/ticos-perciben-que-congestionamiento-vial-se-agravara-en-el-futuro.html

Mingote, J., Gálvez, M., del Pino, P. y Gutiérrez, M. D. (2009). El paciente que padece un trastorno depresivo en el trabajo. Medicina y Seguridad del Trabajo, 55(214), 41–63.

Organización Mundial de la Salud. (1996). ¿Qué es calidad de vida? Foro mundial de la salud 1996, 17, 385-387.

Ortúzar, J. y Willumsen, L. (2011). Modelling Transport. Chichester: John Wiley & Sons. DOI: 10.1002/9781119993308.

Estado de la Nación (2018). Estado de La Nación en Desarrollo Humano Sostenible. (Informe 2018). Recuperado de: https://estadonacion.or.cr/informe/?id=28797234-99af-4c53-b436-7c9a57fb1fe1

Rojas, M. y Elizondo, M. (2012). Satisfacción de vida en Costa Rica: Un enfoque de dominios de vida. Latin American Research Review, 47(1), 78-94. DOI: 10.1353/lar.2012.0019

Schimmack, U. (2008). The structure of subjective well-being. En Eid, M., y Larsen, R. (Eds.), The Science of Subjective Well-being (97–123). New York: Guilford Press.

Torres, G. (2011). Una aproximación al análisis de competitividad aplicando la técnica del modelo de ecuaciones estructurales. Extraído el 27 de enero, 2020 de http://www.tesco.edu.mx/gem/DOC/PDF/publicaciones/tescoatl/tesco_pdf_tescoatl31_4_analisiscompetitividad.pdf.

Universidad de Oxford. (2019). Satisfacción. Oxford Living Dictionaries. Extraído el 6 de mayo, 2019 de https://es.oxforddictionaries.com/definicion/satisfaccion